2.1 长度测量
【实验目的】
①学会游标卡尺、螺旋测微器和读数显微镜的正确使用。
②掌握测量长度、密度的基本方法。
③掌握有效数字的正确使用和测量不确定度的估算。
【实验原理】
1.游标卡尺
游标卡尺的结构如图2.1 所示。 有一最小分度为毫米的主尺A 和套在A 上可以滑动的游标尺B。 主尺左端有两个垂直于主尺长度的固定量爪D 和C,游标尺左端有两个垂直于主尺长度的活动量爪C′和D′,且有一测量深度的尾尺E。 C′、D′ 和E 都随游标尺一起移动。

图2.1 游标卡尺的结构
游标尺上有一个止动螺丝F,松开F 可使游标尺沿主尺滑动。 当量爪C 和C′密切接触(此时,D 和D′也密切接触,且尾尺E 的尾端恰与主尺的尾端对齐),主尺上的“0”刻线和游标尺上的“0”刻线也正好对齐。 外测量爪C,C′用于测量物体长度,内测量爪D,D′用于测量空心物体的内径。
使用游标卡尺时应该左手拿待测物,右手握尺,用拇指按游标尺上凸起部位,或推或拉,把物体轻轻卡住即可读数。 不要把被夹紧的待测物在量爪间挪动,以免磨损量爪。
游标卡尺的结构特点是游标上N 个最小分格的总长度与主尺上N-1 个最小分格的总长度相等。

测量方法:将待测物体放在游标卡尺的钳口之间,用大拇指推移游标尺使物体与钳口紧密接触,此时主尺的“0”线与游标的“0”线之间的长度就是待测物体的长度。 若游标的“0”线在主尺上的位置距主尺“0”线之间主尺上最小分格数为n,则物体长度毫米以上的整数值为ny。毫米以下的小数值从游标上读出,若游标的第k 条分格线与主尺上某一分格线对齐,游标读数为ky - kx = k
,则待测物体长度为
![]()
2.螺旋测微器
螺旋测微器也叫千分尺,其结构如图2.2 所示。 测微螺杆F 的右边连着螺距为0.5 mm的螺杆,螺母套筒B 与尺架C 相连,螺母套筒B 内刻有螺纹与测微螺杆F 配合。 螺母套筒B上有刻度,并刻有横线,横线上面(或下面)刻度线的最小分度值都是毫米,而上、下相邻两刻度线的间距是0.5 mm。 当微分套筒D 旋转时,带动测微螺杆向左或向右移动,微分套筒D 前端的筒面上沿着圆周刻有50 格分度,微分套筒D 旋转一周,测微螺杆F 移动0.5 mm,所以微分套筒D 每转一格分度,测微螺杆F 即转动0.01 mm,因此,微分套筒D 上的最小分度为0.01 mm,可估读到0.001 mm。 一般实验室常用的一级千分尺的仪器误差为0.004 mm。

图2.2 螺旋测微器结构图
使用千分尺时应先校正零点(或记下初读数)。 旋动微分套筒D,当测微螺杆F 将要接触测砧A 时,应转动微调旋钮D′ ,当听到“喀、喀”的声音时应停止转动,因为这时测砧A 和测微螺杆F 刚好接触但此时的微分套筒D 上的“0”线不一定与螺母套筒B 上的横线重合,记录此时微分套筒D 上的初读数。 应注意初读数有正、有负,测量长度时所得的读数再减去初读数后才是待测物的长度。
3.读数显微镜
读数显微镜是用来测量微小长度和微小距离的,它主要由3 部分组成: 低放大倍数的显微镜、微小测量长度部分(多分度的游标或螺旋测微器)和机械部分,如图2.3 所示。

