7.3.2 贴现方法

7.3.2 贴现方法

贴现方法考虑货币时间价值,这类方法的指标主要包括净现值、现值指数和内含报酬率。这些指标的计算体现了折现现金流的思想,即把未来现金流折现,使用现金流量的现值计算各种决策指标并进行决策。

1.净现值

净现值(Net Present Value,NPV)是指项目投产后每年现金净流量的总现值减去投资额的现值后的余额,或投资项目各年现金净流量的现值之和。净现值法就是根据净现值的正负来判断投资项目是否可行的方法。

净现值是长期投资决策的基础指标,也是最为重要的动态评价指标。它既可以用来评价一个投资项目可行与否,也可以用来找出两个以上投资项目中的较优者。

(1)净现值的计算

净现值的计算需要按照一定的贴现率进行折现,贴现率可以是资本成本,也可以是企业要求达到的报酬率或基准折现率。计算公式为:

式中,K为折现率或资本成本;NCFt为投资项目在第t年年末的现金净流量;n为项目计算期;S为项目建设期。

当建设期为0时,期初投资总额为I,则上式可以简化为:

净现值的计算步骤如下:

第一步:计算项目计算期内每年的现金净流量。

第二步:选用适当的折现率,确定投资项目各年现金净流量的折现系数。

第三步:将各年现金净流量乘以相应的折现系数求出现金净流量的现值。

第四步:汇总各年现金净流量现值,得出投资项目的净现值。

(2)净现值法的决策规则

净现值法的决策规则为:当只有一个备选方案时,若NPV>0,则方案可行,可以采纳;若NPV≤0,则方案不可行,应舍弃。当有多个备选方案的互斥项目以供选择时,应选用净现值大于0者中的最大者。

对于某一项目来讲,或对于投资额相同的项目比较来讲,NPV 越大越好。但当多个项目的投资额不相等时,各项目的净现值数额对比关系不能体现出项目的绝对优劣。

净现值法所依据的原理是:假设预计的现金流入在年末实现,并把原始投资看成按预定折现率借入的,如果投资项目的净现值为正数,说明该项目的报酬率超过折现率,说明用投资产生的收益偿还借入资金本息后仍然有余额;当净现值为负数时,说明投资产生的现金流量无法偿还借款本息;当净现值为0时,说明偿还本息后投资者一无所获。净现值的经济意义是投资项目折现后的净收益。运用净现值法对投资项目进行评价,关键是现金流量及折现率的确定。

【例7-5】 以前述例7-1的资料为基础,假设宏达公司的资金成本率为10%,计算Ⅰ方案与Ⅱ方案的净现值,并对两方案的财务可行性作出评价。

解 Ⅰ方案的建设期为0,正常经营期为5年,各年现金净流量(见表7-1)都相等,则:

或见Ⅰ方案的净现值大于0,故方案可行。

Ⅱ方案的建设期为0,正常经营期为5年,各年现金净流量(见表7-1)不相等,具体计算见表7-6。

可见Ⅱ方案的净现值为19.98万元,大于0,故方案可行。

如果要在以上两个方案之间作出取舍,那么应该采纳Ⅰ方案,放弃Ⅱ方案。因为Ⅰ方案既有较小的投资额,同时又能产生较大的净现值。

表7-6 Ⅱ方案的NPV计算表

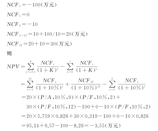
【例7-6】 宏达公司拟建一项固定资产,需要投资100万元,按直线法计提折旧,使用寿命10年,期末无残值,预计投产后每年获净利10万元,假定该项目的行业基准折现率为10%。要求:在以下两种独立情况下计算项目的净现值:

(1)该项目的建设期为0。

(2)该项目的建设期为2年,建设期末有10万元的流动资金垫支。

解 下面对以上两种情况进行分析。

(1)本项目建设期S=0,投资额I=100万元,项目计算期为n。

项目投产后每年现金净流量均为10+100/10=20(万元),符合普通年金的计算形式,所以可以直接用年金公式计算如下:

在情况(1)下,项目的净现值大于0,故项目可行。

(2)本项目建设期S=2,投资额I=100+10=110(万元),项目计算期n=10+2=12(年),项目各年的现金净流量如下:

在情况(2)下,项目净现值小于0,故项目不可行。

(3)净现值法的特点

①净现值法考虑了货币时间价值,能够反映各种投资项目的净收益。由于投资项目的投资报酬率和投资支出发生在项目的不同时期,两者建立在同一时点上的比较才合理,而净现值充分考虑了项目生命周期(建设期和经营期之和)中全部现金流量的时间价值,能够较好地反映投资项目的收益。

②净现值法考虑了投资项目的风险性,净现值法下的折现率与投资项目的风险直接相关,在确定该比率时,要求选择与投资项目的风险和报酬率类似的项目作为基础拟定,这在一定程度上考虑了投资项目的风险,其取舍标准较好地体现了财务管理的基本目标——公司价值最大化。

