5.5 非平衡电桥与电阻温度计
电桥可分为平衡电桥和非平衡电桥,非平衡电桥也称不平衡电桥或微差电桥。 近年来,非平衡电桥在教学中受到了较多的重视,因为通过它可以测量一些变化的非电量,这就把电桥的应用范围扩展到很多领域,所以在工程测量中非平衡电桥也得到了广泛的应用。
【实验目的】
①掌握非平衡电桥的工作原理及其与平衡电桥的异同。
②掌握利用非平衡电桥的输出电压来测量变化电阻的原理和方法。
③掌握非平衡电桥测量温度的方法,并类推至测其他非电量。
【预习思考题】
①非平衡电桥与平衡电桥有何异同?
②热敏电阻具有什么样的温度特性?
③用非平衡电桥设计热敏电阻温度计有什么特点? 所测温度的范围受哪些因素限制?
【供选择的器材】
①DHQJ-1 市电型非平衡电桥。
②DHW-1 型温度传感实验装置或DHT-2 型热学实验仪(含2.7 kΩ 热敏电阻)。
【供选择的研究课题】
①用非平衡电桥测量铜电阻。
②用铜电阻测量温度。
③用非平衡电桥测量热敏电阻的温度特性。
④以热敏电阻为传感器结合非平衡电桥设计测量范围为30 ~50 ℃的数显温度计。
【设计要求】
①依据选定的设计课题,确定实验方案,并描述相应的实验原理。
②根据实验原理绘出设计电路图。
③拟定实验步骤和注意事项。
④确定电路元件的参数。
⑤给出实验结果,并对结果作出评价。
⑥提交规范的设计论文。
【设计原理及方法】
1.非平衡电桥原理

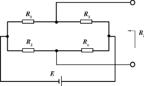
图5.20 非平衡电桥
非平衡电桥在构成形式上与平衡电桥相似,但在测量方法上有很大差别。 如图5.20 所示,非平衡电桥是使R1、R2、R3 保持不变,Rx 变化时则U0 变化,再根据U0与Rx 的函数关系,通过检测U0 的变化从而测得Rx。 由于可以检测连续变化的U0,所以可以检测连续变化的Rx,进而检测连续变化的非电量。
1)非平衡电桥的桥路形式
①等臂电桥:电桥的4 个桥臂阻值相等,即R1=R2=R3=Rx0;其中Rx0 是Rx 的初始值,这时电桥处于平衡状态,U0=0。
②卧式电桥:也称输出对称电桥,电桥的桥臂电阻对称于输出端,即R1=R3,R2=Rx0,但R1≠R2。
③立式电桥:也称电源对称电桥,从电桥的电源端看桥臂电阻对称相等,即R1=R2,R3=Rx0,但R1≠R3。
④比例电桥:桥臂电阻成一定的比例关系,即R1=KR2,R3=KRx0 或R1=KR3,R2=KRx0,K为比例系数。 实际上这是一般形式的非平衡电桥。
2)非平衡电桥的输出

图5.21 等效电路
非平衡电桥的输出按负载大小可分为以下两种。
①负载阻抗相对于桥臂电阻很大,如输入阻抗很高的数字电压表或输入阻抗很大的运算放大电路。
②负载阻抗较小,和桥臂电阻相比拟。 后一种由于非平衡电桥需输出一定的功率,故又称为功率电桥。
根据戴维南定理,图5.20 所示的桥路可等效为图5.21 所示的二端口网络。 其中Uoc 为等效电源,Ri 为等效内阻。由图5.20 可知,在RL→∞时,等效电源电压值为

根据戴维南定理,将电源E 短路,得到如图5.22所示的电路,据此可求出电桥等效内阻:
![]()
根据图5.21 所示的电路,得到电桥接有负载RL时输出电压:

图5.22 戴维南等效电阻

电压输出的情况下RL→∞,所以有

根据式(5.27),可进一步分析电桥输出电压和被测电阻值关系。 令Rx=Rx0+ΔR,Rx 为被测电阻,ΔR 为电阻变化量。
根据式(5.27),

因为Rx0 为其初始值,此时电桥平衡,有R1Rx0=R3R2,所以

当RL→∞,
![]()
![]()

