§6.4 强解:存在唯一性
2026年01月14日
§6.4 强解:存在唯一性
在本节中,我们将介绍强解存在唯一性的基本结果.由定义,强解必是(弱)解.我们将证明在系数满足整体Lipschitz条件下的一个存在唯一性结论,证明基于两个不等式:Gronwall不等式与Doob的Lp-不等式.
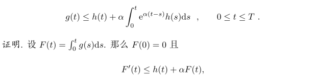
引理6.4.1 (Gronwall)如果一个非负函数满足积分方程

其中α≥0是常数且h:[0,T]→R是可积函数,那么

故
![]()
对这个微分不等式积分,我们得到

因此有

这推出Gronwall不等式.
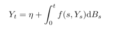
考虑下面的随机微分方程

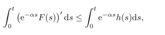
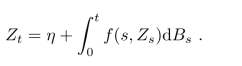
引理6.4.2 设(Bt)t≥0是(Ω,Ft,F,P)上实值标准Brown运动,且(Zt)t≥0与(˜Zt)t≥0是连续适应过程.设f(t,x)是一个Lipschitz函数
![]()
其中C是常数.
(1)如果

那么

(2)如果

那么

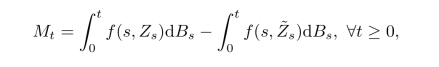
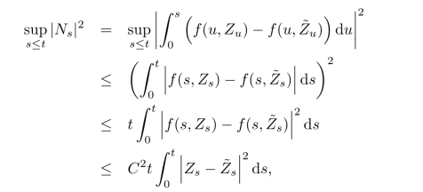
证明.为证明第一个结论,我们注意到

由Doob的L2-不等式,

接着证明第二个结论.事实上,
(https://www.daowen.com)
然后第二个不等式由Schwarz不等式推出.

与线性增长条件

如同常微分方程一样,我们通过Picard迭代构造逼近解:
![]()
且

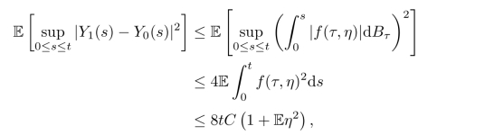
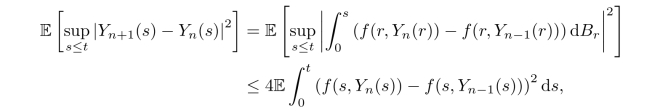
其中n=0,1,2,···.我们将证明对任何T>0,序列{Yn(t)}在[0,T]上一致地几乎处处收敛于一个解Y(t).注意到每个Yn都是连续平方可积鞅,故我们有

且对任何t≤T,

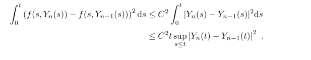
其中第二个不等式来自Doob的不等式.因为f是Lipschitz连续的,故而

结合前面的不等式,我们得到对任何t≤T,有

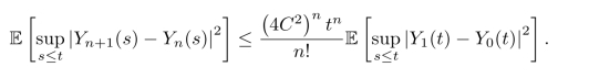
因此对任何t≤T,

特别地有

这可以推出

下面我们证明唯一性.设Y与Z是同一个Brown运动下的两个解,那么

且

如同在存在性的证明中那样,

由Gronwall不等式推出
![]()
注释6.4.1 .定理6.4.1 中构造的迭代Yn是Brown运动的函数,或者说Yn(t)仅依赖于初值η与(Bs:0≤s≤t).