第7章 醇酚醚
问题1 因为异丙醇的反应活性较低(乙醇),与金属钠反应更缓和,也就更安全.
问题2
![]()
问题3 硫酸提供足够的氢离子,使醇羟基氧质子化,从而改变羟基的离去形式,即由原来难以离去的氢氧负离子转化为易于离去的中性水分子,取代反应变得容易了.
问题4 完成反应

问题5 完成反应

问题6 完成反应

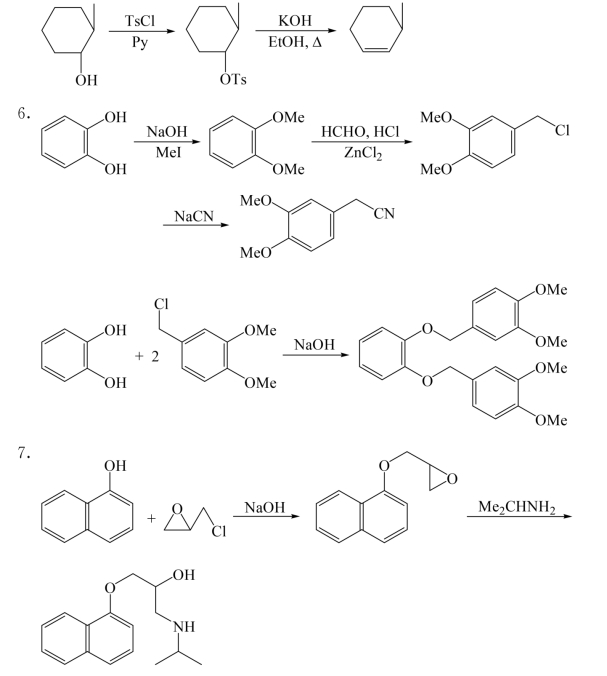
问题7 两步反应,第一步转化成对甲苯磺酸酯,第二步是双分子亲核取代,都不涉及重排,反应可靠;对甲苯磺酸负离子是良好的离去基,反应易于进行.
问题8 建议机理

问题9 完成反应

问题10 给出与二氧化锰作用的产物.

问题11 完成反应

问题12 完成转化
i CH3CH2CH2CH3,Br2/hv;ii AcONa;iii H2O/NaOH;iv CrO3/AcOH
问题13 完成反应

问题14 完成反应并建议机理

问题15 建议反应机理

问题16 完成反应并建议机理

问题17 完成反应

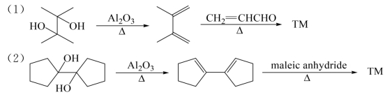
问题18 如何合成目标分子TM?

问题19 以适当原料制备
1,4-丁二醇:
i CH≡CH,2 NaNH2;ii 2 HCHO;iii H2/Pd/C
2,3-丁二醇:
i CH≡CH,2 NaNH2;ii 2 MeI;iii H2/Lindlar Pd;iv OsO4/H2O2
i CH≡CH,2 Na NH2;ii 2 MeI;iii H2/Lindlar Pd;iv PhCO3H;v H2O/HCl
问题20 完成反应

问题21 完成反应

问题22 合成设计
(1)BHT (2)4-己基-1,3-苯二酚.
2 Me3COH/H3PO4 i n-C5H11CO2H/ZnCl2;ii HCl/Zn-Hg,Δ
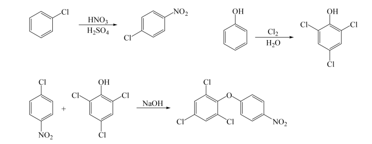
问题23 如何制备对甲苯酚与萘酚?
(1)甲苯100℃磺化、碱熔.(2)萘80℃磺化、碱熔.
(3)萘160℃磺化、碱熔.
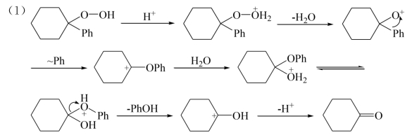
问题24 建议机理

