2.8 落球法测量液体的黏滞系数
液体的黏滞系数又叫黏度。 黏度是反映液体流动特性的物理量,它的大小主要决定于液体的性质,受温度、流速等影响。 液体黏度的测量在材料的工艺技术等方面有实际应用价值,如石油在管道中的传输、机械的润滑、油脂涂料、有机合成、医疗和药物等方面都需要测定黏度。 测量液体黏度有多种方法,本实验所采用的落球法是最基本的一种。 它是利用小球在黏滞液体中铅直下落时小球受到黏滞阻力大小与小球下落速度的关系来测量的。 测出小球匀速下落的速度,就可以计算出液体的黏度。 这种方法可用于测量黏度较大的透明或半透明液体,如蓖麻油、甘油、变压器油等。
【实验目的】
①会用落球法测液体的黏滞系数。
②掌握激光光电计时仪的用法。
【预习思考题】
①什么是液体的黏度? 影响其大小的因素有哪些?
②斯托克斯定律的内容是什么?
③落球法测液体黏度的原理是什么?
【实验原理】
1.黏度的概念
流体作层流时,相邻两流层之间的内摩擦力与流层间的接触面积成正比,与两流层的速度梯度
成正比
![]()
式中η 称为液体的黏滞系数,也叫黏度,其单位是Pa·s。
2.落球法测黏度计算公式
当金属小球在黏性液体中下落时,它受到三个铅直方向的力:小球的重力mg(m 为小球质量);液体作用于小球的浮力ρgV(V 是小球体积,ρ 是液体密度);黏滞阻力F(其方向与小球运动方向相反)。
如果液体无限深广,在小球下落速度v 较小的情况下,有
![]()
式(2.40)称为斯托克斯公式,其中r 是小球的半径,η 为液体的黏度。
小球开始下落时,由于速度尚小,所以阻力也不大;但随着下落速度增大,阻力也随之增大,最后三个力达到平衡,即
![]()
于是,小球作匀速直线运动,由上式可得
![]()
![]()
![]()
其中ρ′为小球材料的密度,l 为小球匀速下落的距离,t 为小球下落l 距离所用的时间。
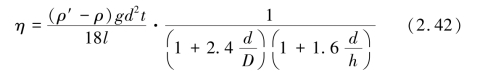
3.公式的修正
实验时,待测液体必须盛于容器中,如图2.24 所示,故不能满足无限深广的条件,实验证明,若小球沿筒的中心轴线下降,式(2.41)须做如下修正方能符合实际情况:

其中D 为容器内径,h 为液柱高度。
4.说明(https://www.daowen.com)
实验时小球下落速度若较大,例如气温及油温较高,钢珠从油中下落时,可能出现湍流情况,使式(2.42)不再成立,此时要作另一个修正。

图2.24 盛待测液体的量筒
【实验仪器】
落球法黏滞系数测定仪(图2.25)、小钢珠、蓖麻油、米尺、千分尺、游标卡尺、液体密度计、激光光电计时仪、电子秒表、温度计、比重瓶、电子分析天平等。

图2.25 落球法黏滞系数测定仪
1—导管;2—激光发射器A;3—激光发射器B;4—激光接收器A;5—激光接收器B;6—量筒;7—主机后面板;8—电源插座;9—激光信号控制;10—主机前面板;11—计时器;12—电源开关;13—计时器复位端
【实验内容及步骤】
①调整底盘水平。 在仪器横梁中间部位放重锤部件,调节底盘旋钮,使重锤对准底盘的中心圆点。
②安装激光器及接收器,将实验架上的两激光器接通电源,并进行调节,使其红色激光束平行对准锤线,这时计时仪上的红灯亮。
③收回重锤部件,将盛有待测液体的量筒放置到实验架底盘中央,轻微移动位置和适当上下、前后调整激光接收器位置,使计时仪上的红灯再次亮。
④在实验架上放上钢球导管,将小球放入钢球导管,看其能否阻挡光线,如不能,则适当调整激光器位置。
⑤用温度计测量油温,在全部小球下落完后再测一次油温,取其平均值。
⑥测量上下两激光束之间的距离l,用钢尺测量玻璃桶中油的高度,测出公式用到的其他物理量。
⑦将小球从支架导管中丢下,分别用电子秒表和激光计时器记录小球所用时间t,测量6次。 注意测量小球匀速下落过程中的时间。
⑧按要求整理好仪器。
【数据处理与分析】
钢球下落时间填入表2.23 中。
表2.23 钢球下落时间

记录公式中的其他相关量,计算黏度大小,并与标准值比较。
【课后讨论】
①如何判断小球是否在作匀速运动?
②用激光光电开关测量小球下落时间的方法测量液体黏滞系数有何优点?
③造成误差得主要因素是什么? 如何改进?
【附】
蓖麻油黏度系数与温度的关系见表2.24。
表2.24 蓖麻油黏度系数与温度的关系