式(5.29)和式(5.30)就是作为一般形式非平衡电桥的输出与被测电阻的函数关系。特殊地,对于等臂电桥和卧式电桥,式(5.30)可简化为

立式电桥和比例电桥的输出与式(5.30)相同。被测电阻的ΔR<<Rx0 时,式(5.30)可简化为

式(5.31)可进一步简化为

这时U0 与ΔR 成线性关系。
3)用非平衡电桥测量电阻
习惯上,人们称RL=∞的非平衡应用的电桥叫非平衡电桥;称具有负载RL 的非平衡应用的电桥叫功率电桥。 下述的“非平衡电桥”都是指RL=∞的非平衡应用的电桥。
①将被测电阻(传感器)接入非平衡电桥,并进行初始平衡,这时电桥输出为0。 改变被测的非电量,则被测电阻发生变化,这时电桥输出电压U0≠0,开始作相应变化。 测出这个电压后,可根据式(5.30)或式(5.31)计算得到ΔR。 对于ΔR<<Rx0 的情况下可按式(5.32)或式(5.33)计算得到ΔR 值。
②根据测量结果求得Rx=Rx0+ΔR,并可作U0 ~ΔR 曲线,曲线的斜率就是电桥的测量灵敏度。 根据所得曲线,可由U0 的值得到ΔR 的值,也就是可根据电桥的输出U0 来测得被测电阻Rx 值。
4)用非平衡电桥测量温度
(1)用线性电阻测温度
一般来说,金属的电阻随温度的变化可用下式描述
![]()
如铜电阻传感器:Rx0=50 Ω(t=0 °C),α=4.289×10-3/ ℃,β=-2.133×10-7/℃。
在温度不是很高的情况下,可忽略温度二次项βt2,将金属的电阻值随温度变化视为线性变化,即
![]()
所以ΔR=αRx0Δt,代入式(5.30)有

式中的αRx0 值可由以下方法测得:取两个温度t1、t2,测得Rx1、Rx2 则

这样可根据式(5.35),由电桥的输出U0 求得相应的温度变化量Δt,从而求得
![]()
特殊地,当ΔR<<Rx0 时,式(5.35)可简化为

这时U0 与Δt 成线性关系。
(2)利用热敏电阻测温度
半导体热敏电阻具有负的电阻温度系数,电阻值随温度升高而迅速下降,这是因为热敏电阻由一些金属氧化物如Fe3O4、MgCr2O4 等半导体制成,在这些半导体内部,自由电子数目随温度的升高增加得很快,导电能力很快增强;虽然原子振动也会加剧并阻碍电子的运动,但这种作用对导电性能的影响远小于电子被释放而改变导电性能的作用,所以温度上升会使电阻值迅速下降。
热敏电阻的电阻温度特性可以用下述指数函数来描述:
![]()
式中A 是与电阻器几何形状有关的常数,B 为与材料半导体性质有关的常数,T 为绝对温度。
为了求得准确的A 和B,可将式(5.37)两边取对数
![]()
选取不同的温度T,得到不同的RT。
![]()
将上两式相减后得到

将式(5.39)代入式(5.37)可得
![]()
常用半导体热敏电阻的B 值为1 500 ~5 000 K。
不同的温度时RT 有不同的值,电桥的U0 也会有相应的变化。 可以根据U0 与T 的函数关系,经定标后,用U0 测量温度T。 但这时U0 与T 的关系是非线性的,显示和使用不是很方便,这就需要对热敏电阻进行线性化。 线性化的方法很多,常见的有串联法、串并联法、非平衡电桥法等。 下面重点介绍用非平衡电桥进行线性化设计的方法。
在图5.20 中,R1、R2、R3 为桥臂测量电阻,具有很小的温度系数,Rx 为热敏电阻,由于只检测电桥的输出电压,故RL 开路,根据式(5.28)有

![]()
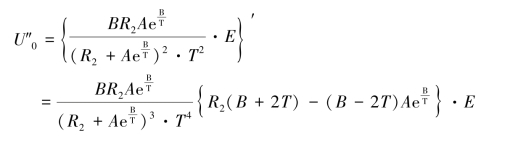
可见U0 是温度T 的函数,将U0 在需要测量的温度范围的中点温度T1 处,按泰勒级数展开
![]()

式中U01 为常数项,不随温度变化,U′0(T-T1)为线性项,Un 代表所有的非线性项,它的值越小越好,为此令U″0=0,则Un 的三次项可看作非线性项,从Un 的四次项开始数值很小,可以忽略不计。
式(5.41)中U0 的一阶导数为

![]()

U0 的二阶导数为
(https://www.daowen.com)
令U′0=0,可得
![]()
即

根据以上的分析,将式(5.41)改为如下表达式
![]()
式中t 和t1 分别为T 和T1 对应的摄氏温度,线性函数部分为
![]()
式(5.44)中的λ 为U0 在温度T1 时的值

![]()

