八年级(下册) 科学 参考答案

八年级(下册) 科学 参考答案

第一章 电与磁(基础卷)

【知识梳理】

一、1.磁性 磁体 南(S)极 北(N)极 司南 两

2.同名磁极相互排斥,异名磁极相互吸引 磁化 北极

3.它对放入其中的磁体产生磁力的作用 磁场 北极

4.法拉第 北极 北(N)极 南(S)极 北极 北极 强强弱

5.地磁场 地磁场 南极 北极 磁偏角

二、1.奥斯特 磁场 电流 同心圆 密

2.条形 右手螺旋定则

3.右 电流方向 北

4.线圈匝数 磁性 电流 磁性 铁芯 控制变量法不变

5.电磁铁 开关 电流大小 电流方向

三、1.电铃 电磁起重机 电磁继电器 磁悬浮列车

2.电磁铁

3.闭合 断开

四、1.电流方向 磁场方向 改变 不变

2.转动位置 平衡位置

3.电 机械 通电线圈能在磁场中转动

4.惯性 线圈内电流方向 原方向

5.磁体 线圈 换向器 电刷

五、1.闭合 一部分 磁场 切割磁感线 电流 感应电压导体运动方向 磁场方向 不变

2.机械 电

3.ACDE

4.大小和方向 直流电

5.转子 定子 磁体 线圈 电磁铁

6.电动机 发电机 通电线圈在磁场中转动 电磁感应现象 电能 机械能 机械能 电能(从左到右,从上到下)

六、1.进户线 电能表 总开关 保护装置 电能表

2.火线 零线 220

3.辨别火线和零线 火线 零线

4.熔点低、电阻率大 保险丝的额定电流等于或稍大于电路中正常工作时的电流

5.过载 短路

6.接地 防止金属外壳漏电而造成人体触电

七、1.电流 伤害 电流 电压 电阻

2.36 24 12

3.220 380

4.火 切断电源 低压 高压

【巩固练习】

1.A 2.D 3.D 4.D

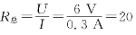
5.(1)可以悬挂钩码的数量 (2)电流大小 (3)在电流、线圈匝数相同时,电磁铁磁性大小与铁芯的形状有关

6.(1)增强

(2)解:电梯厢内站立总质量为1000kg的乘客时,电梯受到的压力等于乘客的重力,即F=G=mg=1000kg×10N/kg=1×104N;由题图乙可知,当压力F=1×104N 时,对应的压敏电阻阻值R2=100Ω,因串联电路中总电阻等于各分电阻之和,则控制电路中的电流:0.03A=30mA;因30mA>20mA,所以此时电梯超载。

(3)增大电压,或换用阻值更小的保护电阻R1等。

第一章 电与磁(提高卷)

1.A 2.C 3.A 4.D 5.A 6.C 7.D 8.D 9.B 10.D

11.D 12.C

13.Q 大于

14.(1)D (2)E (3)1

15.(1)电流大小 右 大 (2)滑动变阻器滑片P 线圈匝数多少 当电流大小不变时,电磁铁线圈匝数越多,磁性越强

16.(1)发电机 (2)灯泡亮度 (3)①1、2、3 ②先增大后减小

17.(1)A (2)解:Ω,R=R-R0=20Ω-14Ω=6Ω,由图丙可知,当光敏电阻的阻值为6Ω时,光照强度为6cd。 (3)用阻值更大的电阻替换定值电阻R0(或减小控制电路电源的电压)

18.(1)N (2)R2(3)B (4)解:当空气湿度处于40%时,湿敏电阻R2的阻值为R2=24Ω,警示灯在闪烁过程中,发光较暗时,湿敏电阻R2与警示灯串联,因此此时

第二章 微粒的模型与符号(基础卷)

【知识梳理】

一、1.符号 模型

2.(1)没有 距离 (2)气 (3)没有 距离

二、1.氧气 氢气 1∶2 化学

2.(1)1 2 2 2 (2)分裂 组合 发生 不发生 (3)分子 原子 原子 (4)不同 分子

3.分子 原子 原子 铁 铜 铝

4.原子的种类 原子的个数

三、1.原子核 正 负(从左到右,从上到下)

2.核电荷数 等于 等于 电子 原子核

3.质子数 中子数 同位素原子

4.英国道尔顿——实心球模型(认为原子是构成物质的最小单位);英国汤姆生——西瓜模型(电子嵌在均匀分布着正电荷的原子球体);英国卢瑟福——行星模型(原子核像太阳,电子像行星围绕核运行);丹麦玻尔——分层模型(电子在固定的轨道上分层运动);现代科学家——电子云模型(电子像云雾笼罩在原子核的周围) 完善 修正

5.电子 正 电子 负 吸引 中性 钠离子 氯离子 分子 原子 离子

6.核电荷数 质子数 所有核电荷数为8的原子

四、1.金属 非金属

2.不讲

3.混合物 纯净物 单质 化合物 同种 不同种

4.氧 硅 铝 铁 氧

五、1.元素 原子 物质 碳 1 2个碳原子

2.质子数 化学性质

3

六、1.化学式 实验

2.(1)①右下角 (2)右下角 右边 左边 右边

3.右 左

4.(1)一种物质(纯净物) (2)物质的元素组成 (3)某种物质的一个分子由什么原子构成 (4)物质分子的构成

(5)该物质的相对分子质量是多少

5.带1个单位负电荷的氯离子 带2个单位正电荷的镁离子 2个钠离子

6.(1)+1 -2 (2)正 (3)正 负 (4)0 (5)零 (6)+2+3

七、1.1/12 1 1 质子 中子 2.总和

【巩固练习】

1.A 2.B 3.B 4.B 5.A 6.C 7.A

8.(1)NaCl (2)2OH-(3)(4)Fe3O4

9.(1)电子 (2)磁感线的密疏

10.(1)② (2)CO2(3)硫(S)

11.(1)37 (2)213∶56

答:627g盐酸克仑特罗中含有氧元素32克。

第二章 微粒的模型与符号(提高卷)

1.A 2.B 3.B 4.A 5.B 6.C 7.B 8.C 9.B 10.C

11.B 12.C 13.C 14.A

15.(1)③ (2)④

16.H2Mg MgO

17.(1)非金属 (2)镁 (3)18

18.(1)3和4 (2)H2O2两者分子(结构)不同

19.(1)N2O3(2)Al2O3(3)Fe2O3

20.(1)原子核 极少数α粒子几乎达到180°的偏转,像是被金属箔弹了回来 (2)A

21.(1)1∶2 (2)11∶14 (3)7∶11 (4

22.(1)A (2)39∶64 (3)解:27÷474×100%≈5.7% 答:

明矾中铝元素的质量分数为5.7%。 (4)解:g×5.7%=0.0114g 0.0114g>0.004g 答:其摄入的铝的量超过安全摄入量。

23.(1)3 (2)22 (3)36∶1

答:361克C12H4Cl6中含有213克的氯元素。

第三章 空气与生命(基础卷)

【知识梳理】

一、1.氮气 氧气 稀有气体 二氧化碳 水蒸气 78%21% 1%

3.(1固 减小 (2)水由导管流入集气瓶 1/4 (3)空气中氧气的体积约占整个空气体积的1/5

4.无 无 不易 略大

6.(1)①检查装置气密性 ⑥将导管从水中移出 (2)二氧化锰 (3)改变物质的反应速度 质量 化学性质

7.沸点不同

8.化合反应 分解反应

二、1.氧 (1)缓慢氧化 (2)发光 发热 燃烧 (3)爆炸

2.一是有可燃物 二是有助燃剂,常用的助燃剂为氧气 三是温度达到该可燃物的着火点 40℃ 降低温度 隔绝空气

3.能量 吸收 放出 放出 吸收

4.电

三、1.化学方程式 (3)表示各物质间原子与分子的个数比(4)表示反应物、生成物各物质间的质量比

2.参加化学反应的各物质的质量总和 反应后生成的各物质的质量总和 种类 质量 原子的种类 (原子)数目原子 分子

3.客观事实 质量守恒

4.(1)左边 右边 (2)配平化学方程式 (3)点燃、加热(△)、高温、催化剂

5.(2)写出化学方程式 (4)列出比例式、求解

四、1.(1)无 无 气 大 向上排空气 易 排水 (2)①灭火

2.制冷剂 灭火剂

3.石灰石(大理石) 稀盐酸 气体从长颈漏斗逸出

4.剧烈燃烧 无变化 二氧化碳 氮气 澄清石灰水 二氧化碳 氮气

五、1.呼吸道 肺 二氧化碳和水汽的含量 氧气的含量

2.鼻 咽 喉 气管 支气管 肺泡 肺泡数目多,肺泡和毛细血管的壁都很薄,只由一层上皮细胞构成,布满毛细血管和弹性纤维 气体交换

3.膈肌 肋间肌

4.有机物 能量 量 (1)有机物 无机物 (2)化学能 热能

5.(1)呼吸作用产生二氧化碳 (2)呼吸作用产生了水

(3)呼吸作用释放能量 (4)呼吸作用吸收氧气,氧气减少

六、1.碘液 蓝色 控制变量法

2.(1)消耗植物体内原有的淀粉,排除对实验的干扰。

(2)为了设置对照实验,证明绿叶光合作用需要光。

(3)酒精易燃,不能直接加热。 (4)溶解叶绿素。

七、1.(1)绿色植物的光合作用 (2)生物的呼吸作用、各种燃烧现象及微生物的氧化分解作用

2.(1)生物的呼吸作用、各种燃烧现象及微生物的氧化分解作用 (2)绿色植物的光合作用

3.(1)保温作用 (2)适度的温室效应能保证地球上的气温恒定 (3)全球性气候变暖 海平面上升

4.光合作用 有机物 呼吸作用 燃料的燃烧 二氧化碳

八、1.二氧化硫 一氧化碳 氮氧化物 可吸入颗粒物 二氧化硫 氮氧化物 5.6 森林

2.臭氧 O3氯氟烃 氯氟烃

【巩固练习】

1.D 2.B

第三章 空气与生命(提高卷)

