§6.5 鞅与弱解
2026年01月14日
§6.5 鞅与弱解
考虑时间齐次的随机微分方程

按照(6.5.1)式,

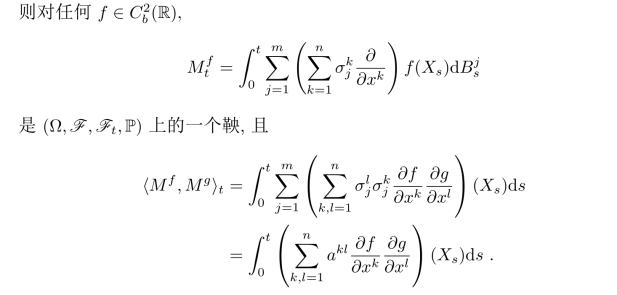
我们得到

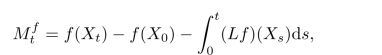
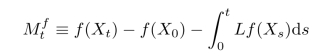
对任何f,定义


因此我们证明了下面命题.

在概率测度P下是鞅,其中L由(6.5.2)定义.

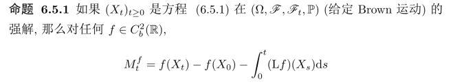
的强解且

在P下是一个鞅.另一方面,L´evy的鞅刻画定理证明了其性质:

定义6.5.1 设L是C∞(Rn)上线性算子,(Xt)t≥0是(Ω,F,Ft,P)上连续随机过程,那么我们说(Xt)t≥0与概率测度P一起是L-鞅问题的解,如果对任何f∈C∞b(Rn)

在概率测度P下是局部鞅.
因此方程(6.5.1)在概率空间(Ω,F,P)上的强解(Xt)t≥0是L-鞅问题的解,其中L由(6.5.2)给出且(https://www.daowen.com)

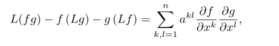
在概率测度P之下是鞅.更进一步,因为

故我们有

反过来,我们能够证明鞅问题的解就是方程的弱解.让我们考虑一维情况.
定理6.5.1 设b(·)与σ(·)是R上Borel可测函数且在任何紧集上有界,存在常数λ>0,使得λ-1≤σ(·)≤λ.设

是连续局部鞅,那么(Ω,F,P)上的(Xt)t≥0是方程
![]()
的解.
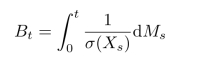
在这里我们只概述其证明.为了证明(Ω,F,P)上的过程(Xt)t≥0是一个弱解,我们需要构造一个Brown运动B=(Bt)t≥0使得

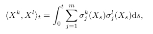
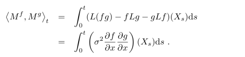
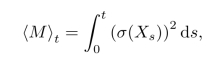
证明的关键是计算〈X〉t,结果为

特别地,如果我们选择坐标函数f(x)=x(这时写Mf为M),那么

这时由L´evy的鞅刻画定理推出

是一个Brown运动.显然(Xt,Bt)满足随机积分方程(6.5.4),因此(Xt)t≥0是方程(6.5.3)的解.