(2)质子化脱水,苯基迁移,水分子亲核进攻,质子交换,消去苯酚,脱质子.
问题25 分离:浓硫酸洗涤,分出酸相,有机相水洗、干燥、蒸馏得环己烷;酸层水洗,分去水相,醚相水洗、碱洗、水洗、干燥、蒸馏,给出二异丙醚.
问题26 完成反应

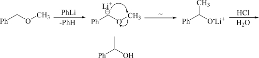
问题27 完成反应并建议机理

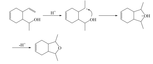
此为Wittig重排.
问题28 建议机理

问题29 完成反应并建议机理

问题30 建议机理

问题31 完成反应

问题32 完成反应

问题33 完成反应(https://www.daowen.com)

问题34 完成反应

问题35 合成设计

问题36 完成反应

问题37 建议机理

问题38 建议机理

问题39 建议机理

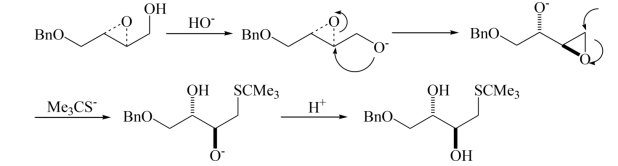
此为Payne重排.
问题40 完成反应并建议机理

习题
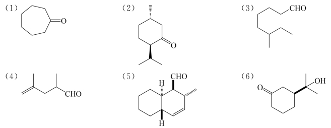
一、异构体
1.8个(包括对映异构).
2.18个(包括对映异构).
三、回答问题
1.沸点高低与分子间作用力有关,这里主要是氢键.叔烃基严重阻碍分子间氢键的形成.分子间接触面积也是正丁醇的大.
2.水溶性与分子的构型构象有关,叔丁醇近似球形,易于分布在水分子之间,显示高的溶解性,事实上与水混溶.
3.烷烃基的给电子诱导效应导致醇酸性变弱,增强其负离子的碱性.
4.沸点与分子间的氢键呈正相关.
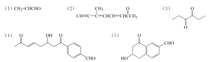
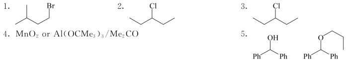
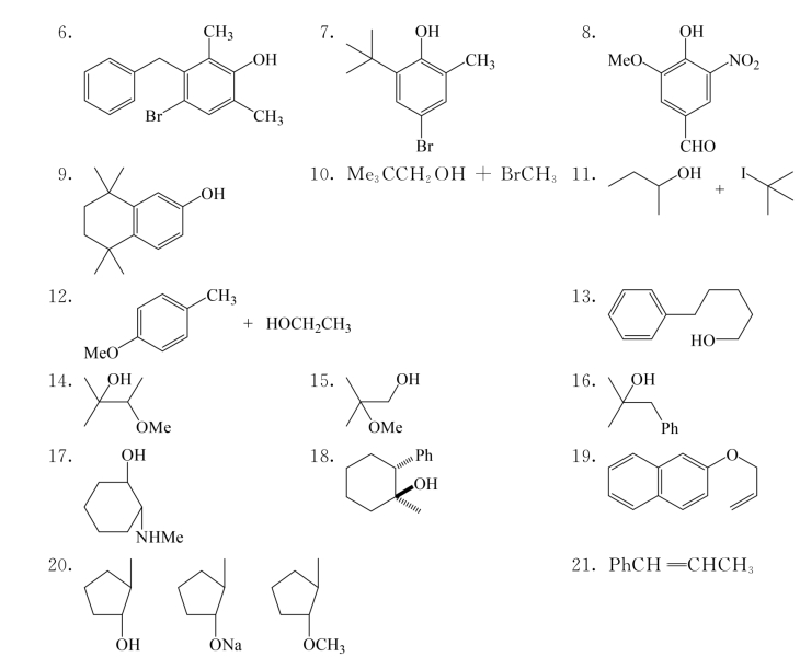
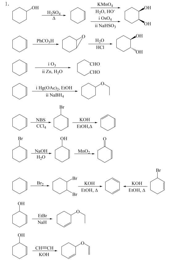
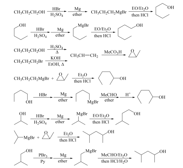
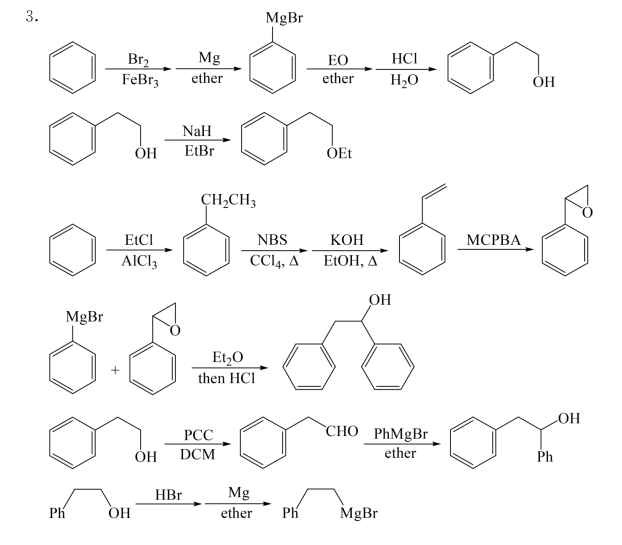
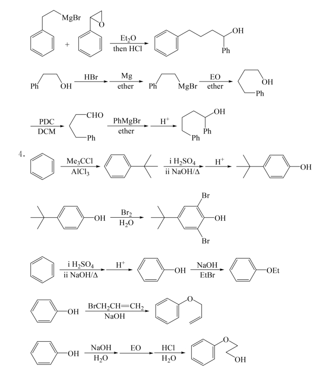
四、完成反应