1.D 2.A 3.C 4.D 5.C 6.B 7.B 8.D 9.A 10.B

11.D 12.A 13.D 14.A

15.氮气 水蒸气 二氧化碳 沸点

16.(1)温度没有达到红磷的着火点 (2)防止生成物逸散到空气中污染空气 (3)用导管对准水中的白磷通入氧气

17.(1)化合反应 (2)C6H12O6(3)CD (4)减少二氧化碳的排放

18.(1)大于 舒张 (2)甲 水+能量

19.(1)探究金鱼藻光合作用的产物 (2)叶绿素 水浴加热

(3)氧气中混有太多的水蒸气 (4)①在一只烧杯内放入清水,将金鱼藻放入水中,将漏斗盖在金鱼藻上;②在漏斗上罩上盛满清水的试管;③将整个装置放在阳光下,观察到金鱼藻上产生气泡,气泡进入试管中,当试管中的水被排尽时,用大拇指在水中盖住试管口,将试管取出;④将带火星的木条伸入试管内,若木条复燃,则金鱼藻光合作用产生了氧气。

20.(1)t0-t1时段固体质量不变是因为反应还未进行,t4-t5时段固体质量不变是因为反应进行完全。

(2)解:设高锰酸钾的质量为xg。

答:高锰酸钾的质量m 为31.6克。

(3)略(反应前后固体中锰元素质量不变,31.6克高锰酸钾中锰元素质量为31.6g×=11g)

第四章 植物与土壤(基础卷)

【知识梳理】

一、1.各类生物 微生物 动物 植物 细菌 真菌 空气水 有机物(腐殖质) 无机盐(矿物质颗粒)

2.有气泡产生 空气 氧气

3.(3)大于 空气 (V1-V2)/V×100% 15%~35%

4.试管壁上有小水珠,试管口冒出水雾 土壤中有水 光合作用 蒸腾作用

5.土壤在加热的过程中颜色发生明显变化 明显减少 有机物 生物的排泄物和死亡的生物体 食物 养分 肥力 燃烧

6.土壤中有无机盐

7.固体 液体 气体 矿物质颗粒 腐殖质 95%

8.物理 化学 生物

二、1.矿物质颗粒 腐殖质 水 空气 砂粒 粉砂粒 黏粒黏粒

2.大 强 差 矿物质颗粒大小

3.反比 正比

4.砂粒、粉砂粒和黏粒在土壤中所占的比例不同 砂土 黏土 壤土 黏土类土壤 砂土类土壤 黏土类土壤 壤土类土壤 适中 通气透水

三、1.根系 直根系 须根系 固定 吸收

2.土壤的结构 肥力 水分状况 越短 根尖 根系及根尖上的根毛不易断裂,使根的吸收功能不会减弱,有利于移植的作物幼苗成活

3.根冠 分生区 伸长区 根毛区 根冠 分生区 伸长根毛 根毛

4.吸水 失水

5.无机盐 氮 磷 钾 植株矮小,叶色发黄 植株暗绿带红 植株矮小,叶片上带许多褐斑

6.水和无机盐 有机物

四、1.直立 匍匐 攀缘 缠绕 输导(水分、无机盐和有机物)支持(植物体)

2.①④③② 木质部 树皮和髓 保护 木质 韧皮 分生 2~3 加粗 形成层 不会 导管 木纤维

3.导管 输导 管 根压和蒸腾拉力

4.筛管 筛管 韧皮纤维 输导 自上而下

五、1.蒸腾作用 99%

2.降低叶片温度 根部吸水 溶解在水中的无机盐

3.温度、光照、湿度和气流速度等 大 低 弱 慢

4.带土移栽浇水,增强吸水的功能 剪去部分枝叶,注意遮阳 尽量在傍晚移栽,减弱蒸腾作用,防止植物失水枯死(写两个即可)

5.(1)蓝色 红色 红色 (2)红色 下表皮 深一些(3)下表皮

6.(1)保护 保卫 半月 气孔 开放 闭合 (2)光合(3)输导

六、1.土壤的污染 过度开发

2.化学 生物 物理

【巩固练习】

1.C 2.B 3.B 4.C 5.A 6.D 7.B 8.D

9.(1)氧气、二氧化碳、水蒸气 (2)甲

10.(1)A (2)不适宜

11.(1)旱季时间较长,雨季较短(旱季干旱少雨) (2)根尖 根系发达。有发达的根系才能吸收到大量的水,并且把水储存到纺锤树膨大的树干里。

第四章 植物与土壤(提高卷)

1.C 2.B 3.D 4.D 5.C 6.C 7.D 8.B 9.B 10.A 11.B 12.C 13.D 14.A

15.(1)② (2)③

16.(1)气孔 (2)韧皮部

17.(1)应取长、宽、厚相等的土块而不是质量相等的土块 (2)防止加入过量的水,使实验结果更准确 (3)大于

18.(1)相同 (2)3 (3)施肥的时期(或施肥次数) (4)蒸腾作用

19.(1)防止水分蒸发干扰实验 (2)相同时间后硅胶干燥胶片质量的增加值 (3)少于 (4)锥形瓶内剩余的水的质量

嘉兴市期末测试卷

1.C

2.B 解析:磁感线实际是不存在的,是为了描述磁场而引入的一种理想模型,故B错。

3.D

4.A 解析:生成物中有单质,故B错;反应前后分子种类和数目都变了,故C错;该反应三种物质的分子个数比为2∶2∶1,故D错。

5.C

6.A 解析:C-12和C-14都是碳元素,同种元素质子数相同,所以C-12和C-14的质子数相同,A正确;相对原子质量的单位是1,故B错;青铜是以铜和锡为主要成分的铜合金,是混合物,故C错;黄金中不含碳元素,因此不能用C-14含量测定金面具的年代,故D错。

7.C 解析:水稻属于草本植物,茎不能不断加粗,故A错;水稻的茎不属于木质茎,故B错;根能从土壤中吸收水和无机盐,不能吸收有机物,故D错。

8.D 解析:应使用充分干燥的土壤来探究土壤中是否存在有机物,故D错。

9.B 解析:用加热高锰酸钾制取氧气时,试管口应微微向下倾斜,且试管口要加一团棉花,故A 错;用带火星的木条验满时,木条应放在集气瓶口,故C错;铁丝在氧气中燃烧,瓶底要放少量水或细沙,故D错误。

10.D 解析:室内起火时,如果及时打开所有的门窗,会使空气更流通,为燃烧提供更多的氧气,燃烧会更剧烈,故A错;若打开排气扇电源开关,有可能会有电火花产生,有引燃泄漏的煤气和空气的混合气体的危险,故B错;电器或电线着火时,应先切断电源,采用干粉灭火器灭火,故C错。

11.D 解析:由安培定则可知,螺线管的上端是N 极,故A 正确;开关闭合后,电磁铁产生磁性,吸引铁块向下,故弹簧测力计示数会变大,故B正确;滑片P 向左滑动,变阻器阻值变小,电流变大,电磁铁磁性增强,弹簧测力计示数变大,故C正确;若改变电路中的电流方向,电流大小不变,电磁铁磁性不变,弹簧测力计示数不变,故D错误。

12.B 解析:碳在空气中燃烧生成CO2,虽消耗了O2,却增加了新的CO2气体,没有形成压强差,无法用来测定空气中的氧气含量,故A错误;用激光代替酒精灯点燃红磷,反应始终在密闭装置内进行,可以减小实验误差,故B正确;红磷燃烧结束后,瓶内剩余的气体仍处于受热状态下,仍在膨胀中,占据了部分水的体积,所以不能立即打开止水夹,故C错误;若装置漏气或红磷的量不足,实验结束后集气瓶中的水的体积不一定占其容积的,故D错误。

13.B 解析:叶的表皮细胞是无色透明的,故A错;植物吸收的水有大约99%通过蒸腾作用散失,故C错;蒸腾作用散失的水主要靠叶脉中的导管运输,故D错。

14.D 解析:呼气时肺内气压高于外界大气压,故A 错;吸气时,膈肌收缩,膈顶部下降,胸腔容积扩大,故B错;呼出的气体中,氧气占了16%,二氧化碳占了4%,氧气还是比二氧化碳多,故C错。

15.C 解析:生成的二氧化碳和水中的氧元素也有可能来自氧气,故此推测错误。

16.(1)KOH (2)-1

17.呼吸 黏土类

18.淡蓝

19.叶绿体 H2O

20.11 失去

21.(1)漏斗内外出现一段液面差,且保持一段时间不变 (2)a

22.AB ③④①②

23.(1)③ (2)消耗叶片中原有的有机物 (3)黄白色 (4)向叶片滴加碘液

24.(1)灵敏电流计的指针发生偏转 (2)在磁场强弱、切割磁感线方向等条件相同时,切割磁感线的速度越快,产生感应电流越大 (3)电动机

25.(1)相同时间产生氧气的体积多少(或收集相同体积的氧气所用的时间) (2)双氧水分解产生氧气的速率是否与双氧水的浓度有关 (3)丙

26.(1)15∶12∶4 (2)12∶1

27.(1)增大 (2)b (3)解:当滑片位于b端,电压表示数就是电源电压,由图乙可知U0=10V;当滑片位于a端,由图乙可知:I=0.05A,U光敏=2V,U=U0-U光敏=10V-2V=8V,R=U/I=8V/0.05A=160Ω。

28.(1)CaCO3+ 2HCl====CaCl2+H2O+CO2↑ (2)6.6

(3)解:样品中碳酸钙的质量分数为:×100%=67%。

(4)解:设与5g碳酸钙反应的HCl的质量为x。解得:x=3.65g,所以稀盐酸的质量分数为:

杭州市拱墅区期末测试卷

1.D 解析:铜的化学式为Cu,氖气的化学式为Ne,氯化铝的化学式为AlCl3

2.A 解析:化学反应的过程,就是参加反应的原物质的原子重新组合成新物质的过程,参与反应的乙烯分子一定产生变化,故B错;乙烯分子由碳原子和氢原子构成,故C错;1个乙烯分子中含有4个氢原子和2个碳原子,故D错。

