4.1.2 步行环境安全性的影响因素——以重庆市沙正街为例

4.1.2 步行环境安全性的影响因素——以重庆市沙正街为例

安全性是居民主动出行的重要保障,住区街道是人群步行的主要空间,住区街道空间安全对人群主动步行具有重要的促进作用。近年来,随着我国机动车数量的飞速增长,原本舒适宜人的街道空间被机动车占领,步行者受到排挤,人车矛盾加剧,街道的安全系数逐渐降低;城市生活性街道作为城市中数量最多,与居民日常生活关系最为紧密的街道,其安全问题也日渐突出。基于经验判断或定性研究,街道安全性对居民主动步行的作用已经进行了广泛研究,但是街道的空间指标与居民对街道安全性的感知之间的关系及强度鲜有涉及。本文使用模糊数学法和SPSS相关性分析将街道空间的空间指标与居民主观评价联系起来,检验了重庆市沙正街相关街道的安全性感知与客观特征之间的相关性,这对营造安全步行环境具有重要意义。

1)研究样本

沙正街位于重庆市沙坪坝区中心,沙坪坝区保留着传统的住区特征,如小尺度混合功能的用地划分和高密度的街巷体系。随着街道两侧大量高层住宅和沿街商业综合体模式的出现,该地区人群步行出行越来越频繁。

为客观反映步行安全环境的差异性,本节选择沙正街以及相连接的10条生活性街道作为研究样本,如图4.3所示。其街道特征为:①位于高密度住区;②街道提供交通、社交、游戏及休闲等多种功能;③行人、摩托车和汽车使用同一路面;④过境交通少。

图4.3 调查范围及主要研究街道编号

2)数据获取

调查开展于2013年5—11月,采用开放式访谈、路径实地行走、空间环境注记、问卷调查和活动观测等多种调查方式相互比对。其中,街道路网运用Google Earth卫星观测图获取;空间环境与安全状况采用现场观察、拍照等方式记录;问卷访谈对象选择每周步行到该街道2次及以上的人群,面对面开展访谈完成答题,问卷内容包括受访者的个体属性、出行情况、对该住区步行交通安全状况总体与各单项满意度评价,以及对住区步行安全影响因素的自我感知。

3)研究策略

根据相关研究,本文从道路设施、空间环境、交通管理3个方面对住区步行交通安全影响因素进行分析,如图4.4所示。

图4.4 住区街道步行安全评价指标体系

(1)道路设施

步行安全水平与道路条件存在密切关系。道路设施可从以下方面考虑:路段几何条件、交叉口设计、过街设施、路段安全设施。

(2)空间环境

适宜的街道空间环境可以缓和人流与车流的冲突,丰富街道的空间层次。空间环境可从以下方面考虑:步道障碍物、环境舒适度。

(3)交通管理

交通管理是为行人提供安全保障,侧重于处理道路交通中人、车、道之间的关系,使交通尽可能安全、通畅。交通管理可从以下方面考虑:交通秩序规范性、违法占道率。

4)数据分析方法

安全性评价是一个复杂的模糊系统,其评价往往不是确定的安全与不安全,而是采用模糊语言,采用模糊数学法较为科学。模糊数学法是应用模糊关系合成的原理,将一些边界不清不易定量的因素定量化,从多个因素对被评价事物隶属等级状况进行综合性评价的一种方法。运用模糊数学法的路径对街道步行安全评价和影响因素的差异性分析,具有合理性。

5)步行安全影响因素体系构建

通过第3章对步行环境安全性影响因素的综述,结合本次实证的实地调查访谈,建立起评价步行环境安全性的三级指标体系。

(1)调查访谈

对沙正街周边100位受访者的访谈,问及:“根据您的经历,在什么样的街道步行是安全的或者是不安全的?”搜集受访者对步行安全的主观印象,见表4.22。

表4.22 受访者正面(+)、负面(-)的访谈示例

从访谈表格内容可以看出,受访者主观感知的安全性影响因素主要集中在道路、环境、管理3个方面,这与国内学者(张殿业,2005)的研究一致。他们认为步行的安全性受到由人、车、道路、自然环境、人为环境和管理等要素构成的复杂动态系统的影响,人、车是主观可控制变量,道路、自然环境、人为环境和管理是不可控制的客观变量。步行的安全性在很大程度上取决于道路、环境、管理3项客观要素。

因此,本文在考虑受访者主观评判上,选取道路、环境、管理3项评价,以保证客观反映实际情况。

(2)体系构建

①道路设施:步行安全水平与道路条件存在密切关系。基于以下方面考虑:道路几何条件、交叉口设计、过街设施、路段防护设施。

②空间环境:适宜的街道空间环境可以缓和人流与车流冲突,丰富街道空间层次。基于以下方面考虑:步道障碍物、环境舒适度。

③交通管理:侧重于处理道路交通中人、车、道之间的关系,使交通尽可能安全、通畅。基于以下方面考虑:交通秩序规范性、违法占道率。

基于一级指标体系,按照系统性、科学性、公正性、定量与定性相结合、实用性等原则,建立8项二级指标、21项三级指标体系,尽可能涵盖居民关心的主要因素,如图4.4所示。

6)步行安全影响因素重要度评价

(1)评价指标值确定

鉴于三级指标较多,故用二级指标计算。各项评价指标的取值采用德尔菲法。邀请20位本地受访者进行实地调研与参阅相关资料,对每条街道8项指标采用百分制打分。每项评价指标参考李克特量表,分5级语义描述,见表4.23。接着使用20个分数的平均值作为每项评价指标的最终取值。