式(5.44)中m 的值为U′0 在温度T1 时的值



非线性部分n(t-t1)3 是系统误差,这里忽略不计。
线性化设计的过程如下:根据给定的温度范围确定T1 的值,一般为温度中间值,例如设计一个30 ~50 °C 的数字表,则T1 选313 K,即t1=40 °C。 B 值由热敏电阻的特性决定,可根据式(5.39)求得。
根据非平衡电桥的显示表头适当选取λ 和m 的值,可使表头的显示数正好为摄氏温度值,λ 为测温范围的中心值m·t1(mV)。 这样λ 为数字温度计测量范围的中心温度,m 就是测温的灵敏度。
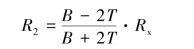
确定m 值后,E 的值由式(5.46)可求得
![]()
由式(5.42)可得
![]()
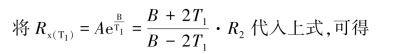
R2 的值可取T1 温度时的Rx(T1)值计算

由式(5.45)可得

这样选定λ 值后,就可求得R1 与R3 的比值。 然后,根据R1 与R3 的阻值可调范围,确定R1 与R3 的值。
2.实验内容及方法
(1)用非平衡电桥测量铜电阻
①预调电桥平衡:将DHW-1/DHW-2 型温度传感实验装置或DHT-2 热学实验仪的“铜电阻”端接到非平衡电桥输入端,选等臂电桥或卧式电桥。 调节合适的桥臂电阻,使U0=0,测出Rx0=______Ω,并记下初始温度t0=________°C。 起始温度可以选室温或测量范围内的其他温度。
②调节控温仪,使铜电阻升温,根据数字温控表显示温度,读取相应电桥输出U0。 ΔR 的值根据式(5.31)求得:
每隔一定温度测量一次,记录于表5.8 中。
表5.8 用非平衡电桥测量铜电阻实验数据表


④用立式电桥或比例电桥,重复以上步骤,数据表同表5.8。
ΔR 的值根据下式求得:

⑤比较等臂电桥(或卧式电桥)和立式电桥(或比例电桥)的Rx-t 曲线,分析测量误差的大小,并讨论原因。
(2)用铜电阻测量温度
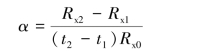
根据前面的实验结果,由式(5.35)可得

用等臂电桥(或卧式电桥)时简化为

实际的α 值根据公式
![]()
可得

取两个温度t1、t2,测得Rx1,Rx2,可求得α。
这样可根据式(5.50)或式(5.51),由电桥的输出U0 求得相应的温度变化量Δt,从而求得:t=t0+Δt。
根据测量结果作U0-t 曲线。
(3)用非平衡电桥测温度
选2.7 kΩ 的热敏电阻,设计的温度测量范围为30 ~50 °C(夏天室温较高时,也可以将设计温度适当提高,例如改为35 ~55 °C、40 ~60 °C)。
①在测量温度之前,先要获得热敏电阻的温度特性。 将DHW-1/ DHW-2 型温度传感实验装置或DHT-2 热学实验仪的“热敏电阻”端接到电桥的Rx 端,用单电桥测量不同温度下的热敏电阻值,一般取5 位有效数字即可。 调节控温仪,使热敏电阻升温,每隔一定温度,测出Rx,并记下相应的温度t 于表5.9 中。
表5.9 用非平衡电桥测温度


③根据非平衡电桥的表头,选择λ 和m,根据式(5.46)计算可知m 为负值,相应的λ 也为负值。 本实验如使用2 V 表头,可选m 为-10 mV/°C,λ 为测温范围的中心值-400 mV,这样该数字温度计的分辨率为0.01 °C。
④按式(5.47)求得E=______V。 调节“电压调节”旋钮,将“数字表输入”端用导线接至“电源输出”,接通“G”按钮,用数字表头的合适量程进行测量,调节电源电压E 为所需值。 保持电位器位置不变,“数字表输入”端用测量导线接至电桥的输出端,即面板上G 两端的插孔中,这时非平衡电桥的E 已调好。
⑤按式(5.48)求得R2=________Ω。 按式(5.49)求得R1/R3=________,根据R1、R3 的阻值范围确定R1=________Ω(可选100 Ω),R3=______Ω。
⑥按求得的R1、R2、R3 值,接好非平衡电桥电路。 设定温度t=40 °C,待温度稳定后,电桥应输出U0=-400 mV。 如果不为-400 mV,再微调R2、R3 值。 最后的R1=________Ω,R2=______Ω,R3=________Ω。
⑦在30 ~50 °C 的温度测量范围内测量U0 与t 的关系,并作记录。
⑧作U0-t 曲线并直线拟合,检查该温度测量系统的线性和误差。
⑨在30 ~50 °C 内外任意设定加热装置的几个温度点作为未知温度,用该温度计测量这些未知温度,并计算误差。
(4)注意事项
①电桥使用时,应避免将R2、R3 同时调到零值附近测量,这样可能会出现较大的工作电流,测量精度也会下降。
②选择不同的桥路测量时,应注意选择合适的工作电源。
③仪器使用完毕后,务必关闭电源。
【附】
DHQJ-1 型非平衡电桥概述
DHQJ-1 型非平衡电桥可以组成属于平衡电桥的惠斯登电桥,也可以组成多种形式的非平衡电桥,是一种精度较高的综合性实验电桥。 将各种电阻型传感器接入电桥回路,桥路的非平衡电压就能反映出桥臂电阻的微小变化,因此,通过测量非平衡电压就可以检测出外界物理量的变化,例如温度、压力、湿度等。
1.主要技术指标
1)惠斯登电桥、三端电桥的参数
(1)测量范围
惠斯登电桥:10Ω ~11.11 MΩ;三端电桥:1 Ω ~11.111 MΩ。
(2)桥臂电阻的调节范围
R1:10 Ω、100 Ω、1 000 Ω 三个电阻可选;
R2:总阻为0.1Ω ~11.111 kΩ,其中0.1 ~111.0 Ω 为一组,100Ω ~11 kΩ 为另一组,这样可以减小内部的引线电阻;
R3:0.01Ω ~11.111 kΩ。
(3)允许误差及工作电压
DHQJ-1 教学用非平衡电桥允许误差及工作电压见表5.10。
表5.10 DHQJ-1 教学用非平衡电桥允许误差及工作电压