3.A 解析:生长矮小,叶有褐斑是因为缺钾,故B错;叶色暗绿带红是因为缺磷,故C错;只开花不结果有可能是因为授粉不良,故D错。

4.C 解析:①中木炭只会灼烧至发红,不会发白光,故A错;氧气密度比空气大,故B错;木炭和氧气充分反应生成CO2,CO2会使澄清石灰水变浑浊,故C正确;对比①②只能说明氧气浓度越大,木炭燃烧越剧烈,且氧气具有的是助燃性,而非可燃性,故D错。

5.D

6.A 解析:磁感线在磁体周围是从N 极出发回到S极,故A错,B、C正确;根据安培定则,通电螺线管右端是N 极,左端是S极,故D正确。

7.B 解析:2Mg表示2个镁原子,故A错;Fe2+中的“2”表示一个亚铁离子带有2个单位的正电荷,故C错;H-2表示氢的一种同位素氘,它的相对原子质量是2,而氢原子的核电荷数为1,故D错。

8.D 解析:ClO2的化学名称为二氧化氯,故A错;ClO2中氯元素的化合价为+4价,故B错;由两种或两种以上的物质反应生成一种新物质的反应才是化合反应,此反应生成2种新物质,故不是化合反应,故C错。根据反应前后原子守恒定律可知,D正确。

9.C

10.B 解析:电烙铁利用的是电流的热效应,故A错;发电机的工作原理是电磁感应,利用的就是“磁生电”,故B正确;电动机的工作原理是通电导体在磁场中受力而运动,故C错;电磁起重机的工作原理是电流的磁效应,故D错。

11.D 解析:由安培定则可知,通电螺线管上方为N级,吸引条形磁体,故弹簧会伸长。若滑片P 向右移动,则变阻器阻值变小,电路中电流变大,螺线管磁性变强,弹簧会伸得更长,故A不符合题意;在螺线管中插入铁芯,磁性增强,弹簧也会伸得更长,故B不符合题意;增大电源电压,螺线管磁性增强,弹簧也会伸得更长,故C不符合题意;将电源的正负极互换后,通电螺线管上方变为S极,与同为S极的条形磁体下端互斥,则弹簧缩短,故D符合题意。

12.C 解析:由巨大的压力将核外电子压缩到原子核中可知,中子最不容易失去电子,所以中子星上不存在丰富的氢离子,故C说法错误。

13.D 解析:W 和氧气的质量减小,是反应物,且反应物的总质量为8g+(20g-8g)=20g,由质量守恒可知,CO2和质量增加的水是生成物,且两者质量和为20g,所以水的质量为x=20g-11g+1g=10g,故A错误;该反应中,氧气与水的质量变化之比为(20-8)∶(10-1)=4∶3,故B错误;由质量守恒定理可知,W 中一定含有碳和氢两种元素,生成的水中氧元素的质量为(10g-1g)×=8g,二氧化碳中氧元素的质量为11g×=8g,质量和为16g,而参加反应的氧气的质量为20g-8g=12g,所以W 中还有氧元素,故C错误;W 中碳、氢元素质量比为(11g×)∶(9g×)=3∶1,故D正确。

14.B 解析:胶乳是叶制造的有机物,是通过树皮中的筛管由上向下运输的。图①是导管,图②是筛管。故B正确。

15.B 解析:黏土类土壤保水、保肥能力强,通气、透水性能差;砂土类土壤通气、透水性能强,易干旱,有机物分解快,易流失;壤土类土壤通气,透水,能保水、保肥,宜于耕种,故最不适合种多肉的是黏土类土壤和瓷盆。

16.A 解析:二氧化碳能溶于水,并与水反应生成碳酸,试管内气体减少,压强变小,水面上升;反应生成的碳酸在水中电离出H+,使紫色石蕊试液变红,所以试管内的液体变红,故A正确。

17.C 解析:O3是臭氧,臭氧不会导致酸雨,空气中的SO2和氮氧化物等物质才会导致酸雨。

18.A 解析:若a、b两点间断路,灯泡L2与零线不能构成闭合电路,L2无法正常发光,但a点会通过L2与火线相连形成回路,氖管就发光了;若b点左侧零线断路,则闭合S1后L1无法发光;若L2短路,保险丝将烧断,则用测电笔测a点氖管不会发光;若L2断路,用测电笔测a点氖管不发光,故只有A符合题意。

19.C 解析:①是叶脉,分布在叶肉中,起支持和运输作用,故A错;②和④是表皮,起保护作用,故B错;③是叶肉,含有大量叶绿体,其主要功能是进行光合作用,故C正确;⑤是气孔,故D错。

20.B

21.(1)离子 (2)H、N、P

22.(1)①②④ (2)2 3 质子数相同、中子数不同

23.(1)[C]光合作用 [A]呼吸作用 [B]蒸腾作用 (2)等于

24.(1)光合 (2)二氧化碳会与水反应生成碳酸 CO2+3H2

25.(1)吸气 收缩 (2)二氧化碳 扩散

26.力 电流 电动机

27.(1)须根系 [②]伸长区 (2)[①]根毛区 大于

28.(1)③ (2)P2O5对药品进行加热和对水中白磷隔绝氧气

29.(1)变大 减弱 (2)ab

30.(1)①② (2)BC 挤压软塑料管,将其内的液体药品压入上部,与纱布包中的块状固体药品接触

31.(1)分别留下6片和3片叶片 (2)茎中红色染液上升的长度 (3)植物叶面积越大,运输水分的速率越大 (4)剪去部分枝叶(叶片)

32.(1)转运和耗尽叶片内原有的淀粉 (2)20mLNaOH 溶液(3)酒精,溶解叶片中的叶绿素 (4)B

33.(1)改变电路中电流大小 (2)如下表所示:

(3)减小

34.(1)电 (2)不同 匀速 (3)两次实验,灵敏电流计指针偏转幅度不同,导体切割磁感线运动速度大的,灵敏电流计指针偏转幅度大

35.(1)16% 白磷量不足(或装置漏气或未冷却至室温就打开止水夹) (2)0.11

36.(1)2∶4∶3 (2)解:×100%≈31.6%。

37.(1)增大接触面积,使反应更充分 无

(2)解:生成的二氧化碳质量为340g-336.7g=3.3g,设碳酸钙的质量为x。

杭州市下城区期末测试卷

1.C 解析:2H2O只能表示2个水分子,Cu可以表示铜元素,还可以表示铜这种物质,N2可以表示氮气这种物质,HCl可以表示氯化氢这种物质,均具有宏观意义,故只有C 符合题意。

2.A 解析:氯化钙的化学式是CaCl2;氦气的化学式是He;氧化铁的化学式是Fe2O3

3.D 4.D

5.B 解析:磁体周围磁感线的方向是从N极出发回到S极,故A错;地壳中元素含量由多到少前4种元素是:氧、硅、铝、铁,故C错;化合物包含在纯净物中,故D错。

6.A 解析:图乙铁屑分布情况显示磁体两极磁性最强,故B错;图丙中的磁体自由静止时,磁体的北极指向地理北极、地磁南极,故C错;图丁中,磁体具有吸铁性,就算铁棒没有磁性,靠近小磁针也会被吸引,故D错。

7.C 解析:He-4中有2个质子和2个中子,同种元素的质子数相同,则He-3原子核中质子数也为2,则中子数为3-2=1,故A错;原子中核内质子数=核外电子数,He-3原子核中质子数为2,则He-3原子核外有2个电子,故B错;He-3和He-4的质子数相同,中子数不同,是同位素原子,故C正确;原子的相对原子质量与原子的质量成正比,He-3和He-4的相对原子质量不同,则He-3和He-4的原子质量也不同,故D错。

8.D 解析:Mg2+中的“2”表示一个镁离子带2个单位的正电荷;2K+的“2”表示2个带1个正电荷的钾离子;表示2个铵根离子,故只有D正确。

9.D 解析:达芦那韦中C、H两种元素的质量比为(27×12)∶37=324∶37,故D错误。

10.C 解析:实验中红磷过多是正确的操作,不会导致测定结果偏小,故C说法不合理。

11.B 解析:磁体磁性越强,磁场力越大,电机转动越快,故B的分析错误。

12.B 解析:丙和丁的质量增加了,是生成物,则甲是反应物,由质量守恒,可知x=(40+10+15)-(25+20)=20,故A错;反应前后乙的质量不变,可能作该反应的催化剂,也可能没参与反应,故B正确;该反应生成的丙、丁的质量比为(25-10)∶(20-15)=3∶1,故C错;20g甲完全反应生成丙的质量为15g,则若充分反应,生成丙的质量为30g,反应后丙的质量应为30g+10g=40g,故D错误。

13.D 解析:质子和电子也带电,所以带电的不一定就是离子,故A错误;只含一种元素的物质也可能是混合物,如氧气和臭氧的混合物,故B错;含多种元素的物质可能是混合物,如过氧化氢和水的混合物,故C错。

14.C 解析:P 点时,气压差是正值,表示肺内气压大于外界大气压,是呼气过程,此时膈肌舒张,处于完全放松状态,故A正确;Q 点与P 点正相反,是吸气状态,此时肺内气压最小,故B也正确;从X 到Z 期间,人完成了一次呼气和吸气的周期,故C 错误;从Y 到Z 期间,人完成了一次吸气,故D正确。

15.B 解析:温度才是影响植物呼吸作用的主要因素,故A错误;a-c段,光合作用强度大于呼吸作用强度,所以有机物的含量一直在增加,故B正确;b-c段,虽光合作用减弱,但仍比呼吸作用强,因此有机物还是一直在积累,故C错误;c点以后,植物不能进行光合作用,无法吸入CO2,故D错误。

16.D 解析:人体吸入的气体中CO2的含量为0.04%,呼出的气体中为4%,浓度变了,故D不正确。

17.C 解析:反应前后锂原子都是2个,钴原子都是2个,反应前氧原子是18个,反应后已知的只有14个,则有4个包含在未知物X中,反应前氢原子是8个,反应后也应有8个,反应前后硫原子都是3个,则生成物X的化学式为H2O,故A错误;水不会污染环境,故B不正确;LiCoO2中,Li为+1价,O为-2价,故Co为+3价,C正确;O和Co的化合价都发生了变化,故D错。

18.B 解析:氧气也可通过呼吸作用参与碳循环,故B错。

19.C 解析:用反应①制造氧气时,采用的是分解H2O2的方法,MnO2是催化剂,故A错误;反应②是用加热KMnO4的方式制取氧气,反应③是用加热KClO3的方法制取氧气,用②③两种方法都要检查气密性,故B错;铁在空气中不能燃烧,故D错误。

20.B

21.(1)NaCl (2)②④ (3)C60(4)金属

22.N S

23.火线 地线 不会 丙

24.(1)光合 (2)筛管 (3)保卫细胞 CO2和O2(4)农家肥 无机盐

25.(1)失水 减小 (2)大于

26.将带火星的小木条伸入其中,观察是否复燃 2∶5

27.

