6.3.2 债券估价

6.3.2 债券估价

债券估价具有重要的实际意义。企业要运用债券形式从资本市场上筹资,必须要知道它如何定价。如果定价偏低,企业会因付出更多现金而遭受损失;如果定价偏高,企业会因发行失败而遭受损失。对于已经发行在外的上市交易的债券,估价仍然有重要意义。债券的价值体现了债券投资者要求的报酬,对于经理人员来说,不知道债券如何定价就是不知道投资者的要求,也就无法使他们满意。

1.基本估价模型

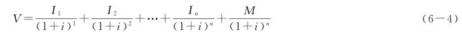
典型的债券采用固定利率,每年计算并支付利息,到期归还本金。按照这种模式,债券估价的基本模型是:

式中,V为债券价值;I为每年支付的利息;M为到期的本金;i为贴现率,一般采用当时的市场利率或投资者要求的最低报酬率;n为债券到期前的年数。

【例6-4】 某附息债券的面值为1 000元,票面利率为9%,每年付息一次,下一次利息支付正好在一年以后,期限为10年,适当的贴现率为10%。请计算该债券的价值。

解 

2.平息债券的估价模型

平息债券是指利息在到期时间内平均支付的债券,利息支付的频率可能是一年一次、半年一次或每季度一次等。平息债券的估价模型如下:

式中,V为债券价值;I为每年支付的利息;M为到期的本金;i为贴现率,一般采用当时的市场利率或投资者要求的最低报酬率;n为债券到期前的年数;m为每年付息的次数。

3.纯贴现债券估价模型

纯贴现债券是指承诺在未来某一确定日期作某一单笔支付的债券。这种债券在到期日前购买人不能得到任何现金支付,因此也称为零息债券。零息债券没有标明利息计算规则的,通常采用按年计息的复利计算规则。纯贴现债券的估价模型如下:

式中,V为债券价值;F为债券到期的价值;i为贴现率;n为债券到期前的年数。