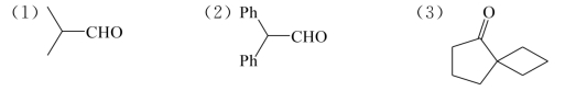
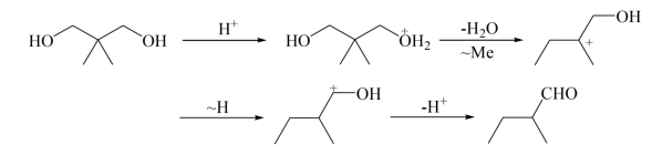
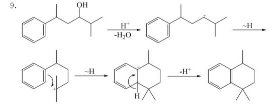
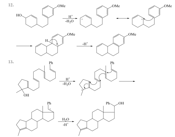
五、建议机理

4.质子化产生同上的碳正离子.
5.类似1的碳正离子重排.
6.质子化脱水产生碳正离子,甲基迁移重排,消去质子成烯.

8.同上,只是甲基迁移重排.

10.同上,只是甲基迁移重排.


此为多米诺反应(Domino reaction)或串联反应(cascade reaction;tandem reaction),也就是多步连续发生的反应(consecutive reactions).

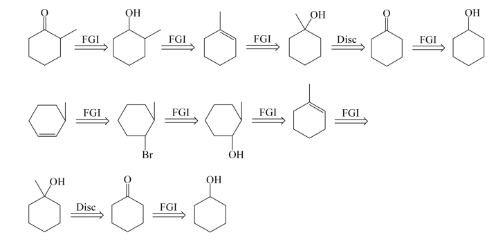
六、完成转化



七、合成设计

2.逆合成分析RSA:

合成:
![]()



5.逆合成分析RSA:

合成:

在醛酮部分,将讨论羰基α-碳的多种烷基化方法.

8.合成三乙醇胺:

9.合成除草剂草枯醚:

八、结构推导