28.(1)CaCO3+2HCl====CaCl2+H2O+CO2↑ (2)温度达到着火点 (3)通CO2时红磷不燃烧;通O2时红磷燃烧

29.(1)检验空气中的二氧化碳是否已被除尽 (2)排除光合作用的影响(或使植物在无光照的条件下发生呼吸作用)

(3)B处石灰水不变浑浊,而D处的石灰水变浑浊

30.(1)B a 将燃着的小木条放在b端口,观察是否熄灭

(2)A 密度比空气小,难溶于水

31.(1)其他条件相同时,通过电磁铁的电流越大,电磁铁的磁性越强 (2)将变阻器滑片向右移动,直到电流表的示数为1.8A,断开开关,将小车放在起始位置,闭合开关 (3)电磁铁的磁性强弱与电流的方向是否有关

32.(1)② (2)①换用滴管从量筒中取水后向烧杯中滴水

③B

33.(1)将磁铁N、S极互换 导体ab向左运动 (2)电动机

(3)电磁感应

34.(1)CO2的浓度 (2)叶圆片光合作用产生氧气,气泡附着在叶片表面,使叶圆片的总浮力大于总重力 (3)相等时间内叶圆片浮起的数量 (4)其他条件相同时,二氧化碳浓度越高,植物光合作用越强

(3)解:设可制得甲醇质量为x,根据C元素质量守恒,可得:

44吨×=x×解得:x=32吨

36.(1)解:设溶液中过氧化氢的质量为x。

(2)反应后的溶液为CuSO4溶液,溶液质量为:48g+3.6g-1.6g=50g

37.(1)增大 (2)解:路灯亮时,电磁铁中电流I=0.1A,则R

(3)增大控制电路电源电压、减小电阻R0的阻值(合理即可)

诸暨市期末测试卷

1.D 解析:表示1个甲烷分子由1个碳原子和4个氢原子组成,故D错。

2.B 3.C 4.A

5.D 解析:原子中核电荷数=核内质子数=核外电子数,所以该原子核外电子数为6。

6.D 解析:氧气是单质;稀有气体中有氦气、氖气、氩气等,属于混合物;氮气也是单质;二氧化碳是由碳和氧两种元素组成的含氧化合物,是氧化物。

7.A

8.C 解析:空气中各成分的体积分数大约是氮气78%,氧气21%,稀有气体0.93%,二氧化碳0.04%,水蒸气等其他气体和杂质0.03%,故C错误。

9.A 解析:图乙铁屑分布情况显示了磁体两极磁性最强,故B错;磁体自然静止后,磁体的北极指向地理北极、地磁南极,故C错;磁铁具有吸铁性,就算铁棒没有磁性,靠近小磁针也会被吸引,故D错。

10.C 解析:可燃物着火点是物质本身的性质,下雨只能降低可燃物的温度,但不能降低可燃物的着火点,故C错误。

11.D 解析:92g酒精中碳元素的质量为=48g,故D错。

12.D 解析:剪去部分枝叶是为了降低植物的蒸腾作用,A 错误;为植物打针输液是为了补充无机盐,故B错;盖遮阳网避免阳光直射,可以降低植物的蒸腾作用,减少水分的散失,提高成活率,C错误。

13.B 解析:稀硫酸和大理石反应生成的微溶于水的硫酸钙会阻碍反应的进一步进行,故A错;实验室常用稀盐酸与大理石或石灰石反应来制取二氧化碳,属于固液常温型,可选择该装置来制取,并能控制反应的发生与停止,故B正确;二氧化碳的密度比空气大,所以应用向上排空气法来收集二氧化碳,故C错;把燃着的木条放在集气瓶口,观察木条是否熄灭来验满,故D错误。

14.D 解析:铁粉与氧气、水同时接触会发生锈蚀,由于足量的铁粉能将有机玻璃管内的氧气完全耗尽,管内压强减小,所以水滴向右移动,根据水滴移动距离可以测定出空气中氧气的含量,A正确;平铺能增大铁粉与氧气、水的接触面积,加快反应速率,B正确;如果玻璃管内的脱氧剂粉末分布不够紧密,会使实验结果偏大,因为疏松的脱氧剂中含有空气,而这些空气没有计算在玻璃管中体积之内,故C正确;实验测得的氧气体积分数为×100%,而非质量分数,故D错误。

15.B 解析:湿润地区的植物叶片面积较大,应选用湿润地区的植物,故A错;光照强度影响植物的蒸腾作用,所以置于阳光下可以使实验现象更快出现,B正确;袋内的小水珠主要是由植物蒸腾作用产生的水蒸气液化形成,C错误;该实验只能证明植物能进行蒸腾作用,但不能说明气孔是植物散失体内水分的“门户”,故D错。

16.B 解析:该反应由一种物质生成了两种物质,故是分解反应,A正确;生成的甲、乙分子个数比是1∶3,故B错误;由微粒的变化可知,该反应前后原子个数不变,故C正确;由微粒的构成可知,该反应的生成物的分子都是由同种原子构成的,是单质,故D正确。

17.A 解析:图①采用模型法,图②③④采用转换法,故选A。

18.B 解析:ab段和de段肺内压均小于大气压,表示吸气,膈肌处于B 位置;bc段和cd 段肺内压大于大气压,表示呼气,膈肌处于A 位置,故只有B正确。

19.C 解析:闭合开关前,条形磁铁会吸引电磁铁中的铁芯,有水平向左的引力,但条形磁铁仍静止,所以还有水平向右的摩擦力,故条形磁铁受到四个力的作用,A错;由安培定则可知,闭合开关后电磁铁左端为S极,右端为N 极,与桌上的条形磁铁左端的N极互斥,条形磁铁受到向右的斥力,但条形磁铁仍静止,所以受到桌面向左的摩擦力,故B错误,C正确;闭合开关后,滑片由b向a 移动过程中,变阻器阻值变小,电流变大,电磁铁磁性增强,则条形磁铁受到的摩擦力增大,故D错误。

20.D 解析:10分钟以前,甲植物所在容器内二氧化碳浓度降低,有二氧化碳的净消耗,说明光合作用消耗的二氧化碳量大于呼吸作用产生的量,A 正确;20分钟前,乙植物所在容器内二氧化碳的浓度一直在降低,说明乙植物光合作用强度大于呼吸作用,B正确;20分钟后,两个容器内二氧化碳的浓度不再变化,说明两种植物光合作用强度等于呼吸作用,C正确;交点M 处只能说明此时密闭容器中的甲、乙两种植物叶片的净光合作用强度相等,故D错。

21.(1)3S (2)(3)H2

22.(1)C (2)产生蓝色絮状沉淀 (3)密闭

23.壤土 宜于

24.断路 会

25.(1)气孔 (2)筛管 (3)能

26.(1)浓盐水 变小 (2)大于 吸水

27.(1)试管口向上倾斜 (2)bac (3)反应前后高锰酸钾的质量和化学性质发生了变化(合理给分)

28.(1)消耗叶片中原有的有机物(淀粉) (2)呼吸作用

(3)光照

29.(1)② (2)防止溅落的熔化物炸裂瓶底 盖玻璃片时,集气瓶内水面高于水槽液面,所以瓶内气压小于外界气压,导致毛玻璃片对瓶口的压力增大,所以摩擦力增大不易滑动(合理给分) (3)火柴系在铁丝的上方,燃着的火柴向上燃烧没有对铁丝充分预热,因此不能让铁丝的温度达到着火点,故铁丝不能燃烧

30.(1)通电后的螺线管周围存在磁场 成立 (2)轻轻敲击玻璃板面 (3)在螺线管内部放置小磁针,通电后观察小磁针静止时N极的指向

(3)解:

33.(1)20欧 (2)解:R=15欧+10欧=25欧,I=U/R=3伏/25欧=0.12安 (3)减小总电阻,即更换比R0更小的定值电阻(或增大电源电压)

湖州市吴兴区期末测试卷

1.D

2.C 解析:从甲到乙,膈肌收缩,表示吸气过程,故A、B均错误;从乙到甲,膈肌舒张,肺内气压大于外界大气压,表示呼气过程,故C正确,D错误。

3.D 解析:实验室制取氧气时,要先检查装置的气密性再加入药品,以免装置漏气,浪费药品,故A 不符合事实;在加热的条件下,铜能与氧气反应生成黑色的氧化铜,故B不符合事实;红磷在氧气中燃烧生成五氧化二磷,是一种固体而不是气体,故C不符合事实;D正确。

4.C 解析:A是控制变量法,B是类比法,C是模型法,D是等效替代法,故选C。

5.B 解析:由题意可知,此款按压式应急电筒运用了电磁感应原理,故选B。

6.C 解析:表示离子个数的是②⑥,表示离子所带电荷数的是⑤,表示微粒中原子个数的是③⑦,①表示2个氯原子,④表示CuO 中Cu元素的化合价显+2价,故A、B、D 错误,C正确。

