2.6 金属线膨胀系数的测定
由于物质内部分子的热运动,多数物体都具有“热胀冷缩”现象。 在工程结构的设计、机械仪器的制造、材料的加工等过程中,都必须考虑材料的“热胀冷缩”。 否则,将影响结构的稳定和仪表的精度;考虑失当,甚至会造成工程的毁损、仪表的失灵等。 热膨胀分为“线膨胀”和“体膨胀”,我们把在一维情况下,固体受热后长度的微小增加称为线膨胀。 为了表征固体材料的热性能,引入线膨胀系数(简称线胀系数)这一物理量,它是选用材料的重要指标。 测定线膨胀系数的关键在于如何精确测量长度的微小变化,通常可采用千分表、读数显微镜、光杠杆以及光学干涉等仪器或方法进行测量。 本实验采用千分表测定金属棒长度随温度的微小变化量,从而得到金属的线胀系数。
【实验目的】
①掌握测量固体线膨胀系数的基本原理。
②了解DH4608 固体线膨胀系数实验仪的基本结构、工作原理,掌握千分表和温度控制仪的操作方法。
③测量金属棒的线膨胀系数。
④用图示图解法处理实验数据,并分析实验误差。
【预习思考题】
①两根材料相同、粗细和长度均不相同的金属杆,在同样的温度变化范围内,线胀系数是否相同? 为什么?
②如何利用千分表的位移传感原理测量金属棒长度随温度升高时发生的微小变化量?
③如何正确操作和使用DH4608 固体线膨胀系数实验仪?
【实验原理】
一般情况下,固体的长度随温度的升高而增加,长度L 和温度t 之间的关系可表示为
![]()
式中,L0 为t=0 °C 时的长度,α、β 是与物质材料有关的系数。 在一定温度范围内,可取
![]()
设温度为t1 时固体长度为L1;温度为t2 时固体长度为L2,则有

所以

α 为固体的线膨胀系数,其物理意义是:当温度每升高1 °C 时,物体单位长度的伸长量。
实验表明:
①不同材料的线膨胀系数不同。
②同一种材料,在不同温度范围内线膨胀系数也不同。
③温度变化不大时,α 近似为常量。
几种固体的线膨胀系数见表2.17。
表2.17 几种固体的线膨胀系数

当温度不太高时,L1 = L0(1 + αt1) ≈L0,所以
![]()
在实际测量中,我们等温度间隔地设置加热温度(如等间隔5 °C 等间隔或10 °C 等间隔),从而测量对应的一系列ΔLi1,即

将所得到的测量数据进行直线拟合处理,从直线的斜率可得到一定温度范围内的平均热膨胀系数α。
【实验仪器】
金属线膨胀系数实验仪器包括电加热恒温箱、恒温控制仪、千分表以及待测金属棒(3根)。
1.电加热恒温箱
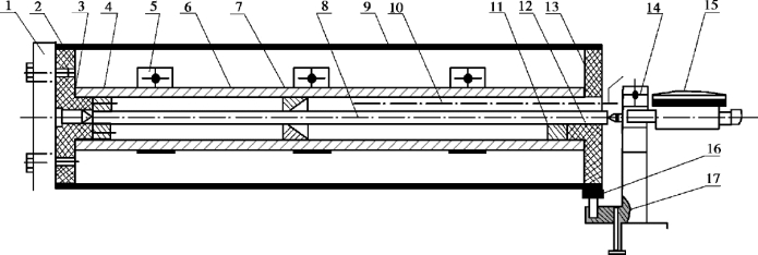
电加热恒温箱结构如图2.16 所示。
使用要求:
①被测物体为直径φ8 mm,长400 mm 的3 种密度均匀材质不同的金属棒。
②千分表安装须适当固定(以表头无转动为准)且与被测物体有良好的接触(读数在0.2 ~0.3 mm 为宜,然后再转动表壳校零)。
③被测物体与千分表探头需保持在同一直线。
④整体要求平稳。 因伸长量极小,故仪器不应有振动。

图2.16 电加热恒温箱结构
1—托架;2—隔热盘A;3—隔热顶尖;4—导热衬托A;5—加热器;6—特厚导热均匀管;7—导向块;8—被测材料;9—隔热罩;10—温度传感器;11—导热衬托B;12—隔热棒;13—隔热盘B;14—千分表固定架;15—千分表;16—支撑螺钉;17—固定螺钉
2.恒温控制仪
DH4608 恒温控制仪面板如图2.17 所示。

