8.4.3 存货决策

8.4.3 存货决策

存货决策涉及许多内容,决定进货项目、选择供应单位、决定进货时间和进货批量等均属于存货决策内容。其中前两项主要是采购部门、生产部门以及销售部门的职责,财务部门需要负责的主要是进货时间和进货批量的确定。

1.经济批量

经济批量(Economic Order Quantity,EOQ),又称为经济订货批量,是指一定时期内存货相关总成本最低的订货批量。

存货总成本由订货成本、采购成本、储存成本和缺货成本构成。影响存货总成本的因素比较复杂,其中较为直观的因素有订货批量,每次的订货批量越多,则订货成本越少,但储存成本越多;反之,则会降低订货成本,增加储存成本。

随着订货批量的变化,订货成本与储存成本二者此消彼长,二者的关系可以用图8-10表示。

图8-10 订货成本与储存成本之间的关系

除订货批量以外,还有其他因素会影响存货成本,为了解决问题,有必要简化或舍弃一些变量。下面先研究简单的问题。

(1)经济订货批量的基本模型

经济订货批量基本模型以下列假设为前提:

①采购存货能集中到货,而不是陆续到货,而且需要订货时便可立即取得订货。

②不允许缺货,即无缺货成本。良好的存货管理本来就不应该出现缺货现象。

③存货的需求总量或耗用量比较稳定并且可以预测。

④存货采购单价不变,即不存在商业折扣。进货日期完全由企业自行决定,并且每当存货数降为零时,下一批存货均能一次到货。

⑤企业现金充足,不会因现金短缺而影响进货。

⑥所需存货市场供应充足。不会因买不到需要的存货而影响其他。

基于以上假设,企业的存货成本构成项目中,缺货成本为0,采购成本不受采购批量的限制,缺货成本和采购成本为批量决策的无关成本。因此,基本模型中的经济批量是指一定时期内变动性储存成本和变动性订货成本总和最低的采购批量。由于存货的订货批量与固定性订货成本、固定性储存成本无关,因此下文所指订货成本与储存成本均指变动部分。可得出存货总本为:

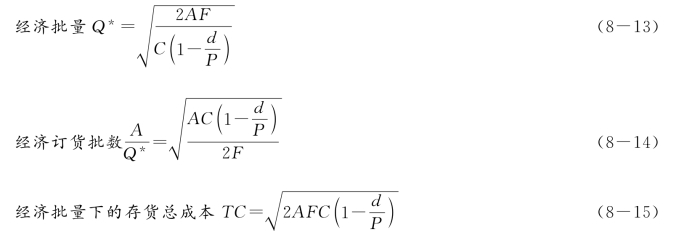
可进一步得出如下计算公式:

式中,TC为存货总成本;F为每批存货的订货成本;A为计划期内的存货需求总量;Q为存货订货批量;C为单位存货储存成本。

在式(8-6)中,自变量为Q,将TC 对Q 求导数TC′,当TC′=0时,订货批量就是最优存货订货批量。用求导数的方法得出以下公式:

【例8-5】 某企业预期全年需要甲零件80 000件,每订购一批的订货成本为300元,每一个单位甲零件的年储存成本为3元。求其最优经济订货批量。

经济订货批量也可以用图解法求得:先计算一系列不同订货批量的各有关成本,然后在坐标系上描出各有关成本构成的订货成本线、储存成本线和总成本线,总成本线的最低点(即订货成本线和储存成本线的交点)相应的订货批量即经济订货批量。

例如,根据例8-5的资料,计算得到不同订货批量下的有关成本数据如表8-6所示。绘制出不同订货批量下的有关成本变动情况如图8-11所示。可以清楚地看出,当订货批量为4 000件时,总成本最低,小于或大于这一订货批量都是不合算的。

表8-6 不同订货批量下的存货成本

图8-11 存货成本曲线图

从图8-11可以看出,经济批量也就是总成本曲线的最低点时的订货批量,总成本最低点正好是订货成本线和储存成本线的交点,即经济批量应为4 000件,此时的总成本最低为12 000元,该点的订货成本与储存成本相等。