③净现值是一个绝对数指标,只能反映某个单独投资项目的投资与收益的关系,当几个互斥项目的投资额不等或者效益期限不同时,仅用净现值无法确定投资项目的优劣。

④折现率通常指投入资本的机会成本,即投资者在资本市场上以风险等价的投资所要求的报酬率。具有类似报酬率和风险的项目较难找到,其确定比较困难,常常难以摆脱主观性成分,而它对计算净现值有着非常重要的影响。

⑤净现值并不能揭示出项目本身能达到的实际报酬率水平。下面要呈现的内含报酬率则能够弥补这一缺陷。

2.内含报酬率

内含报酬率(Internal Rate of Return,IRR)也称内部收益率,是指对投资项目未来每年的现金净流量进行折现,使未来现金净流量的总现值正好等于投资额的折现率,或者说,内含报酬率是使投资项目的净现值等于零时的折现率。它反映了一个投资项目自身实现的投资收益率水平。

内含报酬率法就是将投资项目的内含报酬率与投资项目的资本成本进行比较,以确定投资项目是否可行的一种方法。

(1)内含报酬率的计算

内含报酬率是满足下列等式的K 值:

式(7-11)中等式左边是经营现金净流量的现值之和,等式右边是建设期全部投资的现值之和,式中符号含义同前。

内含报酬率的计算可以采用逐步测试法和插值法,或者采用Excel中的IRR 函数来计算。下面先介绍逐步测试法和插值法,应用Excel中的IRR 函数的方法在本章最后一节介绍。

①如果项目投资均于建设起点一次性投入,建设期为0,即建设起点的现金净流量等于原始投资额的负值,NCF0=-I,而且经营期每年的现金净流量都相等,即NCF1=NCF2=…=NCFn。则内含报酬率可以按下式确定:

式中,I为原始投资额;(P/A,IRR,n)为以IRR为折现率的n 期的年金现值系数;NCF为投产后1~n年的每年相等的现金净流量。

具体计算步骤如下:

第一步,计算年金现值系数,即(P/A,IRR,n)=I/NCF。

第二步,根据上一步计算出的年金现值系数,查n年的年金现值系数表,如果恰好能找到有系数等于所计算的年金现值系数(P/A,IRR,n)(即要求必须达到的系数),则该系数所对应的折现率即为所求的内含报酬率IRR。

第三步,如果系数表中查不到所要求的系数,则可以利用系数表上同期略大于及略小于该系数的两个临界值及其对应的两个折现率,应用插值法计算近似的内含报酬率。

【例7-7】 以前述例7-1的资料为例,计算宏达公司Ⅰ方案的内含报酬率。如果该公司的资本成本率为13%,试判断方案的财务可行性。

解 该方案的NCF1~5=90万元,NCF0=-300万元,符合年金的计算形式,故:

(P/A,IRR,n=I/NCF=300/90=3.333

查5年的年金现值系数表得:

(P/A,15%,5)=3.352>3.333

(P/A,16%,5)=3.274<3.333

由此可知,所要求的IRR 必定介于15%与16%之间。应用插值法可得:

可见该方案的内含报酬率大于资本成本,因此方案可行。

②如果不存在上述规律,则内含报酬率的计算必须采用逐次测试的方法。

首先估计一个折现率,以该折现率测算投资项目的净现值,如果净现值大于零,说明投资项目本身的报酬率超过估计的折现率,应提高折现率后进一步测试;如果净现值小于零,说明投资项目本身的报酬率低于估计的折现率,应降低折现率后进一步测试。经过反复测试直至找到使净现值等于或接近于零的折现率,即为项目本身的内含报酬率。

如果经过上述的有限次测试仍未求得内含报酬率,且已经无法继续利用有关货币时间价值系数表,则可利用最为接近0的两个净现值正负临界值NPVm和NPVm+1及相应的折现率Km和Km+1,应用插值法计算近似的内含报酬率。即如果下列关系成立:

则可用下列关系式计算内含报酬率:

【例7-8】 以前述例7-1的资料为例,计算宏达公司Ⅱ方案的内含报酬率。如果该公司资本成本率为13%,试判断方案的财务可行性。

解 宏达公司Ⅱ方案各年的现金净流量分别为-390、97.5、95.25、93、90.75、178.5(单位:万元),按照逐次测试的方法,设定折现率并计算净现值,据此判断调整折现率,得到以下数据:

表7-7 内含报酬率测算表

最接近于0的两个净现值正负临界值分别为+8.82和-8.94,相应的折现率分别为11%和12%。采用插值法计算如下:

由此推出:

IRR=11.5%

可见该方案的内含报酬率小于资本成本,因此方案不可行。

(2)内含报酬率法的决策规则

内含报酬率是一个贴现的相对量正指标。采用这一指标进行决策时,要区分单一项目财务可行性的决策分析与多个互斥项目的抉择问题。

对于采纳与否的单一项目而言,先设定一个基准的必要报酬率k(一般可用企业的资金成本),如果项目的IRR 大于k,则项目可行;否则项目不可行。项目的IRR 越是大于资本成本,即使此项投资是以借款进行的,在还本付息后,该投资项目仍能给企业带来较多的剩余收益。

对于几个互斥项目的优选决策,先选择内含报酬率大于其资本成本的项目,然后进行如下判断:如果各项目投资额相同,则内含报酬率最大的项目最好;如果各方案的原始投资额不等,其决策标准应是“投资额×(内含报酬率-资本成本)”最大的项目为最优项目。

还可能存在一些特定的项目投资,它们的目的或是为了提高士气,或是为未来发展提供选择机会,或是为了社会公益等,这些项目投资具有在所估计的现金流量中无法反映的、不能忽视的重要效益,这些投资可能因为改善了投资的整体风险而创造价值。所以,不是任何时候都要求内部报酬率一定要大于资本成本率。

(3)内含报酬率法的特点

内含报酬率法的优点是考虑了货币时间价值,能够反映投资项目的真实报酬率。缺点在于计算过程比较复杂;在现金流量呈不规则变化时,有时可能出现多个或没有内含报酬率的问题,不利于投资决策分析;在互斥项目的抉择中,利用这一指标有时会得出与净现值法不同的结论(这时应以净现值法为准)。

3.现值指数

现值指数(Profitability Index,PI)是指投资项目未来现金净流量的总现值与投资总额的现值的比率,也称为获利指数、贴现后收益与成本比率。现值指数法就是根据获利指数的大小来判断投资项目是否可行的一种方法。

(1)现值指数的计算

式中各符号的含义同前;分子为未来收益的现值合计,分母为项目投资额的现值合计。

(2)现值指数法的决策规则

现值指数法的决策规则为:对于采纳与否的单一投资项目,若PI≤1,则项目不可行,应舍弃;若PI>1,则项目可行,应接受该项目。PI 越大越好。

对于互斥投资项目的抉择,一般应选择现值指数最大的项目。但这样选择有时也会得出错误的结论,应结合净现值、内含报酬率以及投资回收期指标全面分析。

【例7-9】 以前述例7-1的资料为基础,假设宏达公司的资本成本率为10%,计算Ⅰ方案与Ⅱ方案的现值指数,并对两方案的财务可行性作出评价。

解 Ⅰ方案的建设期为0,正常经营期为5年,各年现金净流量(见表7-1)都相等,则:

式中,I为项目投资额。

可见Ⅰ方案的现值指数大于1,故方案可行。

Ⅱ方案的建设期为0,正常经营期为5年,各年现金净流量(见表7-1)不相等,则其计算需要采用复利现值系数(见表7-6),如下所示:

表7-6 Ⅱ方案的PI计算表

可见Ⅱ方案的净现值为1.05万元,大于1,故方案可行。

两个方案相比较而言,Ⅰ方案的现值指数大于Ⅱ方案的,所以Ⅰ方案的投资效益大于Ⅱ方案的投资效益。

(3)现值指数法的特点

现值指数法和净现值法的基本原理在本质上是一样的,都是将未来现金净流量的总现值与投资总额的现值进行比较来取舍投资项目。在对未来现金净流量折现时通常取资本成本作为折现率。

4.几种贴现方法决策指标的比较

净现值法和现值指数法的共同优点主要在于:考虑了货币时间价值,将投资项目经济寿命中每年的现金净流量按资本成本(折现率)进行折现,比较真实地反映出不同时期的现金流入对投资收益的不同作用这一事实;考虑了投资项目的最低盈利水平即投资的资本成本,反映了投资盈利的最低极限。它们之间又各有不同:净现值法使用的是绝对量指标,反映投资的效益;现值指数法采用的是相对量指标,反映投资的效率。

采用净现值法与采用现值指数法作出的选择有时会不一致,其原因在于投资额不等时,投资收益的绝对量与相对量之间会存在差异。究竟如何处理呢?一般而言,在投资额不同的互斥项目的选择中,遵循选择净现值最大的原则是正确的。当然也要根据具体情况具体分析。当资金相对充裕时,可以选择投资额较大而投资收益绝对数也较大的项目;当资金相对紧张时,可以选择投资额较小而现值指数较大的项目。遇到这些情况应综合权衡。

内含报酬率法考虑了货币时间价值,将未来的现金净流量进行折现后与投资总额比较来取舍投资项目,比较准确;考虑了投资项目的内含报酬率,便于与资本成本相比较,更能确保投资的效益最佳。

综上所述,每一种方法都有优缺点,投资者应结合投资项目的实际情况和企业本身的条件来选择适合的一种或几种方法进行项目投资决策。