图2.3 读数显微镜结构示意图
1—目镜;2—锁紧圈;3—锁紧螺钉;4—调焦手轮;5—镜筒支架;6—物镜;7—压片;8—载物平台;9—手轮;10—反光镜;11—基座;12—锁紧手轮Ⅰ;13—方轴;14—锁紧手轮Ⅱ;15—测微手轮;16— 标尺
显微镜装在一个由丝杆带动的镜筒支架上,这个支架连同显微镜安装在底座支架上。 物镜通过调焦手轮4、测微手轮15 上下左右移动。 底座上设有玻璃平台和压紧弹簧,可放置被测物体,底座中间装有反光镜10。 测微手轮15 同螺旋测微器的微分筒一样,均匀刻有100 个分度,转动测微手轮15 可以带动显微镜沿标尺16 左右移动,标尺的最小分度为1 mm。 测微手轮转动一周,显微镜沿标尺移动1 mm,手轮转动一个分度,移动的微小距离为1/100 mm,故可以准确读出1/100 mm,估读到1/1 000 mm。 有的读数显微镜测微手轮上没有分度,而用50或100 分格的游标代替标尺指示线。
读数显微镜的使用方法:
①按要求将物镜对准待测物体。
②调节显微镜的目镜到可清楚看到叉丝为止。
③旋转手轮,调节显微镜的焦距,使待测物体成像清楚。
④转动目镜,使叉丝竖线与待测物体的一个端面平行,并旋转测微手轮,使叉丝竖线对准被测件的起点(或与待测的孔径一点相切),并记下标尺的数值A,读数方法与螺旋测微器或游标卡尺相同。 沿同方向继续旋转测微手轮,使叉丝竖线与待测物体另一边终点线重合(或与待测孔径对称的另一点相切),并读出标尺指示的数值A′,两次读数之差ΔL ,即为待测物体的长度(或孔径的大小)。
【实验仪器】
游标卡尺、螺旋测微器、读数显微镜、铜圆柱体、小钢珠、细铜丝等。
【实验内容与步骤】
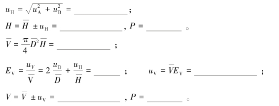
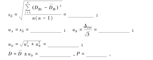
①用游标尺测铜圆柱体的高度和直径:取不同部位各测量6 次,求平均值和不确定度;计算体积V 及不确定度。
②用螺旋测微器测小钢珠直径:取不同部位各测量6 次,求平均值和不确定度。
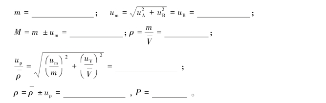
③测定铜圆柱体的密度:称量铜圆柱体的质量,然后依据步骤①中所测得的体积V 求出铜圆柱体的密度。(https://www.daowen.com)
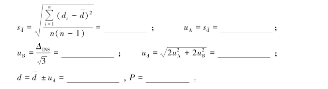
④用读数显微镜测细铜丝直径:取不同部位各测量6 次,求平均值和不确定度。
【数据处理与分析】
1.用游标尺测量铜圆柱体的高度和直径(表2.1)
表2.1 用游标尺测量铜圆柱体的高度和直径(ΔINS=0.02 mm)



2.用螺旋测微器测小钢珠的直径(表2.2)
表2.2 用螺旋测微器测小钢珠的直径(ΔINS=0.004 mm,D′=________)


3.计算圆柱体的密度

4.用读数显微镜测量细铜丝外径(表2.3)
表2.3 用读数显微镜测量细铜丝外径[d(mm)= A-A′,ΔINS = 0.004 mm]


【课后讨论】
1.注意事项
①游标卡尺测量前要检查零点。
②螺旋测微器测量前要校正零点,测量完毕后,应使螺旋杆与测砧的测量面之间留出一定间隙,以免因热膨胀而损坏螺纹。
③读数显微镜调焦时,应使镜筒移离待测物体,绝不能使镜筒向下移近待测物体,以免砸坏物镜;测量中,测微鼓轮只能向一个方向转动,以减小回程差对测量的影响。
2.课后讨论题
①游标卡尺、螺旋测微器如何进行零点校准?
游标卡尺校正零点:松开紧固螺钉,轻推尺框,使卡尺两个量爪的测量面紧密接触,观察卡尺读数,若不为“0”,记下读数,以便修正测量值(加上或减去)。
螺旋测微器校正零点:缓慢转动棘轮旋柄,使螺旋杆与测砧的测量面逐渐合拢,听到“得”的声响即可。
②实验过程中应怎样减小螺旋测微器的系统误差?
测量前首先校准零点,以便修正测量值。 零点读数为负值时,应反方向读出零点读数的绝对值。
③用读数显微镜测微小长度时,为什么测微鼓轮只能向一个方向转动?
测微鼓轮只能向一个方向转动,否则会产生回程差,影响测量准确度。
【实验小结】
①学会了正确使用游标卡尺、螺旋测微器和读数显微镜测量长度。
②理解了仪器精度与有效数字之间的关系,会正确读取原始数据。
③掌握了可定系统误差的处理方法。
④掌握了用不确定度评定测量误差的方法,能够正确表达直接测量量的测量结果。
⑤学会了间接测量量不确定度估算的方法,能够给出间接测量量的正确测量结果。