5.6 电阻、电容串联电路暂态过程研究
电阻、电容是电路的基本元件。 电阻和电容的串联电路称为RC 串联电路。 在RC 串联电路中,在接通和断开回路供电的很短的时间内,电容上的电压不会瞬间突然变化,而是以一个平衡态迅速地过渡到另一个平衡态,这个转变过程称为暂态。 本实验就是研究RC 串联电路的暂态过程中电压与电流的变化规律。 研究这个规律在电子电路中具有重要的意义和实际用途。
【实验目的】
①通过实验研究RC 串联电路的暂态过程。
②通过研究RC 串联电路的暂态过程,加深对电容特性的认识。
③提高对RC 串联电路暂态过程的分析技能。
【预习思考题】
①如何计算RC 串联电路的时间常数τ?
②为什么说时间常数τ 是RC 串联电路充放电速度的指标?
【供选择的器材】
RC 串联电路板(可更换已知电容、电阻)、阴极射线示波器、信号发生器等。
【供选择的研究课题】
①用示波器和信号发生器研究RC 串联电路充放电电压曲线。
②计算RC 串联电路在不同频率方波下波形的变化情况,并找出在多大频率下,用实验中实际测出的T1/2 算出的时间常数τ测与RC 标称值计算的时间常数τ 最接近,为什么?
③研究不同电阻、电容的RC 串联电路的各种特性。
④研究RC 串联电路的半衰期。
【设计要求】
①预习实验报告要求写明实验目的、实验原理,根据RC 串联电路基本原理设计出用示波器和信号发生器研究RC 串联电路的电路图。
②连接电路,并调试信号发生器、示波器。
③根据示波器波形进行分析,计算相应时间常数τ 并与标称值进行比较。
④根据示波器给出的充放电图形,讨论半衰期与时间常数存在的关系。
⑤提交规范的设计论文。
【设计原理及方法】
1.RC 串联电路的充电过程

图5.25 RC 串联电路的充电过程(https://www.daowen.com)
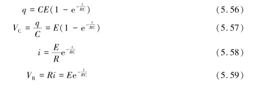
在图5.25 电路中,当开关接通电源,电流便通过电阻R对电容器C 进行充电。
电荷q 逐渐累积在电容器的极板上,电压VC 随之增大,两者的关系为
![]()
同时,电阻R 的端电压为VR=E-VC。 由欧姆定律及式(5.52),通过R 的电流,即充电电流的大小为
![]()
式中q、VC 及i 都是时间t 的函数。
刚接通开关K 的瞬间,电容器上没有电荷,电动势E 全部作用在电阻R 上,最大的充电电流为I0=E/R。 随着电容器上电荷的累积,VC 增大,电阻R 的端电压VR 减小,充电电流跟着减小。 这又反过来使q 及VC 的增长率变得更缓慢。 直至VC 等于E 时,充电过程才终止,电路达到稳定状态。
为了求得电容器充电过程中VC 及i 随时间变化的关系,可得
![]()
其中i = dq/dt,可得充电电路的微分方程
![]()
积分,由初始条件t=0 时,q=0,可得微方程的解为

2.放电过程
(略)
3.充/放电过程的时间常数和半衰期
(1)充/放电过程的时间常数
当t=RC 时,由式(5.56)—式(5.59)可得

由此可见,当充电时间t 等于电阻、电容的乘积(即t=RC)时,电容器上的电荷或电压都上升到最终值的63.2%,充电电流或电阻R 的端电压都减小到初始值的36.8%。 定义RC 乘积为电阻、电容串联电路的时间常数,用τ 表示,τ 越小,充/放电速度越快;τ 越大,充/放电速度越慢。 一般来说t=4τ ~5τ 时,可认为冲/放电结束。
(2)充/放电过程的半衰期
半衰期也是反映暂态过程快慢的一个重要物理量,用T1/2 表示,它与时间常数τ 之间存在如下关系
![]()
注:方波信号可作为开关电路使用。