三、耕地地力评价

三、耕地地力评价

耕地地力评价,就是评价耕地的生产潜力,是一种一般目的的评价,并不是针对某种利用类型,而是根据耕地所在地特定气候区域,以及地形地貌、成土母质、土壤理化性状、农田基础设施等要素相互作用表现出来的综合特征,对其进行一系列的分析运算,从而揭示耕地生产能力的高低和潜在的生产能力。

(一)评价依据及方法

1.评价依据

保山市耕地地力评价的依据主要有:①《耕地地力调查与质量评价技术规程》(NY/T 1634—2008)(以下简称《规程》);②全国农业技术推广服务中心编著的《耕地地力调查与质量评价技术培训教材》(2005);③全国农业技术推广服务中心编著的《耕地地力评价指南》;④《全国耕地类型区、耕地地力等级划分》(NY/T 309—1996);⑤县域耕地资源管理信息系统数字字典。

2.评价方法

首先是收集有关保山市耕地情况资料,建立相应的耕地质量管理数据库,然后进行外业调查(包括土壤、植株样品的采集分析和农户的入户调查两部分)及室内化验分析;然后是确定评价指标及其在评价中的权重;最后,用GIS软件对调查的数据和图件进行数字化处理,再用ArcGIS软件进行插值等空间数据分析,形成评价单元图后利用扬州土肥站开发的《省级耕地资源管理信息系统》进行耕地地力评价,得出评价结果归入国家地力等级体系。保山市耕地地力评价技术路线详见下图:

图5-1 保山市耕地地力评价技术路线

(二)耕地地力评价步骤

1. 评价单元的形成

将数字化好的土壤图、土地利用现状图在ArcMap中叠加,生成一个新的面文件,经过删除不参与评价的地类图斑,并对结果图中的<10000m2碎小图斑进行处理、属性字段赋值,确定保山市的评价单元基本图斑。

2. 评价单元赋值

根据各评价因子的空间分布图或属性数据库,对其进行插值转换为栅格图,通过加权统计对评价单元赋值,从而将各评价因子的数据赋值给评价单元。对点位分布图,采用插值(或赋值)的方法将其转换为栅格图,再与评价单元图叠加,通过加权统计给评价单元赋值;对矢量分布图(如土壤质地分布图),将其直接与评价单元图叠加,通过加权统计、属性提取给评价单元赋值;对线形图(如等高线图),使用数字高程模型,形成坡度图、坡向图等,再与评价单元图叠加,通过加权统计给评价单元赋值。

首先,将经过卫星定位仪定位的测土配方施肥核心采样点坐标、全测12项指标的分析化验结果数据等录入Excel表格;然后在ArcMap下通过WGS80坐标的经纬度数值生成点位图。将土壤养分化验结果数据通过插值的方法转换为栅格图,之后分别与评价单元图进行叠加,将数值赋值到评价单元上。

(1)插值方法介绍

在进行空间插值计算工作中,常用的插值方法有:反距离加权(Inverse Distance Weighted-IDW)插值法、球面多项式插值(Global Polynomial Interpolation-GPI)和Kriging插值法等。

反距离加权(Inverse Distance Weighted-IDW)插值法是一种与空间距离有关的插值方法,在计算插值点取值时按距离越近权重值越大的原则,用若干临近点Si的线性加权来拟合估计点S0, 如式所示:

式中(s0)为附加点的估计值,Z(Si)为i处的实际观测值,λi为权重值,d(Si,S0)是指第i个观测点与估计点间的距离,指数p用来控制权重值随距离变化的速度,当指数增加时距离远的观测点权重值则会下降,p的取值范围一般为1、2、3,其中2最为常用。

球面多项式插值(Global Polynomial Interpolation,GPI),该方法是使曲面尽量接近插值点,使用最小平方回归可得到这个曲面,使增加值和该曲面之间的方差最小;局部多项式插值(Local Polynomial Interpolation,LPI),该方法仅用给定搜索临域内所有点插值出适合特定阶数的多项式,局部多项式插值产生的曲面更多依赖于局部的变异;样条插值法(Spline),该方法以最小曲率面充分逼近各观测点,似一个弯曲的橡胶薄板通过各观测点同时使整个表面的曲率最小,理论上采用高阶多项式进行插值估计可得到高阶平滑结果,但在实际研究中较多采用二阶多项式估值。

