2.翻译
现在我们就可以结束关于转录的讨论了。基因既已将自己的遗传信息交给了mRNA,接下来的任务就是mRNA按照基因的蓝图制造蛋白质了。犹如皇帝深居皇宫中颁布圣旨一样,真核的DNA也在细胞核内将指令传给mRNA,接令后的mRNA就离开细胞核,到细胞质的广阔天地中去生产蛋白质。当然,原核细胞的DNA没有“深宫大院”,mRNA也就无需穿越核了。蛋白质的合成是在被称为核糖体的部位进行的,此处可以看作生产蛋白质的工厂。核糖体本身有维持结构所需的核糖体RNA(rRNA,r代表核糖体)以及在蛋白质合成中起不同作用的蛋白质。当然,这里也需要把蛋白质的合成原料氨基酸源源不断地运进工厂的车辆,这就是转载(或转移)RNA(tRNA)。
从一开始我们就知道,DNA和RNA都是由核苷酸组成的,只不过DNA核苷酸上的糖为脱氧核糖,碱基为A、T、C、G,相互的配对是:A=T,C=G。RNA核苷酸上的糖为非脱氧核糖,碱基为A、U、C、G,相互的配对是:A=U,C=G。为简便起见,两者相应的核苷酸也分别叫作A、T、U、C、G。蛋白质是由氨基酸按一定顺序排列构成的,而DNA和mRNA携带的遗传信息如何变成氨基酸的排列顺序呢?原来每3个核苷酸决定1个氨基酸,这种对应关系叫作遗传密码,每3个(相邻)核苷酸叫1个密码子。遗传密码表如下页图(其中TERM为终止密码子),图中所示的核苷酸是mRNA的核苷酸,mRNA是DNA的转录物,它的核苷酸序列与DNA完全相同,只是以U代替了T。
由于核苷酸有4种,3个核苷酸决定1个密码子,则密码子总数应为43=64。下页图中也列出了64个密码子,而氨基酸只有20种,这意味着一个氨基酸可能有2个或2个以上的密码子,此外还有3个密码子是蛋白质的终止信号,不决定任何氨基酸,于是决定氨基酸的密码子共有61个。

遗传密码表
现在,再回过头来继续谈蛋白质的合成过程。如前所述,核糖体是蛋白质合成工厂,真核和原核生物的核糖体基本相似,每个核糖体都由大小两个车间组成(专业术语叫作大亚基和小亚基)。但真核核糖体较大,为80 S;原核核糖体较小,为70 S。S是间接反映相对分子质量大小的单位,称为沉降系数,即物质在离心时沉降快慢的量度。物质质量愈大,沉降愈快,S值也就愈大。此外,S值也与物质的形状有关,所以,一种物质的S值不是简单地将其组成部分的S值加合。有了这一基础,就不难理解80 S的真核核糖体是由40 S小亚基和60 S大亚基组成,70 S的原核核糖体是由30 S小亚基和50 S大亚基组成这一事实了。
蛋白质的合成过程分为起始、延伸和终止三个阶段。起始阶段指最初的两个氨基酸形成第一个肽键阶段,牵涉到核糖体与mRNA形成起始复合物,此阶段速度比较缓慢。延伸阶段指从第一个肽键形成后到加上最后一个氨基酸的阶段,每个氨基酸的连接速度非常快。终止阶段指合成好的肽键从核糖体解脱的阶段。每个阶段都有相应的蛋白质因子参加。
核糖体是一个流动工厂,即在蛋白质合成过程中它沿着mRNA链从第一个密码子向最后一个密码子逐渐移动。如下图所示,携带氨基酸的tRNA进入核糖体,核糖体按照mRNA密码子的顺序依次以其小亚基与mRNA结合,鱼贯前进,结果合成一条完整的肽链,一条mRNA链上可以有多个核糖体,因此,可先后合成几个蛋白质分子。图中帽状物代表核糖体,上部为大亚基,下部为小亚基,三叶草状物代表tRNA。
核糖体的小亚基先与mRNA分子结合,再与大亚基连接成一个完整的核糖体,行使蛋白质合成功能。虽然下图显示了三个核糖体与一个mRNA分子结合的状况,但实际上一个mRNA分子可以同时结合几个核糖体,即第一个核糖体从相应于肽链起始处的mRNA部位向前移动后,便留出空位给下一个核糖体结合之用,以此类推。这样,就可以同时合成几个肽链,大大提高了蛋白质合成效率。(https://www.daowen.com)

翻译——蛋白质合成过程
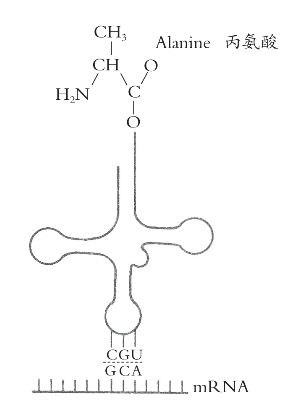
在翻译过程中,如何保证能按照mRNA的遗传信息合成正确的蛋白质呢?换句话说,如何保证蛋白质合成的准确性呢?这就牵涉到翻译的第三大要素,即上面说的tRNA。tRNA的形状有如三叶草,如下图所示,它的上部是所携带的氨基酸,下部是与mRNA上相应的密码子互补的反密码子,借以保证两者正确结合。图中虚线处是反密码子与密码子互相配对的碱基,图中环状部分是无法配对的碱基。tRNA有许多特点,但只要记住对理解翻译准确性有重要意义的两个特点就够了——一个是在其环状部分的基部有一个反密码子,一个是与反密码子遥相对应的另端有一个接受氨基酸的接受端。前者有助于识别mRNA上的密码子,后者可以携带与反密码子相应的氨基酸。 密码子与反密码子的互补关系以及反密码子同氨基酸的对应关系,保证了翻译能够一丝不苟地准确进行,即有什么样的mRNA,就有什么样的蛋白质。合成的蛋白质再经过适当的加工,加上一定的基因(磷酸化和糖苷化等),并卷曲或折叠成一定构型,以便行使结构蛋白、功能蛋白或酶的作用,从而使生物体表现出应有的特征。

tRNA的三叶草状结构
基因表达的全过程,可以综合描述成下页图所示。首先,RNA聚合酶结合于DNA上,使DNA在结合部位解开螺旋,开始转录,并沿DNA分子前进;转录出的部分mRNA进入细胞质,被携带tRNA的核糖体小亚基结合,开始翻译;转录到达终点时,mRNA被释放出来,翻译继续进行,最后合成数个蛋白质分子。
以上从细胞和分子水平上介绍了遗传的物质基础。是不是光有司令就有了一切呢?有将没有兵自然不行,而且兵的素质直接影响到将令的贯彻与否以及贯彻的质量。对于基因来说,环境因素十分重要,它决定着性状能否得以表现以及表现的水平。基因犹如建筑物的图纸,环境就是建筑材料,虽然建筑物的格局已定,但若缺乏原料,或者以次充好,建筑物不是建不起来,就是质量低劣。因为生命活动归根到底是一系列生化反应的结果,虽然基因产物蛋白质为生化反应的进行提供了必需的酶类,但反应还需一定的条件,诸如温度、光照、原料(即酶催化的底物)、酸碱度、湿度、离子强度等。这些变量往往影响反应能否进行以及反应程度和反应速度。因此,基因决定的性状会有不同的表现。
