理论
显然这个案例并不是提出未解谜题的案例,而是将读者带入本章节的引入文章。虽然案例的细节是虚构的,我认为这样的故事是肯定存在于现实世界的。我曾经非常想开一家打印咖啡店,提供与案例故事里相似的服务。但是也许你会问:这个案例故事有什么现实意义吗?等你读完了背景解释这一部分也许就不会有这样的疑问了。
这本书的开头我讲述了很多关于生物钟的知识。在阅读本书的过程中,你已经读到了很多关于生物钟与社会时间、外界时间之间的冲突的案例。上一章节的主题是“时差综合征”,我们在其中讨论了如果我们过于迅速地从一个时区到达另外一个时区会发生什么。这一章我们研究的问题是:即使我们不坐飞机只待在一个地方,体内时间和外界时间仍可能产生矛盾。
睡眠持续时间不取决于入睡的时刻——我们在第1章和第2章已经讨论过这个问题了。较早与较晚时间类型之中都有长时和短时睡眠者,长时或短时睡眠者之中既有较早时间类型也有较晚时间类型。这一论断只适用于人们的平均睡眠需求,是工作日和休息日的中间值。如果把工作日与休息日分开研究,那么睡眠持续时间与入睡时刻的独立性就不适用了。下图显示了完全不同的睡眠持续时间以及睡眠时间与时间类型的关系。在工作日里,时间类型越晚(横轴表示时间类型,纵轴表示睡眠持续时间),睡眠持续时间(黑点)越短。我们观察到的这一现象可以这样解释:在工作日里,较晚时间类型的人睡得比较晚,但因为平均上班时间是一样的,因此多数人需要一个闹钟才能准时醒来去上班。因此时间类型越晚,睡眠持续时间就越少。

休息日的睡眠持续时间(空心点)反映了不同时间类型的人在工作日里积累了疲劳之后补觉的情况。较晚时间类型的人在工作日里共缺少大约6.5小时的睡眠,因此在休息日里的睡眠持续时间为9小时或以上。有些人必须在休息日里睡半天才能平衡缺乏的睡眠。我把上面这幅图称为“睡眠剪刀”。
与较晚时间类型不同,早起的“云雀们”在休息日的睡眠持续时间比较短。原因很简单。人群中的较晚时间类型占多数,工作日里这些人给较早时间类型很大的压力:别这么无趣,跟我们一起去酒吧/去看电影/去剧院吧。在体内时间与外界时间方面,较晚和较早时间类型的生活是对称相反的。对于夜猫子类型的人们来说,体内时钟告诉他们什么时候该睡觉,而清晨,是外界时间的闹钟把他们从睡梦中拽出来。与之相反,对于“云雀们”来说,外界的因素决定他们睡觉的时间,而体内时钟却在早晨将他们叫醒。较早时间类型的人们的睡觉时间不会对他们早晨自动醒来产生影响,他们在第二天早晨总是多多少少在同一时段醒来。
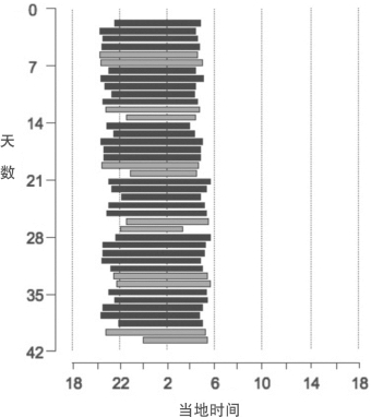
为了弄清楚人们在填写慕尼黑时间类型调查问卷的时候给出的数据的准确程度,我们不定期地会要求参与实验的人们写至少6个星期的睡眠日记。我们搜集了800多份睡眠日记,研究后确定,从调查问卷上搜集到的数据与日记上记录的被试真实生活的数据基本一致。睡眠日记不仅能验证调查问卷的可靠性,也能让我们了解不同的人在生活中的时间安排。如果我们根据时间类型把睡眠日记进行分类,就能清楚地看到睡眠行为在工作日和周末的运行模式。让我们来看3个具有典型性的睡眠日记[1],它们表现了不同的时间类型和不同的社会压力。第一个例子是极端晚类型,这个人能自己决定工作时间。他的平均睡觉时间是凌晨3点至4点,在第二天11点至12点醒来。工作日和休息日的睡眠时刻及持续时间都没有太大的区别。睡眠开始和结束的时间呈现出散射状。这个睡眠状态所受到的社会限制较少,这个人的睡眠时间总是遵循体内时钟的规律。

