5.4 密立根油滴实验
密立根在1907—1917 年致力于测量微小油滴上所带电荷的工作,这就是著名的密立根油滴实验,它是近代物理学发展过程中具有重要意义的实验。 密立根经过长期的实验研究获得了两项重要的成果:一是证明了电荷的不连续性,即电荷具有量子性,所有电荷都是基本电荷e 的整数倍;二是测出了电子的电荷值,即基本电荷的电荷值e=(1.602±0.002)×10-19C。
密立根油滴实验的实验设备简单而有效,构思和方法巧妙而简洁。 他采用宏观的力学模式研究微观世界的量子特性,所得数据精确而且结果稳定,无论在实验的构思还是在实验的技巧上都堪称一流,被誉为实验物理学的典范。 用这种比较简单的方法来测定电子的电荷值e,由于实验中产生的油滴非常微小(半径约为10-9 m,质量约为10-15 kg),进行本实验特别需要严谨的科学态度、严格的实验操作、准确的数据处理,才能得到较好的实验结果。
【实验目的】
①验证电荷的不连续性,测定基本电荷的大小。
②学会对实验仪器的调整、油滴的选定、跟踪、测量以及数据的处理。
【预习思考题】
①静态平衡法中,油滴电荷量的测量转化为哪些量的测量? 测量时平行板上是否加电压?平行板上何时加电压?
②如何选合适的油滴进行测量?
③实验时怎样才能保证油滴做匀速运动?
【供选择的器材】
MOD-5 型油滴仪。
【供选择的研究课题】
①测量油滴所带电量。
②测量单位电荷的电量。
【设计要求】
①预习实验报告要求写明实验目的、实验原理。
②测出油滴质量。
③提交规范的实验报告。
【设计原理及方法】
1.静态平衡法测油滴电量
用喷雾器将油滴喷入两块相距为d 的水平放置的平行极板之间,如图5.17 所示。

图5.17 静态平衡法测油滴电量示意图
油滴在喷射时由于摩擦,一般都会带电。 设油滴的质量为m,所带电量为q,加在两平行极板之间的电压为V,油滴在两平行极板之间将受到两个力的作用,一个是重力mg,一个是电场力qE =q
。 通过调节加在两极板之间的电压V,可以使这两个力大小相等、方向相反,从而使油滴达到平衡,悬浮在两极板之间。 此时有
![]()
为了测定油滴所带的电量q,除了测定V 和d,还需要测定油滴的质量m。 但是,由于m 很小,需要用特殊方法进行测定。
2.测定油滴的质量m
在平行极板间未加电压时,油滴受重力作用将加速下降,但是由于空气的黏滞性会对油滴产生一个与其速度大小成正比的阻力fr,油滴下降一小段距离而达到某一速度v 后,阻力与重力达到平衡(忽略空气的浮力),油滴将以此速度匀速下降示。 此时
![]()
由斯托克斯定律可得
![]()
其中,η 是空气的黏滞系数,r 是油滴的半径(由于表面张力的作用,小油滴总是呈球状)。
设油滴的密度为ρ,则
![]()
将式(5.16)和式(5.17)合并,可得油滴的半径为
![]()
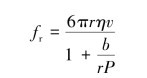
由于斯托克斯定律对均匀介质才是正确的,对于半径小到10-6 m 的油滴小球,其接近空气空隙的大小,空气介质对油滴小球不能再认为是均匀的了,因而斯托克斯定律应该修正为