7.A 解析:反应生成物中有一种生成物的分子由2个相同的原子构成,该物质为单质,因此在这个过程中只出现了三种化合物,故A错误。

8.C 解析:我国北方的冬天,许多树叶掉落,植物的光合作用明显减弱,但此时南半球是夏季,植物光合作用强,而且大气是循环流动的,因此大气中的二氧化碳不会明显增加,故A错误;除了动植物的呼吸以外,含碳燃料的燃烧也会增加大气中的二氧化碳,故B错误;C正确;植物体内的有机物可以通过被天敌捕食而转变成二氧化碳,也可以通过燃烧、微生物的分解而转变成二氧化碳,故D错误。

9.B 解析:电子的质量很小,原子的质量主要集中在原子核上,故A错误;原子的最外层电子数决定其化学性质,因此核外电子对原子在化学反应中的表现有很大影响,故B正确;氢原子的原子核中只有一个质子,没有中子,故C错误;质子和中子还能分成更小的粒子——夸克,故D错误。

10.D 解析:带电的粒子还能是质子和电子,故A不合理;含一种元素的物质也可能是混合物,如氧气和臭氧的混合物、金刚石和石墨的混合物等,故B不合理;含氧元素的化合物不一定是氧化物,如NaClO是盐,故C不合理;CO2和H2O两种物质中含有C、H、O 三种元素,根据质量守恒定律,反应前后,元素种类不变,反应物氧气中只含有氧元素,则蜡烛中一定含有碳元素和氢元素,故D合理。

11.D 解析:桑树属于双子叶植物,故D错误。

12.D 解析:二氧化碳能溶于水,不能用排水法收集,二氧化碳密度比空气大,可以用向上排空气法收集,且应从长管进入,故选D。

13.C 解析:由题意可知,缝衣针针尖的磁极与磁铁的磁极是异名磁极,故A、D错误;指南针的N 极指向地理北极,S极指向地理南极,故B错误,C正确。

14.B 解析:生活用水是导体,用湿手触摸开关,容易发生触电事故,故A不符合题意;B符合题意;在高压线附近放风筝,一旦风筝线与高压线缠绕在一起,放风筝的人就可能触电,故C不符合题意;用电器之间都是并联的,使用插座时接入用电器过多,会使插座中电流过大,易发生火灾,故D不符合题意。

15.B 解析:实验时应选择具有较强吸水能力的湿润地区的植物,因为湿润地区的植物叶片面积较大,实验效果明显,故A不合理;植物的蒸腾作用随光照强度的增强而增强,因此置于阳光下可以使实验现象更快出现,故B合理;袋内的小水珠主要由植物蒸腾作用散失的水蒸气液化形成,故C不合理;本实验可以得到的结论是叶是植物蒸腾作用的主要器官,不能说明气孔是植物散失体内水分的“门户”,故D 不合理。

16.C 解析:在化合物中,X元素的化合价为正价,因此在化学式中,X符号在前,Y符号在后,故A、B错误;已知A中X、Y原子个数比为1∶3,则化合物A的化学式可表示为XY3,在A中X 的质量分数为40%,则其中Y 的质量分数为1-40%=60%,设X、Y的相对原子质量分别为m、n,则化合物A中,X与Y的质量比为,即m=2n。在化合物B中,X的质量分数为50%,则Y 的质量分数为1-50%=50%,设B的化学式为XaYb,则,即B的化学式为XY2,故选C。

17.(1)NaOH Na2CO3(2)CaO Ca(OH)2

18.(1)木质部(导管) (2)导管从下而上输送水分和无机盐

19.(1)② (2)MgO

20.N 送血

21.(1)浓盐酸具有挥发性,会导致收集到的二氧化碳不纯

(2)密度比空气大(出现“不燃烧也不支持燃烧”不给分)

22.(1)A (2)大于

23.正常 短路

24.(1)蒸腾作用 (2)光合作用强度增加但仍小于呼吸作用强度 (3)黑暗

25.(1)左 (2)滑动变阻器 (3)控制变量法

26.(1)实验2 相同时间内集气瓶中气体体积最多 (2)烧瓶内气体受热膨胀(或80 ℃时,温度较高,水蒸发成水蒸气)(合理即可)

27.(1)原子核 (2)① (3)ABC

28.减小 增大 甲 体积 密度 使水与二氧化碳分离,阻止二氧化碳溶于水

29.(1)19 (2)9∶2 (3)28

31.(1)EF (2)解:F=G=mg=24t×10N/kg=2.4×105N,由表格可知,当压力为2.4×105N时,输出电压U=2V,使电磁继电器衔铁闭合的最小电流I=20mA=0.02A,∴此时电路的总电阻R=U/I=2V/0.02A=100Ω,又∵继电器线圈的电阻R线=25Ω,∴电阻箱接入电路的阻值R=R-R线=100Ω-25Ω=75Ω。

32.(1)换向器 (2)磁场太弱(或电流太小或处在平衡位置) 换用较强的磁场(或增加电池节数或用手拨动一下线圈)

33.(1)土壤的质量、体积、干湿度等(答出一点即可,答浇水量不给分) (2)装有砂土的瓶中渗出水量多于装有壤土的瓶子(3)否

34.(1)温度升高导致的气压变化量大于氧气量减少导致的气压变化量 (2)偏小

温岭市、天台县、临海市、玉环市期末测试卷

1.A 解析:地壳主要由氧、硅、铝、铁、钙、钠、钾、镁、氢等元素组成,其中含量最高的是氧,其次是硅。故选A。

2.B 解析:A 是眼球模型,B是氢元素符号,C是电路模型,D是水蒸发模型,故选B。

3.C 解析:光合作用发生在植物细胞的叶绿体中,是将二氧化碳和水转化成储存着能量的有机物,并释放氧气的过程,故选C。液泡是植物细胞内具有贮存营养物质和维持渗透压作用的细胞器,细胞核是遗传物质诸存和复制的场所,细胞膜主要起到保护细胞的作用。

4.D

5.B 解析:铁、钴、镍等物质容易被磁铁吸引,而铜、铝、铅等金属材料不能被磁铁吸引,故选B。

6.D 解析:验满时应将带火星的木条放在集气瓶口,而不是伸入集气瓶内,故D错误。

7.A 解析:树木通过光合作用吸收二氧化碳,释放氧气,可保持大气中CO2含量的相对稳定,因此提倡植树造林净化空气有利于“碳中和”,故B不符合题意;绿色出行能减少二氧化碳的排放,有利于“碳中和”,故C不符合题意;使用手帕、减少餐巾纸的使用能够减少森林的砍伐,有利于“碳中和”,故D不符合题意;多运动提高个人身体素质与“碳中和”无关,故A符合题意。

8.A 解析:在磁体外部,磁感线是从磁体的N 极出发回到S极。A中磁感线是从磁体的N极出发回到S极,故A正确;B中磁感线是从S极出发回到N 极,故B错误;C中磁感线是从N极出发回到N极,故C错误;D中磁感线是从N 极和S极一起出发,故D错误。

9.D 解析:设硫元素的化合价为x价,根据在化合物中正负化合价代数和为零,可得(+1)×2+x=0,则x=-2,故选D。

10.B 解析:金(Au)属于金属元素,故A错误;原子中的质子数=核电荷数=核外电子数,故B正确,C错误;相对原子质量=质子数+中子数,则中子数=197-79=118,故D错误。

11.B 解析:火柴梗和火柴头均属于可燃物,也均与氧气接触,实验中观察到火柴头先燃烧,这说明温度达到了火柴头的着火点,但没有达到火柴梗的着火点,故A、C不符合题意,B符合题意;该实验中酒精灯的火焰与火柴头和火柴梗之间有铜片阻隔,没有直接接触,故D不符合题意。

12.C 解析:为了使线圈能够持续转动,在制作直流电动机时安装了换向器,当线圈转过平衡位置时自动改变线圈中电流的方向,从而改变线圈的受力方向,使线圈持续转动,故选C。

13.C 解析:二氧化碳通入紫色石蕊试液变红色,通入澄清石灰水变浑浊,故A错误;生成二氧化碳气体是实验结论而不是现象,现象是生成一种能使澄清石灰水变浑浊的气体,故B错误;C正确;硫在氧气中燃烧发出明亮的蓝紫色火焰,故D错误。

14.D 解析:研究人的呼吸实验是模拟实验,没有用到转换法,故选D。

15.A 解析:肺泡是进行气体交换的主要场所,由一层薄的上皮细胞构成,外面布满毛细血管和弹性纤维,有利于气体交换,而吸气和呼气是通过肋间肌和膈肌的收缩和舒张来完成的,故A符合题意。

16.(1)Cu (2)Na+(3)H2O

17.元素 中子

18.(1)④ (2)筛管

19.(1)电流 (2)S(或南) 减弱

20.(1)氧气(或O2) (2)化合反应 (3)二氧化硫21.(1)b、c (2)大于 木质部

22.(2)无机盐

23.(1)南(或S) (2)AB

24.【交流反思】A

【拓展提升】①改变 ②加快A 电流计指针的拨动速度(或相同时间内增大A电流计指针的拨动幅度)

25.(1)防止高锰酸钾粉末通过导管进入水槽污染水槽 (2)用带火星的木条接触气泡,若观察到都能使带火星的木条复燃,则相同(或用燃着的木条接触气泡,甲能出现轻微的爆鸣声,乙没有,则不相同)

26.(1)其中一个磁极被排斥 (2)可行,随着固有气隙厚度的增加,残余磁力减少相对值比较大,通电时磁力减少相对量较少(只答“可行,随着固有气隙厚度的增加,残余磁力减少相对值比较大”,给2分) (3)温度越高磁性越弱(其他合理答案均可)

27.(1)暗处理24小时(或遮光处理24小时或无光处理24小时) (2)60000勒克斯光照强度下处理5小时后,4平方厘米叶片光合作用合成的有机物质量(只答“光合作用合成的有机物质量”给2分) (3)光合作用需要二氧化碳