下一个例子是极端早类型。这个人在20点至22点上床睡觉,凌晨4点至5点醒来——醒来的时间早于上班族的起床时间。不同个体在睡眠苏醒方面的巨大差别总是吸引着我。这两个案例中的人,可能就是一家人,他们两个人的睡觉时间从来没有重合过。正如上面极端晚类型一样,极端早类型的睡眠开始与结束的时间也呈现散射状。但是周末的模式却有所不同,正如从“睡眠剪刀”中了解的那样:极端早类型由于“猫头鹰”社会的压力在休息日的睡眠时间较短,正如在第一章中看到的,这种类型在我们的欧洲中心数据库里占多数。

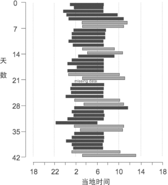
在钟形分布图中,以上两种极端类型分别位于钟形图的两端。极端晚类型能够自己决定工作时间,这种人可能还是属于少数,现行的工作时间对于超过60%的人来说都是过早了。因此,多数人的困难在于忍受现行的工作时间。正如睡眠剪刀图显示的那样,时间类型越晚,工作日与休息日的睡眠时间差距就越大。较晚时间类型在工作日和休息日的睡眠时刻也有差别。第三个例子中来回变化的模式比前两种模式更具普遍性。

工作日里睡眠开始的时间呈现散射状,这意味着他的入睡时间波动性很大,这是生物钟的典型特征。工作日睡眠结束的时间则正好相反(存在少数例外),呈现一条垂直的线。垂直的原因应该是一些外界原因把人叫醒了(除了闹钟以外,有时候人们还用另外一些东西把自己叫醒[2])。只有不到一半的“云雀型”人在工作日使用闹钟,而对将近90%的“猫头鹰型”人来说,闹钟是必不可少的物品。在现代,帮助清醒的仪器还具有“小睡功能”,例如闹钟第一次响起后短暂安静,然后再次响起。通过记录被试使用这个功能的次数,我们可以研究苏醒过程与时间类型的关联。我们询问过很多人这样一个问题:他们在工作日的早晨起床之前会按下多少次小睡功能键。虽然许多较早时间类型的人们在闹钟响起来之前就醒了,但是他们始终抱着以防万一的想法而使用闹钟。
较晚时间类型的苏醒过程中最有特点的是睡眠时间的反复变换模式(在闹钟的帮助下,工作日醒得很早,在休息日却醒得很晚,如此循环)。这种来回的变化类似奥斯卡和杰瑞[3]坐飞机在不同时区之间的旅行。较晚时间类型的人们所写的睡眠日记,也是反映了这一特征,就像人们在每个周五从欧洲飞到美国东海岸,周一再飞回来一样。(https://www.daowen.com)
经常有人问我这样一个问题:如果长期规定一个人按固定的作息时间生活,这是否能改变他们本身的生物钟类型?我知道,这个问题应该是较早时间类型的人提出来的,包含对较晚时间类型的轻视,并且提问的人也不了解上面第3个例子。
哈瑞特的故事[4]显示了社会信号不能作为外界时间信号,即闹钟无法改变生物钟的戒律,否则盲人就不会有体内时间跟不上社会时间的难题了。社会时间可以使体内时间与之达成同步,但是只适用于能看得见的人们。一个很好的例子就是海上钻井平台上的工人。他们工作时要在海上住几个星期,在此期间他们需要倒班工作,一旦开工就要工作一整天。只要倒班轮换不是特别快,他们的体内时间就能毫无困难地适应倒班的时间——但是这个过程中,体内时间是间接地适应倒班的社会时间的。最重要的外界时间信号仍然是明暗变化[5]。体内时钟能够得到校正,不断与外界时间保持同步的关键在于他们在工作的时候能见到灯光,睡眠时外界能保持黑暗。虽然钻井平台工人的体内时间在人为的明暗变化中可以与外界同步,但是较早和较晚的时间类型仍然存在,只是这里所说的较早与较晚是与人为的倒班安排做比较,而不是与地球自转产生的一天比较。体内时钟怎样(或早或晚地)适应社会时间信号,归根到底仍然是受相关刺激后产生的一种生物现象,与社会纪律无关。

