2.1.4 室内整理
室内整理分为每天的整理和最终的全面整理。其内容有:数据的核对及换算,标本样品的整理,导线平面图、实测剖面图及实测柱状图的绘制。
室内每天的整理主要侧重于数据的核对及换算,标本样品的整理,最终的全面整理侧重于编图工作及原始资料的装订成册。
1.数据的核对及换算
(1)数据的核对。主要是将野外记录表和记录本的各种数据进行检查和核对,发现有差错及时纠正。
(2)在以上工作基础上进行数据的换算,其内容见“实测地层剖面记录表”,共有6个项目。
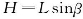
1)导线的平距(M),即前后测手所站的位置的水平距离。其计算公式为
![]()
式中:L为分层斜距;β为坡角。
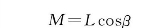
2)导线的高差(H),即前后测手所站的位置的高程差。其计算公式为
![]()
高差有正负之分,根据坡角正负而定。
3)累计高差,从第一导线开始依次累加。
4)地层厚度,为每一层岩性分层的真实厚度,即真厚度(地层顶面与底面间的垂直距离)。在构造地质学中利用下式进行计算:
![]()
式中:L为分层斜距;h为分层厚度;α为岩层倾角;β为坡角;γ为导线的前进方向与岩层走向的夹角。
公式中,当坡向倾角相反时,取“+”;当坡向倾向一致时,取“-”。
5)累计厚度,即从下往上累计相加。
6)平距,即每一层的平距,其计算公式与计算导线的平距相同。
2.样品标本的整理
将采集的各种岩石、化石、矿石标本进行编号、登记,填好标签并进行包装。(https://www.daowen.com)
3.实测地层剖面图的编制
投影法实测图的绘制主要由两部分组成,上部为导线平面图,下部为地层剖面图,其绘制步骤如下。
(1)在地形图上定出剖面的总方向和总高差。起点与终点的连线方向即为大致的总方向(有时定的方向不是两点的连线,这是因为要考虑地层的倾向),本次实测地层剖面图的总方向为185°。
(2)图纸定向,即将基准线的总方向在图纸上固定下来,以此为依据作图。要求基准线与坐标的横坐标平行,左端应表示西、北西、南西或南,右端则为东、南东、北东和北的方向。
(3)确定导线平面图和地层剖面图的起点位置。平面图和剖面图的起点的位置应选择适当,方能使图面布置合理,避免绘出的图偏高或偏低,甚至超出图纸,或平面图与剖面图重叠等现象发生。起点的选择主要依据高程(包括剖面内最大高程、最低高程及起始点高程)、导线方向及长度(偏离基准线的距离)的数据。
(4)绘导线平面图。依据每一导线的方位角和平距绘出,导线平面图的内容包括导线、导线号、地质界线、地层代号、产状要素(可选择标出)、矿层及断层等。
(5)绘地形线。根据导线各点的高程,由平面图的对应点投影到剖面图上相应的高程位置为止;再根据地形特征勾绘出圆滑的地形线。
(6)绘地质内容。
1)绘制不同的岩性符号。由于基准线方向不一定同地层倾向一致,故画岩性界线时,要按剖面方向的视倾角绘制。
2)岩性符号长度2cm,段界线2.5cm,组界线3cm。注意,所表示的岩性符号长度应从地形线向下1~1.5cm为宜,若地层倾角与地形线夹角较小,长度应相应加长。
3)如果导线经平移,剖面图也应错移开,平移导线用虚线表示。
4)标上真实的产状和地层代号。
5)整饰图面,检查图件基本要素(图名、比例尺、方位线、图例、高程、责任表等),责任表格式见表2.1。
表2.1 责任表格式

4.实测地层柱状图的编录
实测地层柱状图是根据实测地层剖面内出露头地层的新老叠置关系恢复成水平状态切出的一个地层柱子。在柱子中表示出各地层单位或层位的厚度、时代及地层系统和接触关系等。岩性描述主要从颜色、成分、结构、构造、生物残体、次生变化等方面入手。
地层综合柱状图的基本内容见表2.2。
表2.2 地层综合柱状图的基本内容
