5.1.2 债务资本成本

5.1.2 债务资本成本

债务资本包括银行贷款和企业发行的债券,因此债务资本成本可以分为银行借款资本成本和债券资本成本。

1.银行借款资本成本

银行借款资本成本主要是借款时一次性支付的筹资费用和以后定期支付的利息,因为这两种费用都可以在所得税前扣除,所以银行借款资本成本要从税后角度计算。计算银行借款资本成本有两种方法。

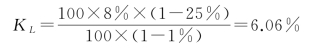
①不考虑货币时间价值。此时银行借款资本成本就是税后利息与实际获得的可使用资金的比率,计算公式为:

式中,KL为银行借款资本成本;IL为银行借款年利息;L为银行借款筹资总额;T为所得税税率;F为银行借款筹资费率。

②考虑货币时间价值。考虑货币时间价值时,能使借款净额等于未来每年支付的利息及期满偿还本金的现值时的贴现率即为银行借款资本成本,计算公式如下:

式中,P为银行借款本金;n为贷款期限;其他符号的含义同前。

由于式中考虑了所得税,因此所确定的资本成本即为银行借款的税后成本。假设不考虑所得税,式(5-4)右边第一项对每年利息进行贴现,所确定出来的贴现率即为银行借款的税前资本成本。

【例5-1】 企业借入一笔期限3年的银行借款100 万元,年利率为8%,每年付息一次,到期还本,筹资费率为1%。假设企业所得税率为25%,分别用式(5-3)和式(5-4)计算这笔银行借款的资本成本。

解 不考虑货币时间价值时,根据式(5-3)有:

考虑货币时间价值时,根据式(5-4)有:

利用插值法,得到:

KL=6.38%

2.债券资本成本

(1)债券资本成本计算

企业发行债券筹集资金时,债券利息也是在税前支付,同样可以为企业带来抵税收益。债券发行费用较高,主要包括申请费用、注册费用、佣金等。债券发行价格也未必等于债券面值,有溢价发行或折价发行的情况。债券资本成本的计算同银行借款资本成本一样,也可以分为考虑货币时间价值和不考虑货币时间价值两种情况。

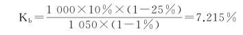
①不考虑货币时间价值。同银行借款资本成本一样,债券资本成本就是税后利息与实际获得的可使用资金的比率,计算公式为:

式中,Kb为债券资本成本;Ib为债券年利息;B为债券融资额,由发行价格确定;其他符号的含义同前。

②考虑货币时间价值。当考虑货币时间价值时,企业发行债券筹得的可用资金总额应等于未来每年利息支付额(税后)和到期本金的现值,使该等式成立的贴现率即为债券资本成本,计算公式如下:

式中,M为债券面值;其他符号的含义同前。

【例5-2】 M 企业发行债券1 000万元,面额1 000元,按溢价1 050元发行,票面利率为10%,所得税率为25%,发行筹资费率为1%,每年付息一次,10年后还本。分别利用式(5-5)和(5-6)计算该债券的资本成本。

解 不考虑货币时间价值时,根据式(5-5)有:

考虑货币时间价值时,根据(式5-6)有:

根据插值法,得到:

Kb=6.985%

③债券到期报酬率与资本成本

在式(5-6)中,如果将F 换为投资者的投资费用,投资者和发行企业所得税率相同,则该式实质上是用债券到期报酬率来代替资本成本。如果公司违约风险很低,就可以近似地用债券到期报酬率估计债券投资者的期望报酬率。然而,如果企业违约风险高,则会高估投资者的期望报酬率。

为了理解债务到期报酬率和期望报酬率之间的关系,考虑债券到期报酬率为y 的1年期债券。今天投资1元钱于该债券,该债券承诺1年后支付(1+y)元。如果该债券违约的概率为p,在违约情况下,债券持有者将仅仅收到(1+y-L)元,其中L 表示违约时每1元钱投资的预期损失。则该债券的期望报酬率[1]为:

3.税盾

债务成本中,利息可以在支付所得税前扣除,因此对于企业来说支付的利息不全是成本,这也是上述的公式中利息要乘以(1-T)的原因,使用债务资金而产生的抵税收益就称作税盾。税盾的价值可以用(式5-8)计算:

式中,PVIFAi,n为利率为i、期限为n 的普通年金现值系数;其他符号含义同上。

【例5-3】 续例5-2,假设该公司平均资本成本为10%,估计该债券的税盾价值。根据式(5-8)得:

税盾=1 000×10%×25%×PVIFA10%,10=153.615万元