普通人的生物钟几乎都是通过自然的明暗变化与外界达到同步的。我们搜集到的睡眠日记中,许多睡眠时间波动的日记都是由工作时间固定的人所写的,他们在早晨的同一时间去上班。因为这种模式非常像从一个时区到另一个时区的旅行,因此我们称之为“社会时差综合征”。与真正的时差综合征(例如杰瑞和奥斯卡[6])不同,患“社会时差综合征”的那些人一直生活在一个地方,他们接受的明暗变化没有改变。真正的时差综合征是可以很快消失的,但是社会时差综合征则是慢性病。一个人患社会时差综合征的严重程度取决于工作日与休息日睡眠中点之间的差距(上图是第3个睡眠日记的例子)。中欧总人口中超过40%的人都有2小时以上的社会时差综合征。在这一群体中,15%的人的体内时间与社会时间之间的差距至少有3小时。为什么在其他工业社会地区完全不一样呢?
社会时差综合征,就好比是我们为一家公司工作,这个公司所在地位于美国东部,与我们生活的地方相差好几个时区。案例中的蒂莫西是较早时间类型。因此在早晨,他能精神抖擞地坐在电脑前工作。但是这只是他住在普林斯顿时的情况。一旦他回到俄勒冈州,同样的工作对他来说就很困难了。我想用这个故事表达这样的观点:即使是较早时间类型的人也可能疲于应对过分早起的生活。社会时差综合征的主要问题是睡眠时间的缺乏,它可能造成健康和心情方面的问题。通过大量案例研究,我们总结了社会时差综合征的危害,其中一种危害是:社会时差综合征越严重,越有染上烟瘾的危险。吸烟会影响三类人:从不吸烟的人、以前吸烟的人和一直吸烟的人。由于生物钟的原因,人们在青少年时期时间类型会变晚[7],社会时差综合征的症状也最严重——因为我们不得不早起去上学[8]。多数人正是从这一时期开始吸烟的(当然也有很多其他原因造成青少年吸烟,但是社会时差综合征加剧了烟瘾)。随后,吸烟者的生活压力没有那么大的时候,戒烟也会变得相对容易。如果体内时间和外界时间更一致,那么戒烟成功的概率就会达到最大。吸烟与社会时差综合征之间还有这样的比例:患社会时差综合征小于1小时的人群中有15%~20%是吸烟者;体内和外界时间之间相差5小时以上的人群中,吸烟者的比例超过了60%。
【注释】
[1]在工作日的睡眠时间用黑色方块表示,在休息日的睡眠时间用灰色方块表示。写日记的这几天的睡眠时间顺序用纵轴表示,顺序为从上到下。横轴为当地时间,从18点到第二天18点。
[2]我认识一些人,他们必须设定好几个闹钟,才能醒过来。为了能加强闹钟的声音,他们还把闹钟放在金属桶里。在这种情况下,闹钟和桶都是帮助人醒来的工具。
[3]参看《器官在旅行》。
[4]参看《当黑夜变成白天》。
[5]关于倒班的问题,我们会在《黑夜中的光》一章中详细阐述。
[6]参看《器官在旅行》。
[7]参看《青春的尽头》。
[8]参看《完全是浪费时间》。