2)非平衡电桥
测量范围10Ω ~11.111 kΩ,非平衡电桥测量精度与被测电阻的特性与测量方案有关。
3)数字直流毫伏表
独立设置,量程Ⅰ:200 mV,量程Ⅱ:2 V,量程Ⅲ:20 V,4 位半数字显示,量程的通过开关切换。 平衡电桥时作指零仪使用,非平衡电桥时作数字电压表使用,也可作为直流电压表测量电压源电压。
4)电压源
0 ~12 V 连续可调,负载电流0.1 A。
2.仪器结构及说明
DHQJ-1 型非平衡电桥面板如图5.23 所示。

图5.23 DHQJ-1 型非平衡电桥面板
仪器的电源、数字表、桥臂电阻R1、R2、R3 以及RP 电阻之间各自是相互独立的,按照电桥上的各自插座孔,通过连线组成桥路。
电桥的B 按钮,内部已经与电源连接,用于接通桥路电源;电桥的G 按钮,内部已经与数字电压表连接,用于接通数字电压表。
RP 电位器用于功率电桥时作为负载使用,调节范围0 ~10 kΩ,与其串联有100 Ω 电阻。功率电桥实验时,只要将电压表接到该电阻上,即“IP”测量端便可测得电桥的输出电流;接到“UP”测量端便可测得电桥的输出电压。
3.电桥的使用方法
(1)使用前的准备
①用随仪器配备的电源线将电桥连至220 V 交流电源,打开电桥后面的电源开关,接通电源。
②根据被测对象选择合适的工作电压,工作电压通过“电源调节”电位器调节,电压值可以用仪器自身的数字电压表测量。 单桥测量时电压值可以参照表5.10,非平衡电桥设计温度计实验则按照计算值给定。
(2)单桥的使用方法
一般被测电阻大于10 Ω 的情况下可选择用单桥进行测量。
①将R1 与右端相连,被测电阻连接至Rx 两端,根据被测电阻的大小选择合适的R1、R2值,接好数字电压表,作为检流计。
②选择合适的电源电压E,一般小于3 V,灵敏度不够时,再适当调高E。
③连接好线路,检查无误后接通G 按钮,再接通B 按钮,调节R3 至数字电压表读数为零,表示电桥达到平衡。
注意,在本电桥上,R1 选择可以是10 Ω、100 Ω、1 000 Ω,测量时一般优先取1 000 Ω,再是100 Ω,最后是10 Ω。 R2 的选择可以是0 ~11.111 kΩ 的任意值,习惯上为方便操作及计算,R2常选10 Ω、100 Ω、1 kΩ、10 kΩ 等值。
![]()
(3)三端电桥的使用方法
用二端法(单桥)测量小电阻或引线较长时,接线电阻将带来较大的误差。 三端电桥与单桥不同的是,从Rx 的一端引出两根线,靠近Rx 的称电位端,连到电桥的一个桥臂,在Rx 外侧的引线称电流端,连到电桥的电源端,如图5.24 所示。 用三端法测量较为简单,在一定的条件下,可有效降低测量误差。

图5.24 三端电桥
图中R4、R5、R6 由于接线方式、长度基本相同,只要选R1=R2,在电桥平衡时R4、R5 的作用相抵消,R6 因为串接在电源回路,对测量没有影响,所以能减小引线电阻的影响。 被测电阻值的计算公式与单桥相同。
(4)非平衡电桥的使用方法
接线方法与单桥相同,使用说明详见“单桥的使用方法”。