28.减弱植物蒸腾作用(或减少植物有机物的消耗) 实验设计答题要点:①设置自变量(叶);②控制无关变量(如液面滴油防止水蒸发带来影响、外界环境相同且有光照、取同一品种的植物等);③观察并记录因变量(测量并记录相同时间内U形管中液面的高度差);④普遍性结论得出(换用其他品种植物重复以上实验);⑤写出预期结果并得出相应结论(也可画图辅助说明,其他合理即可)

29.(1)A→F→B→E→C(→D) (2)氧气(或O2) (3)舒张 Ⅰ

30.(1)2∶6∶1 (2)34.8%

31.(1)氯化钙(或CaCl2

(2)解:设参加反应的碳酸钙的质量为m。

碳酸钙的质量分数=9g÷10g×100%=90% 答:碳酸钙的质量分数为90%。 (3)第3次实验加入20克稀盐酸充分反应后质量减少1.1g,第4次加入20克稀盐酸充分反应后只减少0.66克,说明石决明中的碳酸钙在第4次就已经反应完全,故不需进行第5次实验

32.(1)金属笔卡(或笔尾金属体) (2)0 (3)解:当人体两端的电压为6V时,通过的电流为允许通过人体的最大电流I=答:允许通过人体的最大电流为0.01A。

33.(1)氯酸钾已经分解完全,不再产生O2(只答“不再有氧气产生”不给分)

(2)解:设混合物中氯酸钾质量为m。

(3)

(3)R3

35.原理:1.红磷燃烧消耗氧气,不会与空气中其他物质反应。2.氧气和红磷反应后生成的五氧化二磷为固体,占用空间与原来氧气比非常小,可以忽略不计。3.消耗氧气后,瓶内气压减小,由于内外压强差,水被压入集气瓶中。设计目的:1.加少量水是为了溶解五氧化二磷,并吸收反应放出的热量;2.加足量的红磷是为了使集气瓶中的氧气反应完;3.夹紧止水夹,燃烧匙中的红磷点燃后快速伸入集气瓶是为了防止瓶内的气体逸出,影响实验结果。(或“等火焰熄灭后振荡是为了让瓶内温度快速恢复至室温。”阐述其他合理的设计目的均可)

东阳市期末测试卷

1.B 解析:现在被列入空气污染指数的项目有:二氧化硫、一氧化碳、二氧化氮、臭氧和可吸入颗粒物或总悬浮颗粒物,二氧化碳不属于空气污染物,故选B。

2.A 解析:A正确;B项,铁屑分布情况显示条形磁体两极磁性最强,中间磁性最弱,B错误;C项,地磁南极在地理北极附近,地磁北极在地理南极附近,悬挂起来的磁体受到地磁场的作用,静止时,磁体的北极应指向地磁南极,即地理北极附近,C错误;D项,磁体具有吸铁性,铁棒靠近小磁针,即使铁棒没有磁性,小磁针也会吸引铁棒,D错误。

3.A 解析:由图知粒子c为质子,粒子a为电子,粒子b为中子,质子数决定元素的种类,A正确;原子的质量主要集中在原子核上,即粒子b和c 上,B错误;原子中质子数和中子数不一定相等,即b和c的数目不一定相同,C错误;原子中中子数和电子数不一定相等,即a 与b 的数目不一定相同,D错误。

4.D 解析:根从土壤中吸收的是水和无机盐,并输送到植物体的各个器官,A错误;花瓣一般不含叶绿体,不能进行光合作用,B错误;树皮中没有叶绿体,无法进行光合作用,C错误;有机物是植物的叶通过光合作用制造的,在早春时节,当樱花树的叶片还没有长出来时,有机物来自上一年叶通过光合作用制造并储存在树干的,在开花时通过筛管输送到花瓣,D正确,故选D。

5.C 解析:四氢大麻酚由四氢大麻酚分子构成,一个四氢大麻酚分子由21个碳原子、30个氢原子和2个氧原子构成,一个四氢大麻酚分子中碳、氢、氧原子的个数比为21∶30∶2,故C正确,A、B错误;四氢大麻酚的相对分子质量为314,单位不是“克”,D错误。

6.B 解析:家里断路器跳闸后,应先检查并修复电路故障,之后再合上断路器恢复供电,A错误;B正确;家庭电路中,三孔插座接地线,在人接触漏电的用电器时,地线可以把人短路,避免发生触电事故,所以一定不能把用电器的三脚插头改为两脚插头接在两孔插座上使用,C错误;用电器失火时,应先切断电源,再用灭火器灭火,D错误。

7.C 解析:纯净物由一种物质组成,所以①洁净的空气和⑥硫酸铜溶液不是纯净物,②冰水混合物、③氯化钾、④高锰酸钾、⑤氮气都是纯净物,故按是否为纯净物应分为分类一:①⑥,分类二:②③④⑤,C错误,故选C。

8.C 解析:植物“喝水”的主要部位是根尖的成熟区,A 错误;“喝”进的水沿着根、茎、叶中的导管运送到植物各处,筛管运输的是有机物,B错误;无机盐溶于水中,因此“喝水”时,无机盐会“搭便车”,“跑”到植物的各个部分,C正确;听到“喝水”声时,叶片气孔排出的气体可能是水蒸气、二氧化碳或氧气,D错误。

9.B 解析:闭合开关S后,由安培定则可知电磁铁下端为N极,A错误;对调电源的正负极后,电磁铁下端变为S极,与条形磁铁的N极相吸引,条形磁铁对地面的压强减小,B正确;当滑片P 向a 端移动时,电路中的电阻减小,电流增大,所以电磁铁的磁性增强,由于同极相斥,所以条形磁铁对地面的压强增大,C、D错误。

10.A 解析:水发生反应生成氢气和氧气,反应物是一种,生成物是两种,属于分解反应,A正确;分子是保持物质化学性质的最小微粒,所以保持水化学性质的最小微粒是水分子,B错误;一个化学反应可以有不止一种催化剂,C错误;催化剂在化学反应前后的物理性质可能改变,质量和化学性质都不发生改变,D错误。

11.B 解析:在移栽植物时,往往要剪掉大量枝叶,以降低蒸腾作用,减少水分的散失,提高成活率,A 错误;带土移植可以保护幼根和根毛,提高成活率,B正确;给植物在树皮部位“吊瓶”输液是为了提供充足的营养物质,提高成活率,C错误;含氮、磷、钾的化肥应适量施用,D错误。

12.A 解析:在密闭装置内点燃足量红磷,由于温度升高而使装置中的气体压强增大,随着红磷的燃烧,被消耗的氧气也增加,从而使瓶中压强降低,至氧气被消耗尽并且装置冷却后,装置内的压强不再改变,A正确;加热高锰酸钾固体后会分解产生锰酸钾、二氧化锰和氧气,因此二氧化锰的质量是由0开始增加,至高锰酸钾分解完全后,二氧化锰质量不再改变,B错误;石灰石与稀盐酸反应会放出二氧化碳,二氧化碳质量会随盐酸的不断加入而逐渐增加,直至石灰石与盐酸完全反应后不再增加,即反应生成二氧化碳的质量并不是随着稀盐酸的质量增加而一直增加的,C错误;加热氯酸钾和二氧化锰的混合物时,二氧化锰是催化剂,质量不变,氯酸钾分解生成氯化钾和氧气,固体总质量减少,所以固体中二氧化锰质量分数会增大,当氯酸钾完全分解,二氧化锰的质量分数达到最大,然后不变,D错误。

13.D 解析:适当降低pH 后,反应速率会变慢,但最终生成的气体量不会改变,A不符合题意;土豆片中的过氧化氢酶只是起到催化作用,减少土豆片的数量会降低反应速率,不会改变最终生成的气体量,B不符合题意;适当提高温度同样会降低反应速率,但不改变最终生成的气体量,C不符合题意;减少过氧化氢的体积和浓度会降低反应速率,同时也会降低最终生成的气体量,D符合题意,故选D。

14.D 解析:由于灯泡一直能正常发光,说明电路中存在断路故障,用测电笔分别测试三孔插座的左右两孔,氖管均不发光,说明从火线到插座之间存在断路,所以可能是AB间断路,故选D。

15.B 解析:根据质量守恒定律计算可得m4=15+24+8-8-30=9,A错误;根据表中物质质量的增减可知A、B为反应物,C、D为生成物,反应后生成C的质量为30-8=22,生成D的质量为9,因此生成物的质量比为22∶9,B正确;由于生成物的质量比为22∶9,所以反应中(m3-8)∶4.5=22∶9,可得m3=19,所以m1+m2=47-19-4.5=23.5,反应中A和B的消耗量为15+24-23.5=15.5,A 和B消耗量的比为(15-8)∶(24-0)=7∶24,所以反应中A消耗了15.5×=3.5,m1=15-3.5=11.5,C错误;反应后A物质还有剩余,所以A物质未完全反应,D错误。

16.(1)质子数 (2)22

17.(1)大于 (2)b点之前

18.(1)构建密闭体系 (2)B

19.(1)55% (2)水和酒精汽化吸热,温度没有达到棉布的着火点

20.电动机 改变

21.