Kriging插值方法是地统计中最为常用的插值方法,它是利用原始资料和半方差函数的结构性,对未采样点的区域化变量进行最优无偏估值的一种方法,它对各观测点的权重确定是通过半方差图分析获取的。作为一种加权移动平均的内插方法,其主要优点是能得到内插计算中产生的独立误差的估值,且由已知点内插估计点间土壤特性空间相关性,具有较好的内在关联属性和精确性。

结合保山市实际情况及对插值精度的要求,本次插值采用的是Kriging插值方法。

在ArcGIS软件中克里格插值方法包括简单克里格(simple kriging,SK)、普通克里格(ordinary kriging,OK)、泛克里格(usually kriging,UK)、析取克里格方法(Disjunctive Kriging,DK)、协同克里格方法(Co-Kriging,CK)等,其中Ukrig包括指数模型(exponential)、球形模型(spHerical)、高斯模型(gaussian)、静态模型(stable)等。通过对各插值方法的插值误差对比,最终选择Disjunctive Kriging方法进行插值。

将需要插值的数据利用Kriging插值方法进行插值计算,之后再对插值结果进行扩展及边界切割,将数据输出成栅格图层。最后将其与评价单元图层进行叠加分析,将数据挂接到评价单元上,得到的就是插值后的挂接结果,也就是用于耕地地力评价的最终评价单元图。

(2)评价指标的确定

①评价因子的确定

考虑评价成果的全市可比性及其汇总,根据《规程》规定的全国耕地地力调查评价因素表及保山市耕地的具体实际,保山市耕地地力评价因子由灌溉保证率、排涝能力、轮作制度、高程、坡度、地形部位、成土母质、耕层厚度、剖面构型、pH值、质地、有机质、有效磷、速效钾、有效锌、≥10℃积温、年降水量、无霜期18项评价指标构成。确定各评价因子的权重后,采用特尔斐法与层次分析法相结合的方法确定各评价因子权重。

②评价因子隶属度的确定

评价因子对耕地地力的影响程度是一个模糊性概念问题,可以采用模糊数学的理论和方法进行描述。隶属度是评价因素的观测值符合该模糊性的程度(即某评价因子在某观测值时对耕地地力的影响程度),完全符合时隶属度为1,完全不符合时隶属度为0,部分符合时隶属度为0~1的任一数值。隶属函数则表示评价因素的观测值与隶属度之间的解析函数。根据评价因子的隶属函数,对于某评价因子的每一观测值均可计算出其对应的隶属度。本次评价中,保山市选定的评价指标与耕地生产能力的关系分为戒上型函数、戒下型函数、峰型函数及概念型4种类型的隶属函数。概念型的如:质地直接赋于每一级打分;数值型的应用SPSS统计软件建立隶属函数,获取分值。

以下是各个评价指标隶属函数的建立和标准化结果:

a.土壤pH值:衡量土壤酸碱度的指标,属数值型,峰型,无量纲。

专家评估:

建立隶属函数:

Y=1/[1+a×(u-c)2] a=0.12 c=6.53 ut1=-2.2 ut2=15.26

b.有机质:反映耕地土壤耕层有机质含量的指标,属数值型,戒上型,量纲表示为g/kg。

专家评估:

建立隶属函数:

Y=1/[1+a×(u-c)2] a=0.0003 c=72.91 ut1=-105.42 ut2=72.91

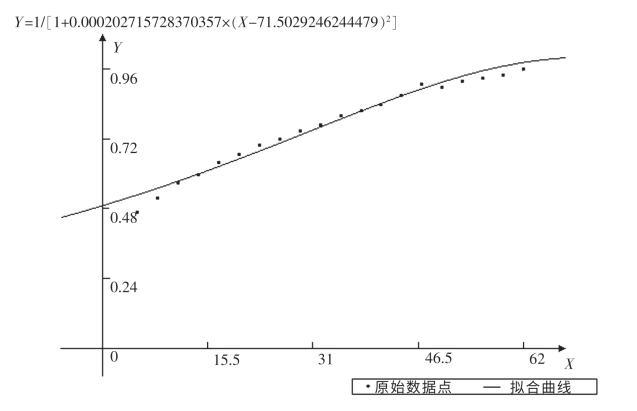
c.有效磷:反映耕地土壤耕层供磷能力的指标,属数值型,戒上型,量纲表示为mg/kg。专家评估:

建立隶属函数:

Y=1/[1+a×(u-c)2] a=0.0002 c=71.50 ut1=-139.06 ut2=71.50

d.速效钾:反映耕地土壤耕层供钾能力的指标,属数值型,戒上型,量纲表示为mg/kg。

专家评估:

建立隶属函数:

Y=1/[1+a×(u-c)2] a=0.00002 c=275.11 ut1=-452.5 ut2=275.11

e.有效锌:反映耕地土壤耕层微量元素锌供应水平的指标,属数值型,戒上型,量纲表示为mg/kg。

专家评估:

建立隶属函数:

Y=1/[1+a×(u-c)2] a=0.03 c=5.84 ut1=-12.92 ut2=5.84

f.≥10℃积温:为反映一年内总有效平均气温的累加数值。属数值型,戒上型,量纲表示为℃。

专家评估:

建立隶属函数:

Y=1/[1+a×(u-c)2] a=0.000001 c=7761.03 ut1= 4761.03 ut2= 7761.03

g.年降水量:为反映一年内总降水量的气象指标,属数值型,峰型,量纲表示为毫米。

专家评估:

建立隶属函数:

Y=1/[1+a×(u-c)2] a=0.000001 c=1397.99 ut1=-1602.01 ut2=4397.99

h.坡度:为反映耕地所在位置地形坡度的数值,属数值型,戒下型,量纲表示为度。

专家评估:

建立隶属函数:

Y=1/[1+a×(u-c)2] a=0.002 c= 0.17 ut1= 0.17 ut2=70.94

i.灌溉保证率:为反映耕地灌溉能力的数值,属数值型,戒上型,量纲表示为%。

专家评估:

建立隶属函数:

Y=1/[1+a×(u-c)2] a=0.0001 c=118.63 ut1=-158.73 ut2=118.63

j.耕层厚度:为反映土地耕作层厚度的数值,属数值型,戒上型,量纲表示为cm。

专家评估:

建立隶属函数:

Y=1/[1+a×(u-c)2] a=0.0005 c=46.05 ut1=-82.93 ut2=46.05

k.无霜期:反映耕地所在位置的无霜期的指标,属数值型,戒上型,量纲表示为d。

专家评估:

建立隶属函数:

Y=1/[1+a×(u-c)2] a=0.0001 c=379.64 ut1= -422.14 ut2=379.64

L.海拔:为反映耕地所在位置海拔的数值,属数值型,戒下型,量纲表示为m。

专家评估:

建立隶属函数:

Y=1/[1+a×(u-c)2] a=0.000001 c=1165.77 ut1=1165.77 ut2=4165.77

m.其他评价因子:其他因子均为概念型,直接由专家给出其隶属度值。

续表

③评价因子权重确定

根据《规程》和《方案》的要求,保山市耕地地力评价采用层次分析法(AHP)确定各评价因子权重。AHP法是将复杂问题的各个因素通过划分相互联系的有序层次使之条理化,再根据同决策者的对话,较客观地判断每一层次各因素相对重要性的定量表示,确定出每一层次相对重要性的权重值。各评价因子权重采用层次分析法进行计算,确定每一个评价因素对耕地综合地力的贡献大小。

a.层次分析。层次分析法是美国运筹学家Saaty于20世纪70年代提出的,是一种定性与定量相结合的决策分析方法。它是一种将决策者对复杂系统的决策思维过程模型化、数量化的过程。应用这种方法,决策者通过将复杂问题分解为若干层次和若干因素,在各因素之间进行简单的比较和计算,就可以得出不同方案的权重,为最佳方案的选择提供依据。

b.构建层次分析结构。即耕地地力的层次结构可由三个层次构成,即目标层,准则层和指标层。目标层即耕地地力的高低,准则层即耕地地力的系列构成要素(如土壤地学条件、土壤理化性状、土壤剖面状况和农田基本建设情况等要素),指标层即每一构成要素的评价指标。则耕地地力、构成要素和主要因子之间构成如表5-1的层次关系:

c.各层次要素权重系数计算。专家综合评定各层次指标对耕地地力的影响程度,分别对准则层和指标层各项指标进行权重打分。

表5-1 保山市耕地地力评价指标专家打分表

④进行层次分析

根据上述层次模型构造和权重打分,进行层次分析:

