3.2.2 框架梁钢筋构造

3.2.2 框架梁钢筋构造

楼层框架梁钢筋组成见表3.12。

表3.12 抗震楼层框架梁钢筋组成

1)楼层框架梁纵向钢筋构造

楼层框架梁纵向钢筋构造知识体系见表3.13。

表3.13 纵向钢筋构造知识体系

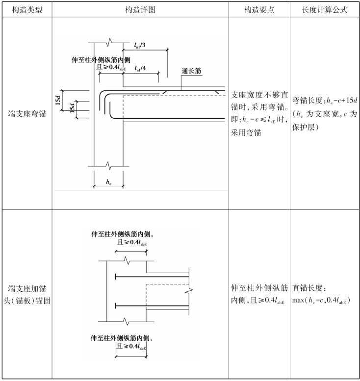
(1)上部纵筋、下部纵筋端支座锚固(表3.14)

表3.14 上部纵筋、下部纵筋端支座锚固构造(16G101—1第84页)

续表

(2)纵向钢筋(上部、下部钢筋)中间支座锚固构造

楼层框架梁中间支座有不变截面和变截面两种情况。

中间支座不变截面,上部通长筋连续通过支座。楼层框架梁下部钢筋中间支座构造有支座不变截面、支座变截面和支座两边纵筋数不同3种情况,详见表3.15。

表3.15 纵向钢筋中间支座构造(16G101—1第84、87页)

续表

(3)下部不伸入支座的钢筋构造

楼层框架梁平法施工图中,下部钢筋括号内数字表示下部钢筋不伸入支座的根数,其构造见表3.16。

表3.16 楼层框架梁下部不伸入支座的钢筋构造

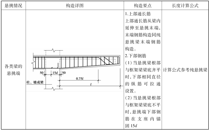
悬挑端构造见表3.17。

表3.17 悬挑端构造(16G101—1第92页)

续表

(4)上部钢筋连接构造

上部钢筋连接分3种情况:第1种情况上部贯通筋直径相同,受钢筋定尺长度的影响需要在跨中连接;第2种情况上部钢筋直径不同,上部通长筋需要与非贯通筋(即支座负筋)连接;第3种情况为架立筋与非贯通筋(即支座负筋)连接。

上部钢筋3种不同连接的构造要求如下:

①第1种情况:上部贯通筋直径相同,连接位置在跨中1/3的范围内连接(注:钢筋预算只按定尺长度计算接头个数,计算搭接长度,不考钢筋的连接位置)。

②第2种情况:上部通长筋与非贯通筋(即支座负筋)直径不相同时,通长筋与非贯通筋搭接llE,且在同一连接区段内钢筋接头百分率不宜大于50%(图3.15)。

图3.15 上部通长筋连接(上部通长筋与非贯通筋直径不同)

③第3种情况:架立筋与非贯通筋(即支座负筋)连接,架立筋与非贯通筋搭接150mm(图3.16)。

图3.16 上部架立筋与非贯通筋连接

(5)侧面钢筋构造

当hw(梁高扣除板厚的高度)≥450时,在梁的两个侧面应沿高度配置纵向构造钢筋,纵向构造钢筋间距a≤200mm。

当梁侧面配有直径不小于构造纵筋的受扭纵筋时,受扭钢筋可以代替构造钢筋,即侧面钢筋有受扭纵筋和构造钢筋两种(表3.18)。

表3.18 侧面钢筋构造(16G101—1第90页)

2)楼层框架梁支座负筋构造

(1)支座负筋构造知识体系(表3.19)

表3.19 支座负筋构造知识体系

(2)支座负筋构造(表3.20)

表3.20 支座负筋构造(16G101—1第84页)

续表

(3)架立筋构造

当同排纵筋既有通长筋又有架立筋时,架立筋在通长筋后标注“+”号,钢筋信息注写在括号内;当全部为架立筋时,架立筋标注在括号内,其构造见表3.21。

表3.21 架立筋构造(16G101—1第84页)

(4)箍筋构造

楼层箍筋构造见表3.22。

表3.22 楼层箍筋构造(16G101—1第88页)

(5)附加箍筋构造

附加箍筋构造如图3.17所示,其构造要点如下:

①附加箍筋范围内主梁正常箍筋或加密区箍筋照设;

图3.17 附加箍筋构造(16G101—1第88页)

②附加箍筋配筋值(根数、直径)由设计标注。

③附加箍筋布置在主梁上,是除主梁箍筋外另外增加的箍筋。

计算方法:

①根数按设计值;

②长度同主梁正常箍筋外大箍的长度。

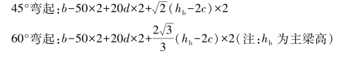
(6)附加吊筋构造

附加吊筋构造,如图3.18所示。其构造要点如下:

图3.18 附加吊筋构造(16G101—1第88页)

①吊筋配筋值(根数、直径)由设计标注;

②吊筋高度按主梁高计算(而非次梁),吊筋底边宽度按次梁宽每边加50mm计算;

③当梁高≤800mm时,吊筋按45°弯起;当梁高>800mm时,吊筋按60°弯起;平直段长度为20d。

计算公式:

①根数按设计值;

②长度:

3)屋面框架梁WKL钢筋构造

屋面框架梁WKL钢筋构造以楼层框架梁KL为基础,重点解析与之不同的钢筋构造。

(1)屋面框架梁WKL与楼层框架梁KL构造的主要区别(表3.23)

表3.23 WKL与KL构造的主要区别

(2)屋面框架梁WKL上部纵筋端支座钢筋锚固构造

屋面框架梁WKL上部纵筋端支座钢筋锚固有两种构造做法,与柱顶构造配套选择,构造做法见表3.24。

表3.24 抗震WKL上部纵筋端支座钢筋锚固构造(16G101—1第85页)

注:屋面框架梁WKL上部纵筋端支座无直锚,均需伸至柱对边下弯。

(3)抗震屋面框架梁WKL中间支座变截面构造

抗震屋面框架梁WKL中间支座梁顶有高差时,其上部钢筋在中间支座的锚固与抗震楼层框架梁KL不同,其构造见表3.25。

表3.25 抗震WKL中间支座梁顶有高差上部钢筋构造(16G101—1第87页)

续表