22.(1)吸气 (2)舒张

23.(1)5.11×105(511111) (2)丙

24.(1)保卫细胞有叶绿体,表皮细胞没有叶绿体(有无叶绿体)

(2)叶肉细胞

25.(1)矿物质颗粒 (2)②③①④

26.(1)光照 阳光下 (2)酒精 (3)B

27.(1)大理石或石灰石(写出一个即可) (2)Ca(OH)2+CO2===CaCO3↓+H2O (3)紫色石蕊试液 (4)0.7 CO2能与氢氧化钠溶液反应(写化学方程式也可)

28.(1)铁棒的数量(写铁棒的有无得1分) (2)弹簧伸长的长度 (3)移动滑片,使电流表示数与第一次实验相同

(4)在线圈匝数和电流大小相等时,插入铁棒数目越多通电螺线管磁性越强(合理即可)

29.(1)增大 减小 (2)g (3)向左移

30.(1)C (2)注射器Ⅱ活塞回到原位置 (3)交替推动两注射器的活塞 (4

31.(1)红 (2)壤土类 (3)C∶H∶O=180∶11∶96(只写比值不给分) (4)解:28.7×=18g

答:28.7克花青素中含有18克碳元素。

32.(1)A (2)ABC (3)解:氧气的质量为17g-12.2g=4.8g设反应生成的氯化钾的质量为x。

答:生成氧气的质量为4.8g,剩余固体中氯化钾的质量为7.45g。

33.(1)5.28

(2)解:设20g样品中碳酸钙的质量为x。

(3)解:设烧杯①中参加反应的HCl的质量为y。

34.(1)减小 (2)b (3)解:由图乙可知,当光强为6cd时,光敏电阻的阻值为5Ω R0=60Ω-5Ω=55Ω

35.(1)植物进行光合作用消耗二氧化碳,进行呼吸作用产生二氧化碳(写文字表达式也可)。密闭容器内的二氧化碳含量是由光合作用强度和呼吸作用强度决定的。AB段表示0~6时,光合作用强度小于呼吸作用强度,二氧化碳浓度增加,曲线呈上升趋势;6时,光合作用强度等于呼吸作用强度。BC段表示6~18时光合作用强度大于呼吸作用强度,二氧化碳浓度下降,曲线呈下降趋势;18时,植物的呼吸作用强度等于光合作用强度。 (2)需更换水槽内的培养液是因为植物的生长需要从培养液中吸收水和无机盐;向培养液中通___入空气是为了保证根细胞的正常呼吸。

温州市期末测试卷

1.B 解析:用新能源汽车替代传统的燃油汽车可以减少二氧化碳的排放量,A项不符合题意;燃煤发电会产生大量的二氧化碳,B项符合题意;开发无污染能源可以减少二氧化碳的排放量,C项不符合题意;植树造林可以增加二氧化碳的吸收量,减少空气中二氧化碳的含量,D项不符合题意。

2.D 解析:由表可知,应适当增加含磷化合物,所以应适当增加Ca3(PO32,故选D。

3.D 解析:由化学式C5H9NO4可知,氢元素的质量分数最小,故选D。

4.A 解析:因为GaN中N元素的化合价为-3,根据化合物中正负化合价代数和为0可知,Ga元素的化合价为+3,故选A。

5.C 解析:碳-14的质子数为6,原子中核电荷数=核内质子数=核外电子数,则其核外电子数为6,14是相对原子质量,相对原子质量=质子数+中子数,则中子数=14-6=8,故选C。

6.B 解析:用实验验证月球土壤中含有可溶性无机盐的方法是将土壤浸出液进行蒸发,根据蒸发皿中有晶体析出可得出月球土壤中含有可溶性的无机盐,故选B。

7.B 解析:由图可知实验前氧气体积分数约为80%,不是纯净的,A错误;由于20秒之后氧气体积分数不再降低,可知铁丝在20秒左右停止燃烧,B正确;铁丝不再燃烧时,瓶内氧气并未被耗尽,C错误;铁丝停止燃烧后,氧气体积分数保持一定,D错误。

8.A 解析:拨动金属弦后,金属弦做切割磁感线运动,由机械能转化为电能,故选A。

9.B 解析:导管位于木质部,筛管位于韧皮部,导管的主要功能是运输水分和无机盐,导管是植物从根尖向芽尖输送水分和养分的部分,故变红的部分是含有导管的木质部,故选B。

10.D 解析:排出异物时,人体处于呼气状态,此时膈肌舒张,肺内气压大于外界气压,故选D。

11.A 解析:1个甲醛分子是由1个碳原子、2个氢原子和1个氧原子构成的,故甲醛分子中碳、氢、氧原子个数比为1∶2∶1,A正确;甲醛由甲醛分子构成,分子由原子构成,甲醛分子由碳、氢、氧三种原子构成,B、D 错误;相对分子质量单位是“1”,不是“克”,常省略不写,C错误。

12.D 解析:火柴头先燃烧只能说明火柴头的着火点比火柴梗低,故选D。

13.A 解析:三孔式插座中间插孔接地线,起保护作用,A符合题意;铜丝熔点高,在电流过大时,产生的热量不易达到熔点,因此不会熔断,起不到保护电路的作用,B不符合题意;湿手触摸开关,易引起人体触电,C不符合题意;在高压线旁放风筝,风筝容易挂在高压线上,导致放风筝的人触电,D不符合题意。

14.C 解析:由于小磁针受到地磁场的作用,要指南北方向,为了观察到明显的偏转现象,应使电流产生的磁场方向为东西方向,故应把直导线南北放置,故选C。

15.C 解析:高锰酸钾受热分解成锰酸钾、二氧化锰和氧气,随着反应进行,二氧化锰质量增大,A错误;反应前氧气质量为0,B错误;高锰酸钾质量不断减少,完全反应后其质量为0,C正确;反应前锰酸钾质量为0,随着反应进行,其质量增大,D错误。

16.(1)① (2)大于

17.(1)化合 (2)② (3)CO2+H2O=H2CO3

18.(1)7∶2 (2)吸热反应

19.(1)a (2)③

20.(1)H2O (2)第①种方法更好,去除CO2的同时能产生O2,实现资源循环利用

21.(1)玻璃钟罩中汞液面不再上升(曲颈甑中红色固体不再增加等) (2)密封装置;与氧气反应 (3)14%

22.(1)b、c (2)滤纸A红色先褪去(滤纸A褪色时间比B褪色时间短) (3)在容器中高低不同位置放置温度计测不同高度的温度

23.(1)细线与竖直方向夹角α大小 (2)线圈匝数一定时,电流越大,电磁铁磁性越强 (3)将滑动变阻器滑片P 向右移,使电流表示数为0.2A 时,记录细线与竖直方向夹角α4大小

24.(1)不正确,序号2、3实验,光照强度不变,随着时间变长,氧气浓度保持不变,说明光合作用未增强。 (2)答题要点:不透光塑料箱的选用;自变量的控制;光照强度的控制;氧气浓度的变化值比较。 满分示例:①采用如图装置,用不透明塑料箱遮光,用传感器测定氧气浓度;②闭合LED灯开关,测量光照强度记为E1,约100分钟后再次读出氧气浓度,得出氧气浓度增加值记为ΔP1;③其他条件不变,更换LED灯为白炽灯,闭合白炽灯开关,根据传感器示数调整亮度E2=E1,约100分钟后读出氧气浓度,得出氧气浓度增加值ΔP2,并与ΔP1进行比较。

25.(1)能 (2)反应刚开始时,白磷燃烧放出大量热,温度升高使气压增大的影响大于氧气体积分数减少使瓶内气压减小的影响,瓶内气压增大,外界气压不变,针筒活塞上移,气体体积变大

26.答题要素:“剃头”处理与蒸腾作用关系;保留土壤的目的是保护树木的根;傍晚移栽减弱蒸腾作用;“管子”确保根部呼吸作用正常进行。 满分示例:将植物“剃头”能减弱植物的蒸腾作用,减少水分的散失,保持正常生命活动。移栽时保留土壤减少了根部损伤,确保移栽后植物根能正常吸收水分,避免缺水枯萎。干燥天气在傍晚移栽并适当浇水,能够减弱植物的蒸腾作用导致的水分散失,为植物补给水分。在多雨天气插入“管子”能防止植物根部因黏土类土壤中水分过多无法正常呼吸而腐烂,“管子”也能为根部提供呼吸所需的氧气。以上的处理可大大提高移栽的成活率。

27.(1)钙元素 (2)第④次加入稀盐酸后不再发生反应,故增加的质量等于加入的40克稀盐酸的质量

(3)解:设参加反应的碳酸钙质量为x。

答:该钙片中碳酸钙的质量分数为75%。

28.(1)减小 (2)解:已知U1=9V,I=3mA=0.003A,R0=1000Ω,R=U1/I=9V/0.003A=3000Ω,R=R-R0=3000Ω-1000Ω=2000Ω。 答:光敏电阻R的阻值为2000Ω。 (3)BD

丽水市期末测试卷

1.C 解析:触摸开关时,应将湿手擦干,防止触电,C项不符合安全用电要求,故选C。

2.B 解析:氧气能供给呼吸,人类呼吸离不开氧气,故选B。

3.D 解析:氮气表示为N2,A 错误;2个氯原子表示为2Cl,B错误;铝元素表示为Al,C错误;1个氢气分子表示为H2,D正确,故选D。

4.D 解析:具有生命现象的物体叫作生物,不具有生命现象的物体叫作非生物,蚂蚁、蚯蚓和植物都具有生命现象且生活在土壤中,都是土壤生物,某种生物遗体已不具有生命现象,属于非生物,故选D。

5.A 解析:在元素周期表中,左上角的数字表示原子序数,故该硅原子的原子序数为14,根据核外电子数=原子序数,可知该硅原子的核外电子数为14,故选A。

6.B 解析:植物的蒸腾作用把体内的水以水蒸气的形式蒸发到大气当中去,是一种“泵”的原理,它为根吸水提供了向上的拉力,同时溶解在水中的无机盐也一同被向上吸收和运输,动力都是来自植物的蒸腾作用,故选B。

7.A 解析:如图电路中有电源,是电动机工作原理图,是电能转化为机械能,工作原理是通电导体在磁场中受力而运动,故A错误,B、C、D正确,故选A。

8.D 解析:将土壤烘干后称重,加入蒸馏水溶解后过滤,将残渣烘干称重,与加入蒸馏水前的重量相比会减少,说明有无机盐溶于水中,造成重量差,故选D。

9.B 解析:相对分子质量不带单位,A错误;β-胡萝卜素的化学式为C40H56,其每个分子中的原子数为40+56=96个,B正确;β-胡萝卜素由碳元素和氢元素两种元素组成,每个分子由40个碳原子和56个氢原子组成,C错误;碳和氢元素的质量比为(12×40)∶(1×56)=60∶7,D错误。

10.C 解析:由前两幅图可知,的碳原子的相对原子质量为1,由第3幅图知1个A 原子的相对原子质量等于14个的碳原子的相对原子质量,∴A 原子的相对原子质量约为14,故选C。

12.D 解析:烧木柴时把木柴架空,是为了使木柴与空气充分接触,增大可燃物与氧气的接触面积,使木柴燃烧更充分。D选项解释不合理,故选D。

13.B 解析:将新鲜菠菜在暗处放置一晚上,菠菜会进行呼吸作用产生二氧化碳,二氧化碳能使澄清石灰水变浑浊,B正确;该实验无法证明呼吸作用会消耗氧气,A错误;新鲜菠菜用开水烫5分钟后会失活,无法进行呼吸作用,观察不到任何实验现象,C错误;在暗处放置一晚上的目的是让菠菜进行呼吸作用,D错误。

14.B 解析:A项,当两块磁力片磁体N极和N极、S极和S极靠近时不易吸引,不合理;B项,两块磁力片从任意角度和位置靠近时总会N极和S极相吸引,合理;C、D项,两者相似,当N极和N极、S极和S极靠近时不会吸引,不合理。

15.C 解析:二氧化锰催化双氧水溶液分解成水和氧气,所以刚开始溶液中氧元素质量不断下降,当双氧水溶液完全分解后,溶液中的氧元素质量将不再改变,但溶液中有水,水中也有氧元素,故氧元素质量不会降至零,故选C。

16.(1)单质 (2)+4 (3)氧(或O)

17.(1)电磁感应 (2)铜质

18.(1)A (2)BC

19.(1)酒精灯 (2)①③(或①④)

20.(1)根尖 (2)D

21.

