5.2.1 经营杠杆

5.2.1 经营杠杆

1.经营杠杆效应与经营风险

大多数企业的经营活动是固定和变动生产因素的结合,从而分别引起了变动和固定成本。企业在生产经营中会有这么一种现象:在单价和成本水平不变的条件下,销售量的增长会引起息税前利润以更大的幅度增长,这就是经营杠杆效应。经营杠杆效应产生的原因是,不变的固定成本下,当销售量增加时,变动成本将同比增加,销售收入也同比增加,但固定成本总额不变,单位固定成本以反比例降低,这就导致单位产品成本降低,每单位产品利润增加,于是利润比销量增加得更快。具有高杠杆的公司主要是资本密集型公司,它们对经营周期的波动十分敏感,在商业活动下降时期,随着公司销售额的下降,息税前利润会以更大比例下降;在商业活动上升期,情况则相反。

【例5-8】 考察M公司连续3年的销量、利润资料,如表5-4所示。

表5-4 M公司盈利情况资料(金额单位:元)

由表5-4可见,从第一年到第二年,销售量增加了100%,息税前利润增加了125%;从第二年到第三年,销售量增加了50%,息税前利润增加了55.56%。利用经营杠杆效应,企业在可能的情况下适当增加产销量会取得更多的盈利。但我们也必须认识到,当企业遇上不利情况而使销售量下降时,息税前利润会以更大的幅度下降,即经营杠杆效应也会带来经营风险。

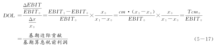
2.经营杠杆系数及其计算

经营杠杆系数(DOL)也称经营杠杆率,是指息税前利润变动率相对于销售量变动率的倍数,其定义公式为:

式中,EBIT0表示基期息税前利润;x0表示基期销售量。

根据表5-4的资料,可以算得第一年经营杠杆系数为1.25,第二年经营杠杆系数为1.11。利用上述公式计算经营杠杆系数时必须掌握息税前利润变动率与销售量变动率,这些是事后反映,不便于利用DOL进行预测。为此,我们设法推导出一个只需用基期数据计算经营杠杆系数的公式。

以下标“0”表示基期数据,下标“1”表示预测期数据,推导如下:

式中,cm 表示单位边际贡献;Tcm 表示总边际贡献;其他符号的含义同前。