图2.17 DH4608 恒温控制仪面板
3.主要技术指标
①温度控制分辨率0.1 °C;控制精度±0.1 °C。
②控温范围:室温~85 °C。
③恒温加热炉内空间温度达到平衡时,温度梯度≤±0.1 °C。
④千分表测量精度0.001 mm,量程0 ~1 mm。
⑤待测金属棒样品直径φ8 mm,长400 mm。
⑥使用环境:温度0 ~40 °C,湿度≤85%。(https://www.daowen.com)
【实验内容及步骤】
1.连接电加热器与温控仪
连接电加热器与温控仪输入、输出接口和温度传感器的插头。
2.安装待测金属棒
旋松千分表固定架螺栓,取下千分表固定架,将测试样品(直径φ8 mm,长400 mm 金属棒)从胶木孔插入特厚壁紫铜管内(圆胶木中心孔用来插入测试样品,旁边小孔用来插入传感器),再插入不良导热体(不锈钢)用力压紧后装上千分表固定架,在安装千分表架时注意被测物体与千分表测量头保持在同一条直线上。
3.安装调整千分表
将千分表安装在固定架上,并且扭紧螺栓,不使千分表转动,再向前移动固定架,使千分表读数值在0.2 ~0.3 mm,拧紧固定架螺栓。 然后稍用力压一下千分表滑落端,使它能与绝热体有良好的接触,再转动千分表表盘使读数为零。
4.设定加热温度开始测量
①接通温控仪电源(关闭加热电流),静置10 min 后,记录千分表和温度表的起始读数。
②设定需加热的值,一般可逐次增加温度10 °C,分别设定为20 °C、30 °C、40 °C、50 °C、60 °C,接通加热电流,开始加热,此时加热指示灯闪动。
③当显示值上升到设定值附近时,恒温控制仪自动控制到设定值。 正常情况下加热波动1 ~2 次后达到稳定值,此时可以记录终止读数li 和ti,将数据记录在表2.18 中。
5.测量其他样品的线胀系数(选作)
选用不同的金属棒样品,分别测量并计算各自的线胀系数。
6.注意事项
①千分表是精密仪表,不能用力挤压。
②实验过程中不能振动仪器和桌子,否则会影响千分表读数。
【数据处理与分析】
①由表2.18 中的测试数据计算线胀系数,并分析误差。
表2.18 固体线胀系数测定表

注:以室温t0 为起点,每升温10 °C 记录一次数据。
②画出L—t 的关系曲线图,观察总结其线性关系;由直线的斜率求出α。
【课后讨论】
①哪个测量量对实验结果的精度影响最大? 为什么?
②能否设计出另一种测量长度的微小变化的方法,从而测出线膨胀系数?
【附】
实验举例
①按照实验步骤和要求,安装固定好测试棒。
②记录环境温度和千分表的初始读数,将温度分别设定为30 °C、40 °C、50 °C、60 °C,分别记录当温度达到平衡时的千分表的读数,填在表2.19 中。
③以30 °C 为起始点,进行数据处理。
④画出L—t 的关系曲线,如图2.18 所示,由斜率求出
。
表2.19 固体线胀系数测量数据


图2.18 L—t 的关系曲线
计算:

千分表使用说明
千分表是美国的B.C.艾姆斯等于1890 年制成的。 它是一种利用精密齿条齿轮机构制成的表式通用长度测量工具。 当量杆移动1 mm 时,这一移动量通过齿条、轴齿轮放大后传递给安装在轴齿轮上的指针,使指针转动一圈。 增加齿轮放大机构的放大比,使圆表盘上的分度值为0.001 mm 或0.002 mm(圆表盘上有200 个或100 个等分刻度),这种表式测量工具即称为千分表。 它常用于形状和位置误差以及小位移的长度测量。 千分表的示值范围一般为0 ~10 mm。
千分表的种类较多,本实验采用的千分表是横形(Y)式千分表,即从正面观测刻度板的话,测头为左右移动型。 本仪器采用的千分表技术参数见表2.20。
表2.20 本仪器采用的千分表技术参数

(1)使用前的准备工作
①检验千分表的灵敏程度:左手托住表的背面,度盘向前用眼观察,右手拇指轻推表的测头,试验量杆的移动是否灵活。
②检验千分表的稳定性:将千分表夹持在表架上,并使测头处于工作状态,反复几次提落防尘帽自由下落测头,观察指针是否指向原位。
(2)测量和读数方法
①安装。 先把千分表固定在表架上,所夹部位应尽量靠近下轴根部,但是不能影响表圈的转动,夹紧即可,不要太过紧,以免压坏伸缩杆。
②校准零位。 旋转表盘的外圈,使刻度盘“0”位对准指针。
注意:校对零位的时候,应尽量使表的测量头对准基本面,并使量杆有一定的伸缩量(0.2 mm 左右),再用扳手固定住千分表支架,夹住千分表。 在对好零位后,应反复几次拉伸、放手,让其回位(伸缩0.1 ~0.2 mm),待指针稳定后方可旋转表盘外圈对零。 校准零位时,要反复检查,要求指针测量既准又稳。
③测量。 测量平面时,应使千分表的量杆轴线与所测量表面垂直,防止有斜角现象。 测量圆柱体时,量杆轴线应该通过工件中心并与母线垂直。 在测量过程中,可以看到大小指针都在转动。 大指针每转一格为0.001 mm;大指针转一圈,小指针转一格。 在开始测量时,要记住大小指针的初始值,与待测量读数,做差值即为测量值。 读数视线要垂直于千分表的刻度盘,如果大指针停留在刻线之间,就进行估读。
④其他注意事项。
a.不要使测量杆突然撞落到工件上,也不可强烈振动、敲打指示表。
b.测量时注意表的测量范围,不要使测头位移超出量程,以免过度伸长弹簧,从而损坏指示表。
c.不要使测头跟测杆做过多无效的运动,否则会加快零件磨损,使表失去应有精度。
d.当测杆移动发生阻滞时,不可强力推压测头,须交给老师维修。