(2)有数量折扣的经济订货批量模型

在上述经济批量分析中,假定价格不随批量而变动。但在实际工作中,许多企业为了鼓励客户购买更多的产品,通常会给予不同程度的价格优惠,即实行商业折扣或称价格折扣。客户购买的产品越多,所获得的价格优惠越大。在这种情况下,除了考虑订货成本和储存成本外,还应考虑采购成本。因为此时的存货采购成本已经与订货批量的大小有了直接的联系,属于批量决策的相关成本。

有数量折扣的经济订货批量模型是运用基本模型计算出经济批量及存货总成本,再扣除折扣金额,从而进行比较优选。有数量折扣时的存货总成本公式如下:

确定经济批量的具体步骤如下:

①按照经济订货批量的基本模型确定经济批量。

②计算按上一步确定的经济批量订货时的存货总成本。

③计算按给予数量折扣的批量订货时的存货总成本。

④比较不同批量的存货总成本,最低存货总成本对应的订货批量就是有数量折扣的最优经济订货批量。

【例8-6】 假设例8-5中每件零件的价格为10元,但如果一次订购达到5 000件,可给予2%的价格折扣,问应以多大批量订货?

解 此时如果要确定最优订购批量,就要按以下两种情况分别计算三种成本的合计数。

(1)按经济批量采购,不取得数量折扣,此时存货总成本应为:

(2)不按经济批量采购,取得数量折扣,必须按5 000 件的批量采购,此时存货总成本为:

将以上两种情况存货的总成本进行对比可知,订货批量为5 000件时总成本较低,所以应该以5 000件作为订货批量。

(3)陆续到货的经济订货批量模型

在建立基本模型时是假设存货一次全部到货的,故存货增加时存量变化为一条垂直的直线。事实上,各批存货可能陆续入库,使存量陆续增加。尤其是产成品入库和在产品转移几乎总是陆续供应和陆续耗用的。在这种情况下,存货储存量的变化情况可用图8-12表示,E表示平均储存量,E表示最高储存量。

假设每批订货量为Q,每日送货量为P,则该批存货全部送达所需日数为Q/P,故Q/P为送货期。假设零件每日耗用量为d,则送货期内的全部耗用量为(Q/P)×d。由于零件边送边用,所以每批订货全部送达时,存货储存量最高,这时的储存量为Q-(Q/P)×d。则平均存货储存量为:

图8-12 存货储存量变动图

这样,存货总成本为:

上式中,自变量为Q,将TC 对Q 求导数TC′,当TC′=0时,订货批量就是最优订货批量。用求导数的方法得出以下公式:

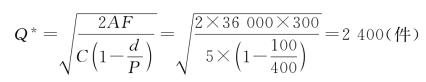
【例8-7】 B公司的产品需要某零部件,其预计年需用量为36 000件,平均每日耗用量为100件,单价为15元,一次的订货成本为300元,单位存货的年储存成本为5元,每日送货量为400件。求其最优经济订货批量。

解 将以上数据带入,可得出存货陆续供应和使用的经济订货批量为:

经济订购批数为:

经济批量下的存货总成本为:

陆续供应和使用的经济订货批量模型还可以用于自制零部件的投产批量决策问题、零部件是自制还是外购的抉择问题。自制零部件属于边送边用的情况,单位成本可能较低,但每批零部件投产的生产准备成本比一次外购的订货成本可能要高出许多。外购零部件的单位成本可能较高,但订货成本可能比较低。要在自制零部件和外购零部件之间作出选择,需要全面衡量它们各自的总成本才能得出正确的结论。这时,就可借用陆续到货或瞬时补充的经济订货批量模型。

【例8-8】 以例8-7的数据为基础,假设企业也可以利用其剩余生产能力自制该种零部件,自制的单位成本为13元。如果自制,每批零部件投产前的调整准备成本为400元,每日产量为500件。为B公司在自制与外购方案之间作出抉择。

解 第一,对于外购方案,前面已经计算出经济订货批量为2 400件,年订货成本和储存成本的最低值为9 000元。再考虑到采购成本也属于相关成本,那么外购方案的相关总成本为:

TC=9 000+36 000×15=549 000(元)

第二,对于自制方案,下面计算经济投产批量和相关成本。

年调整准备成本和储存成本之和的最低值为:

再加上自制零部件的生产成本,则自制方案的相关总成本为:

TC=10 733+36 000×13=478 733(元)

比较两种方案的相关总成本可见,由于自制方案的总成本低于外购方案的总成本,故自制方案为优。

2.再订货点与安全储备

实际上,在经济订货批量基本模型中,有两项假设是最不合理的,即“存货的需求总量稳定”与“采购存货能集中到货,而且可立即取得”。在实践中,每日需求量可能变化,交货时间也可能变化。为了对此进行修正,企业可以设定安全储备。

安全储备是指在下批订货的运送期内,能够满足异常及额外需要的存货量。为了保证生产和销售的正常进行,企业必须在生产材料用完之前订货。那么,究竟在上一批购入的存货还有多少时订购下一批货物呢?这就是再订货点的控制问题。

所谓再订货点,就是订购下一批存货时的储存量。存货储存量随着时间的推移而逐渐变化及再订货点的情况见图8-13。

图8-13 再订货点决策图

如果企业没有安全储备,那么再订货点的确定必须考虑平均每天耗用量(以n 表示)和从发出订单到货物验收完毕所用的时间及存货的实际运送期(以t表示)。再订货点可用下式计算:

【例8-9】 B公司某零件的每天正常耗用量为100件,订货的实际运送期为8天,请计算再订货点。

解 R=nt=100×8=800(件)

因此,当存货储存量降到800件时,B公司应当开始组织订货。

以上是企业没有安全储备时的再订货点决策。但企业往往需要保有一定的安全储备,这时再订货点的决定因素除了上面所述的以外,还必须考虑安全储备量。存货储备存降到运送期存货量与安全储备量之和时,即应组织订货。这时的存货储存量即为再订货点。因此,再订货点也可以用运送期存货量加上安全储备量来确定,如图8-13所示。

由于安全储备量是一直存在的,因而存货储存量的平均水平也会增加,此时平均存货储存量可以表示为:

运送期存货量和安全储备量由以下若干因素共同决策:

(1)运送期内的生产需求量,因为运送期存货量是从订货到收到货物这一时期的预期库存使用量,有效的采购系统能减少运送期的存货需求量。

(2)企业期望的安全期限也影响安全储备量的持有水平,如果存货短缺的成本很高,则企业通常会持有较多的安全储备,因为一旦库存不足,就会延误对客户的供货,从而可能丧失市场。

(3)持有存货的成本,包括存货处理成本、储存成本以及机会成本,简单地说,持有附加存货成本越高,安全储备量就越小。

存货太少可能导致客户的不满,从而使企业丧失市场,而存货太高又会增加存货成本,这两者的权衡决定了企业的存货水平。企业持有多少安全储备才合适,取决于存货中断的概率和存货中断的损失,最佳的安全储备量应该使缺货损失和安全储备的持有成本之和达到最低。

【例8-10】 某公司计划年度耗用某材料200 000kg,材料单价为120元,经济订货批量为25 000kg,全年订货8次,再订货点为1 200kg。单位材料年持有成本为材料单价的25%,单位材料缺货损失为30元。在运送期内,生产需求量及其发生概率如表8-7所示。该公司的最佳安全储备量为多少比较合适?

表8-7 公司运送期内不同生产需求的发生概率和数量

解 假设安全储备量为0,再订货点为1 200kg,则其缺货损失以及安全储备的持有成本计算如表8-8所示。

表8-8 缺货损失及安全储备的持有成本计算表(安全储备量为0)

假设安全储备量为100kg,再订货点为1 300kg,则其缺货损失以及安全储备的持有成本计算如表8-9所示。

表8-9 缺货损失及安全储备的持有成本计算表(安全储备量为100kg)

假设安全储备量为200kg,再订货点为1 400kg,则其缺货损失以及安全储备的持有成本计算如表8-10所示。

表8-10 缺货损失及安全储备的持有成本计算表(安全储备量为200kg)

通过以上计算分析可知,当安全储备量为100kg时,缺货损失与安全储备的持有成本之和最低。因此,该公司的安全储备量应选择为100kg比较合适。

上例中,确定安全储备量的过程考虑了运送期内生产需用量和安全储备的持有成本等因素。对于因延误引起的缺货,可以通过估计延误时间和平均每日耗用量来计算增加的安全储备量。