目标层判别矩阵:

特征向量:[0.43、0.21、0.14、0.11、0.10]

一致性检验通过!

准则层(土壤管理)判别矩阵:

特征向量:[0.60、0.22、0.18]

一致性检验通过!

准则层(立地条件)判别矩阵:

特征向量:[0.42、0.28、0.16、0.14]

一致性检验通过!

准则层(剖面与耕层理化性状)判别矩阵:

特征向量:[0.25、0.38、0.22、0.15]

一致性检验通过!

准则层(耕层养分状况)判别矩阵:

特征向量:[0.52、0.19、0.17、0.11]

一致性检验通过!

准则层(气候)判别矩阵:

特征向量:[0.55、0.29、0.16]

一致性检验通过!

层次总排序一致性检验

总排序一致性检验通过!

续表

利用加法模型,用计算出各评价单元耕地生产力综合指数

IFI=∑Fi×Ci (i=1,2,3,……,n)

式中:IFI(Integrated Fertility Index)代表地力综合指数;

F=第i个因素评语(隶属度);

Ci=第i个因素的组合权重。

利用保山市各评价单元耕地生产力综合指数和分级方案,划分保山市耕地地力等级。

表5-2 保山市耕地地力等级表

图5-2 保山市各等级耕地面积比例分布图

(三)耕地资源管理信息系统建立

1.属性数据库的建立

对收集的属性数据进行整理、检验,根据《耕地资源管理信息系统数据字典》规范进行编码、录入,并请专家审核,核实并修改其中不正确的属性数据,并将其中与平均值的偏差过大的异常值剔除。利用扫描的保山市土壤图、土地利用现状图进行数字化,并赋上相应的地类名称及土壤属性,通过拓扑检查、属性检查,最后生成保山市土壤图、土地利用现状图。借助GIS软件进行叠加分析形成评价底图,并建立相应属性数据库。利用保山市耕地地力样点调查分析数据和数字高程模型(DEM),采用克里格插值模型生成保山市耕层厚度、质地、有机质、pH、有效磷、缓效钾和有效锌等养分空间及其属性栅格数据库。借助采用趋势面分析结合反距离权重插值模型建立的保山市≥10℃积温与经、纬度和海拔的关系模型,利用保山市数字高程模型(DEM)推算建立保山市≥10℃积温空间及其属性栅格数据库。

2.空间数据库的建立

土壤图、土地利用现状图、基本农田保护区图和调查样点分布图是耕地地力调查与质量评价最为重要的基础空间数据,分别通过以下方法采集:将保山市土壤分布图、土地利用现状图扫描成栅格文件后,利用workstation通过图上坐标格网进行高精度的校正,建立工作空间和模板,借助GIS软件进行手动跟踪矢量化形成土壤图、土地利用现状图的矢量图层,其中图件扫描采用300dpi分辨率,以彩色TIFF格式保存(采用彩色格式保存与矢量化,利于对图上地类及土壤属性的判别,减少矢量化的错误率)。利用外业调查中采用GPS定位获取的调查样点经、纬度资料,借助GIS软件将经纬度坐标投影转换为北京54直角坐标系坐标,并与保山市1∶20万地形图相匹配,建立保山市耕地地力调查和质量评价调查样点空间数据库。对土壤养分等数值型数据,通过GPS定位生成点位图,再经过空间插值等方法产生各养分分布图。

其他资料的输入及处理。对专家打分的结果进行分项汇总、拟合,并利用《耕地资源管理信息系统》软件上提供的专题评价模块,进行隶属函数拟合,建立层次分析模型、隶属函数模型,为最终的耕地生产潜力评价做准备。