式中,b 为修正常数,取b=6.17×10-6 m·cmHg;P 为大气压强,单位是cmHg。 利用平衡条件和式(5.17)可得

式(5.19)根号下虽然还包含油滴的半径r,因为它是处于修正项中,不需要十分精确,仍可用式(5.18)来表示。 将式(5.19)代入式(5.17)得

当平行极板间的电压为0 时,设油滴匀速下降的距离为l,时间为t,则油滴匀速下降的速度为

所以

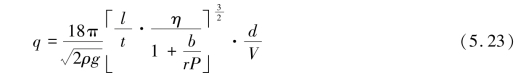
3.油滴所带的电量
将式(5.22)代入式(5.15)得

实验发现,对于同一个油滴,如果改变它所带的电量,则能够使油滴达到平衡的电压必须是某些特定的值Vn。 研究这些电压变化的规律可以发现,它们都满足下面的方程
![]()
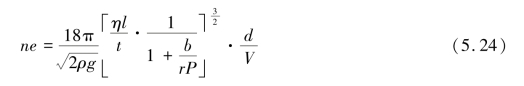
式中,n=±1,±2,±3…,而e 则是一个不变的值。
对于不同的油滴,可以证明有相同的规律,而且e 值是相同的常数,这即是说电荷是不连续的,电荷存在着最小的电荷单位,也即是电子的电荷值e。 于是,式(5.23)可化为
(https://www.daowen.com)
根据式(5.24)即可测出电子的电荷值e,验证电子电荷的不连续性。
【实验仪器】
密立根油滴实验仪包括油滴盒、油滴照明装置、调平系统、测量显微镜、供电电源以及电子停表、喷雾器等部分组成。
MOD-5 型油滴实验仪的外形如图5.18 所示,其改进为用CCD 摄像头代替人眼观察,实验时可以通过黑白电视机来测量。

图5.18 MOD-5 型油滴实验仪
油滴盒是由两块经过精磨的平行极板(上、下电极板)中间垫以胶木圆环组成。 平行极板间的距离为d。胶木圆环上有进光孔、观察孔和石英窗口。 油滴盒放在有机玻璃防风罩中。 上电极板中央有一个φ0.4 mm 的小孔,油滴从油雾室经过雾孔和小孔落入上下电极板之间,如图5.19 所示。 油滴盒可用调平螺丝调节,并由水准泡检查其水平。