22.(1)+ (2)

23.(1)大于(或>) (2)元素 (3)AB

24.(1)浸没长颈漏斗下端管口 (2)AB

25.(1)吸起大头针数量的多少 (2)左 (3)大头针被磁化,同一端的磁性相同,同名磁极相互排斥

26.(1)下表皮 (2)保卫 (3)B

27.(1)② (2)A (3)科学模型在科学研究中起着重要作用,人类借助建立模型认识原子结构,逐渐接近本质(合理即可)

28.(1)呼吸 (2)二氧化碳(CO2) (3)植物光合作用制造了有机物(淀粉),当光合作用强于呼吸作用时,碘遇剩余的淀粉变蓝色(2分,只写光合作用得1分)

29.(1)将气球中的大理石粉末倒入锥形瓶中 (2)气球受到浮力(或装置漏气) (3)A

30.(1)3 (2)C2H6O (3)解:乙醇中氧元素的质量分数:O/C2H6O=16/(12×2+1×6+16)=8/23 46克乙醇中氧元素的质量:46克×8/23=16克 答:46克乙醇中氧元素的质量是16克。

31.(1)D (2)L2

32.(1)11

(2)解:设样品中CaCO3的质量为x。

100/44=x/11克 x=25克 碳酸钙质量分数为:25克/50克×100%=50% (3)偏大

33.(1)5000 (2)

(3)解:当衔铁刚好被吸住,控制电路中R1与R2串联,I=20毫安=0.02安,根据I=U/R 得:R=U/I=8伏/0.02安=400欧,由R=R1+R2得:R2=R-R1=400欧-200欧=200欧,从图乙可知此时受到的压力F=9000牛,由F=G=mg得m=F/g=9000牛/(10牛/千克)=900千克>800千克,所以,电梯厢内站立总质量为800千克的乘客时,电梯不超载。(其他合理解法,同样给分)

34.___________________________________________________

衢州市期末测试卷

1.C

2.A 解析:B、C、D选项都属于模型,故选A。

3.C 解析:H2O表示1个水分子中含有2个氢原子,A 错误;S2-表示一个硫离子带有2个单位的负电荷,B错误;2OH-表示氢氧根离子的个数为2,C正确;O2表示一个氧分子中含有2个氧原子,D错误。

4.A 解析:化合物是指由不同种元素组成的纯净物,A模型表示的是水,属于化合物;B模型表示的是水和氢气,属于混合物;C模型表示的是氧气和氢气,属于混合物;D模型表示的是氢气,属于单质,故选A。

5.B 解析:实验室常用大理石或石灰石与稀盐酸反应来制取二氧化碳气体,A正确;使用长颈漏斗时,需要使长颈漏斗下端插入液面以下,形成液封,防止生成的气体从漏斗逸出,B错误;CO2的密度比空气大,可使用向上排空气法收集,C正确;向烧杯里倾倒CO2,观察到蜡烛火焰自下而上熄灭,可比较出CO2密度比空气大,D正确。故选B。

6.D 解析:图中甲为树皮,乙为形成层,丙为髓,丁为木质部,因为星天牛幼虫寄生在木质部,故选D。

7.A 解析:葡萄干模型是1897年由汤姆生提出的,原子核式模型是1911年由卢瑟福提出的,而现代科学家认为电子云模型更符合实际,故先后顺序为①③②,故选A。

8.B 解析:一株小麦幼苗剪去根尖,另一株不做处理,其余条件均相同,所以该实验是为了研究根吸水的部位,故选B。

9.A 解析:当导体中通过电流时,通电导线在磁场中受力的作用而运动,是电能转化为机械能,与自动爆玻器工作原理相同,A正确;通电导体使小磁针发生偏转,说明通电导体周围存在磁场,是电流的磁效应,B错误;C项说明磁极间的相互作用,异名磁极相互吸引,C错误;D项说明闭合电路中的一部分导体做切割磁感线运动时,会产生感应电流,是机械能转化为电能,D错误。

10.B 解析:火柴头先燃烧是由于火柴头的着火点比火柴梗低,故B正确;火柴梗还未燃烧是因为没达到火柴梗的着火点,故A、C错误;着火点是物质的一种属性,无法改变,故D错误。

11.D 解析:肺泡周围分布着丰富的毛细血管,有利于气体交换,A正确;肺泡壁和毛细血管壁都很薄,只由一层上皮细胞构成,B正确;根据肺泡内的气体交换可知,肺泡内的氧气会不断扩散到毛细血管进入血液,血液中的二氧化碳也会不断扩散到肺泡内,所以肺泡内的氧气浓度高于毛细血管内的氧气浓度,C正确;肺泡内的二氧化碳浓度低于毛细血管内二氧化碳的浓度,D错误,故选D。

12.B 解析:右手握拳,大拇指指着电流方向,四指方向即是磁感线方向,越靠近通电直导线,磁性越强,磁感线分布就越

密,故选B。

13.C 解析:金属镁与稀盐酸反应会放出热量,有明显能量变化,A不符合题意;生石灰与水反应放出大量的热,有明显能量变化,B不符合题意;二氧化碳和水反应生成碳酸的过程中没有明显的能量变化,C符合题意;氢氧化钡固体与氯化铵固体反应会吸收热量,有明显能量变化,D不符合题意。

14.B 解析:若装置漏气,实验后玻璃瓶中的压强偏大,流入玻璃瓶中的水的体积偏小,会使测量结果偏小,A错误;若铁粉太少,则玻璃瓶中的氧气消耗不完全,实验后玻璃瓶中的压强偏大,流入玻璃瓶中的水的体积偏小,使测量结果偏小,B正确;因为该反应放热,会使气体体积膨胀,在温度最高时打开止水夹,会使进入玻璃瓶的水的体积偏小,会导致测量结果偏小,所以须等温度计示数恢复到实验前的温度才可打开止水夹,C错误;玻璃瓶中的空气被消耗了大约200mL×21%=42mL,所以量筒内的液面降至约100mL-42mL=58mL刻度线,D错误。

15.D 解析:由图可知,反应后甲的质量增加,丙和丁的质量均减少,乙的质量未变,所以该反应是丙和丁反应生成了甲,为化合反应,A错误;由反应前到t2时刻,丙的质量减少了15-7=8g,丁的质量减少了26-2=24g,所以反应中丙、丁的质量的变化量之比为8∶24=1∶3,B错误;由反应前后质量守恒可知,t1时刻丙、丁剩余总质量为15+26+3-11=33g,所以反应至t1时刻丙、丁共消耗了15+26-33=8g,所以t1时刻丙物质的质量为,C错误;由于甲物质是由丙、丁物质反应生成的,所以丙、丁物质所含元素种类与甲相同,D正确,故选D。

16.Cu2+H2SO4

17.(1)金属 (2)质子数

18.(1)叶绿体 (2)乙

19.(1)+1价 (2)O2

20.(1)① (2)探究细胞吸水和失水的原理

21.(1)甲 火 (2)灯泡断路

22.(1)钢针有磁性,a端为N极 (2)a端靠近S极

23.(1)A (2)水分是从下往上运输的,越往上染色就越浅。

(3)枝条中染色部位的长度

24.(1)左 (2)电磁铁磁性强弱与电流方向无关 (3)不赞同,应保证改变线圈匝数前后通过电磁铁的电流大小相等。

25.(1)毛细刻度管内液滴的移动速度 (2)8.24 (3)通过减少水面的光照强度来减弱浮游藻类的光合作用,从而降低浮游藻类的繁殖速度,达到减少浮游藻类数量的目的

26.(1)观察MnO2是否会和水发生反应 (2)MnO2在双氧水分解实验中只起到催化作用。 (3)称量后再次向蒸发皿中滴加适量双氧水,将漏斗倒扣在蒸发皿上,并用带火星的木条检验氧气

27.①选用无色的棚膜,可增加透光性,提高光合作用的效率,进而提高蔬菜产量;②通气透水的土壤有利于蔬菜根的呼吸作用和吸水作用;③微生物可将有机物分解为无机盐,增强土壤肥力,并且微生物的呼吸作用可产生二氧化碳,增加植物光合作用的原料;④适时给大棚通风,可让棚内外进行气体交换,同时降低棚内温度和湿度,防止病虫害发生;⑤合理密植可以充分利用光照和土地,提高蔬菜产量。28.(1)不属于 (2)0.32g

29.(1)90 (2)AB 端 (3)BC

30.(1)1.76

(2)解:设牙膏样品中碳酸钙的质量为xg。答:牙膏样品中碳酸钙的质量分数是50%。

31.(1)开关 (2)不能 (3)解:通过人体的 电流I3==0.04A=40mA,∵40mA>30mA,∴该漏电保护器能及时断开电路。