表4.23 评价指标值

续表

根据平均值统计数据,得到10条街道(编号为1~10的街道)的8项评价指标取值的样本矩阵D。

式中,dij表示第j个街道的第i项评价指标的取值;j=1,2,…,10,代表10条街道;i=1,2,…,8,代表8项指标。

(2)模糊数学法评价

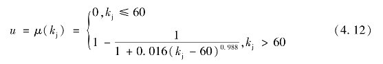
本文各项指标选取相同的隶属函数,确保在各项评价指标量纲不同的情况下实现各项指标值的无量纲化如下:

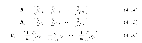
由样本矩阵D和隶属函数μ得到评价值关系矩阵R:Q×U→[0 1]:模糊向量A={a1a2… am},aj代表各项指标关于第一级评价的相对重要程度系数。假设各项指标在评价中的地位无显著差异,故对模型Bj(j=1,2)取a1=a2=…=am=1,对模型Bj(j=3)取a1=a2=…=am=1/m。可得到3种综合评价模型:

由关系矩阵R结合上述3种综合评价模型B1,B2,B3计算可得到总评价矩阵R1

权重向量A1={a1a2a3}中的元素a1,a2,a3分别表示3种模糊算子对M(∨∧)、M(乘幂∨)、M(·+)的相对重要性,即最大值、最小值和平均值的权重分配情况。根据3种模糊算子对各自的运算特征,以及运算结果的“粗糙性”为参考,计算得到A1={0.122 0.230 0.645}。

利用公式B=A1·R1,由权重向量A1和总评价矩阵R1,计算得到10条街道(编号1~10)的安全性模糊综合评价指数,见表4.24。

由表4.23可知,10条街道(1~10)的步行安全性由高到低的编号排序大致如下:7,6,10,9,2,5,1,4,8,3(编号见图4.3)。此评价结果与受访者的评价意见较为符合,说明本文建立的评价指标体系是合理的。

表4.24 10条街道步行安全性模糊评价指数

7)影响因素重要度评价

在安全性评价基础上,本文选择安全性最高的7号街道、一般的3号街道、最低的2号街道作为典型样本,以此求得三级指标中的3个最重要因素。

首先,采用德尔菲法得出各个指标的平均值,得到3条街道(编号为7,2,3)的三级指标取值样本矩阵D;其次,根据隶属函数μ得到评价关系矩阵R,求得总评价矩阵R1;最后,由权重向量A1和总评价矩阵R1,得到3条街道21项指标的重要性评价值,见表4.25。

由表4.25可知,机动车速度、业态活力、违规停车是影响步行安全性的最关键因素,机动车流量、人行横线、立体过街设施等次之,监控设施、道路平曲线等影响不大。

表4.25 21项因素重要性评价指数

8)相关方法验证

考虑到实际情况的复杂性和模糊数学法的单一性,运用模糊数学法的重要度评价结果可能有偏差。因此,运用SPSS分析和问卷调查法对结果进行验证。

(1)SPSS相关性分析

本文用SPSS软件对10条街道合计500份问卷做相关性分析,其对象为步行安全性与8项二级影响因素,结果表明(表4.26):①各个影响因素都会对街道步行安全的评价值产生影响,但影响程度不同;②交通秩序(p=.692)与评价值最相关,说明最受步行者关注,其次是环境舒适度(p=.682)、违法占道(p=.494);③交叉口设计、路段几何条件、步道障碍率等对安全性影响较小;④不同街道的相关性程度呈现类似特点。

表4.26 步行安全性与影响因素的相关性分析

注:p在0.5水平(单侧)上表示显著相关。

(2)问卷调查验证

对交通秩序、环境舒适度、违法占道3个二级指标的10个三级指标的重要性进行问卷调查。共发放问卷500份,有效收回问卷416份。当被问及哪个因素最能影响步行安全时,有31.8%选择“业态活力”,有26.3%选择“机动车速度”,有21.1%选择“违规占道停车”,剩下7项因素占20.8%。可见,业态活力、机动车速度、违规占道停车的确是影响步行安全性的最重要因素。

另外需指出:问卷调查中居民对“业态活力”的重要性程度感知大于“机动车速度”,这与模糊数学分析的结果有偏差。这说明步行作为慢速的出行方式,相比车行交通更容易受到环境的影响,居民对环境的感知强于对车速的感知,从而印证了居民对车速感知存在的盲区。

9)小结

安全性是影响居民主动步行意愿倾向的重要内容,对生活性街道的安全性进行评价研究是十分重要的。本节基于调查访谈和相关研究构建了步行安全影响因素体系,运用模糊数学法的路径对街道步行安全评价和影响因素进行差异性分析。最后采取SPSS相关性分析和问卷调查将空间指标与主观判断联系起来,认为步行的安全性在很大程度上取决于道路、环境、管理3项客观要素,街道业态活力、机动车速度、违规占道停车是影响步行安全性的最重要因素。

安全的步行环境对促进人群主动低碳出行、降低对私家车的依赖性、缓解车辆对环境的影响等方面具有重要作用。本节引入模糊数学法模型,对住区街道的步行安全性进行评价,并有助于发现影响步行安全的关键性因素,为从限制机动车速度、增加街道业态活力、控制占道停车3个方面制订安全改善措施提供科学依据。