图5.19 油雾室剖面图
1—油雾室提把;2—油雾室;3—油雾孔开关;4—油滴盒防风罩;5—铝质上电极;6—上下电极绝缘电圈;7—铝质下电极;8—油滴仪托板;9—油雾室上盖;10—油滴喷雾口;11—油雾孔;12—上电极压簧;13—上电极电源的插孔;14—滴盒室绝缘座;15—照明孔;16—漫反射屏
电源部分提供4 种电压:
①2.2 V 油滴照明电压。
②500 V 直流平衡电压。 该电压可以连续调节,并从电压表上直接读出,还可由平衡电压换向开关换向,以改变上、下电极板的极性。 换向开关倒向“+”侧时,能达到平衡的油滴带正电,反之带负电。 换向开关放在“0”位置时,上、下电极板短路,不带电。
③300 V 直流升降电压。 该电压可以连续调节,但不稳压。 它可通过升降电压换向开关叠加(加或减)在平衡电压上,以便把油滴移到合适的位置。 升降电压高,油滴移动速度快,反之则慢。 该电压在电表上无指示。
④12 V 的CCD 电源电压。
【实验内容及步骤】
1.仪器调节
①将油滴照明灯接2.2 V 电源,平行极板接500 V 直流电源,电源插孔都在电源后盖上。
②调节调平螺丝,使水准仪的气泡移到中央,这时平行极板处于水平位置,电场方向和重力平行。
③将“均衡电压”开关置于“0”位置,“升降电压”开关也置于“0”位置。 将油滴从喷雾室的喷口喷入,视场中将出现大量油滴,犹如夜空繁星。 如果油滴太暗,可转动小照明灯,使油滴更明亮,微调显微镜,使油滴更清楚。
2.测量练习
(1)练习控制油滴
当油滴喷入油雾室并观察到大量油滴时,在平行极板上加上平衡电压(约300 V,“+”或“-”均可),驱走不需要的油滴,等待1 ~2 min 后,只剩下几颗油滴在慢慢移到,注意其中的一颗,微调显微镜,使油滴很清楚,仔细调节电压使这颗油滴平衡;然后去掉平衡电压,让它达到匀速下降(显微镜中看上去是在上升)时,再加上平衡电压使油滴停止运动;之后,再调节升降电压使油滴上升(显微镜中看上去是在下降)到原来的位置。 如此反复练习,以熟练掌握控制油滴的方法。
(2)练习选择油滴
要做好本实验,很重要的一点就是选择好被测量的油滴。 油滴的体积既不能太大,也不能太小(太大时必须带的电荷很多才能达到平衡;太小时由于热扰动和布朗运动的影响,很难稳定),否则,难于准确测量。 对于所选油滴,当取平衡电压为320 V,匀速下降距离l=0.200 cm所用时间约为20 s 时,油滴大小和所带电量较适中,测量也较为准确。 因此,需要反复试测练习,才能选择好待测油滴。
(3)速度测试练习
任意选择几个下降速度不同的油滴,用秒表测出它们下降一段距离所需要的时间,掌握测量油滴速度的方法。
3.正式测量
由式(5.24)可知,进行本实验真正需要测量的量只有两个,一个是油滴的平衡电压Vn;另一个是油滴匀速下降的速度——油滴匀速下降距离l 所需的时间t。
①测量平衡电压必须经过仔细调节,应该将油滴悬于分化板上某条横线附近,以便准确地判断出这颗油滴是否平衡,仔细观察1 min 左右,如果油滴在此时间内在平衡位置附近漂移不大,才能认为油滴是真正平衡了。 记下此时的平衡电压Vn。
②在测量油滴匀速下降一段距离l 所需的时间t 时,为保证油滴下降的速度均匀,应先让它下降一段距离后再测量时间。 选定测量的一段距离应该在平行极板之间的中间部分,占分划板中间4 个分格为宜,此时的距离为l=0.200 cm,若太靠近上电极板,小孔附近有气流,电场也不均匀,会影响测量结果。 太靠近下极板,测量完时间后,油滴容易丢失,不能反复测量。
③由于有涨落,对于同一颗油滴,必须重复测量10 次。 同时,还应该选择不少于5 颗不同的油滴进行测量。
④通过计算求出基本电荷的值,验证电荷的不连续性。
4.注意事项
①喷油时,只需喷一两下即可,不要喷得太多,不然会堵塞小孔。
②对选定油滴进行跟踪测量的过程中,如果油滴变得模糊了,应随时调节显微镜镜筒的位置,对油滴聚焦;对任何一个油滴进行的任何一次测量都应随时调节显微镜,以保证油滴处于清晰状态。
③平衡电压取300 ~350 V 为最好,应该尽量在这个平衡电压范围内去选择油滴。 例如,开始时平衡电压可定在320 V,如果在320 V 的平衡电压情况下已经基本平衡时,只需稍微调节平衡电压就可使油滴平衡,这时油滴的平衡电压就在320 ~350 V 内。
④在监视器上要保证油滴竖直下落。
【数据处理与分析】
1.数据处理方法
根据式(5.24)和式(5.18)可得



显然,上面的计算是近似的。 但是,一般情况下误差仅在1%左右。
将式(5.26)所得数据除以电子电荷的公认值e=1.602×10-19C,所得整数就是油滴所带的电荷数n,再用n 去除实验测得的电荷值,就可得到电子电荷的测量值。 对不同油滴测得的电子电荷值不能再求平均值。
2.数据表格
将实验数据填入表5.7 中。
表5.7 密立根油滴实验数据

【课后讨论】
①为什么对选定油滴进行跟踪时,油滴有时会变得模糊起来?
②通过实验数据进行分析,指出作好本实验关键要抓住哪几步? 造成实验数据测量不准的原因是什么?
③为什么对不同油滴测得的电子电荷最后不能再求平均值来得到电子电荷的测量值?