6.1.1 步行环境舒适性的影响因素——以重庆江北区12个住区为例

6.1.1 步行环境舒适性的影响因素——以重庆江北区12个住区为例

住区是城市体系的有机组成部分,是城市最基本的组成单元,发挥着衔接宏观生态城市层面和微观绿色建筑层面的作用,对降低居住建筑能耗、改善社区居住环境、促进城市绿色发展等方面有重要意义。同时,住区也是各类人群步行活动范围的主要空间,人们对步行空间的感知需求在住区环境中显得尤为重要,尤其是以步行出行方式为主的老年人群体。

1999年我国60岁以上的人口比例达到了10%,65岁以上的人口比例超过了7%,按国际标准已经进入了老龄化社会。预计在21世纪中叶的2057年,我国老龄化水平将达到峰值,所占比重达到34.53%。老年人在身体上会出现生理、运动、免疫机能的下降,对环境的适应性降低,对空间环境安全性和舒适性的要求提高;在心理上,由于与原来社会网络的断裂,容易产生沮丧、孤独、失落等消极情绪。

基于此,本节以住区环境为研究对象,以老年人为样本,重点探寻促进老年人主动步行出行的住区环境要素及其特征。选取重庆市江北区的住区作为研究对象,通过问卷调查、现场勘测、GIS空间分析等方法,获取老年人的健康状况、步行出行行为、空间环境评价因子数据和老年人对空间环境的主观评价等数据,然后对步行行为数据与空间环境评价因子进行关联分析,得出影响老年人步行出行的空间环境要素对其影响程度,探讨适宜老年人步行出行的住区空间环境特征,如图6.1所示。

图6.1 实证研究方案思路

1)案例选取

针对重庆主城区新老城区不同的城市布局模式特点,选取江北区作为研究对象,因为一方面江北区完整地呈现了城市拓展的过程,兼有老城发展成熟期、老城更新调整期、城市功能拓展期等不同时期的城市布局形态,加之该地区地形相对比较平坦,便于与案例区进行比较,同时也有利于成果对国内同类地区的比较和借鉴(表6.1)。另一方面重庆在1994年底就已经进入人口老龄化,比全国提早了5年,其老龄化率高和老年抚养比均高于全国平均水平,具有较强的代表性。

基于此,本节共选定12个住区作为空间取样单元(图6.2、表6.2)进行满足老年人需求的步行空间探索。

表6.1 调查案例的类型和特征

(1)住区选取依据

在选定重庆市江北区作为空间取样点的前提下,根据研究需要再根据具体功能、环境的成熟度、配套设施的完善度3个方面的因素选定住区单元。

图6.2 12个住区案例分布图

①居住功能主导。所选取的住区以居住功能为主导辅以日常生活所必需的商业、娱乐休闲功能,但是所选住区不出现城市商业街、城市综合体、城市地标性建筑物、建筑古迹以及大型游览设施等易吸引外来购物、旅游、休闲的人群的公共设施,从而可以减少特定吸引力强的设施对研究结果的影响,更客观地研究普通住区空间环境对老年人步行出行的影响。

②住区环境成熟。住区所处建设阶段、配套公建设施完善程度、住区氛围等因素都会直接影响住区人口密度和配套设施布置,为保证研究结果的科学合理性,本次研究所选住区都具有一定的成熟度,主要表现在具备一定的人口规模,且老龄化现象较为明显,住区周边具有较完善的生活配套设施等方面。

③住区配套相对独立。为了减少观音桥商圈对研究样本的影响作用,住区选在距离观音桥商圈2 km以外的地带,选取居住配套设施相对完整的住区,这种住区能够满足老年人基本的日常生活服务需求,将观音桥商圈对老年人步行出行的吸引力降到最低,从而保证研究样本的独立性,将外界干扰降到最低。

表6.2 12个案例社区基本情况

资料来源:根据中国城市规划研究院《重庆市江北区核心功能区发展战略规划》资料整理。

(2)研究区范围界定

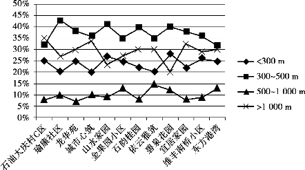
课题组在2012—2015年先后多次对以上住区进行调研,从调研结果来看,老年人的步行频率与出行距离呈现出波动变化的趋势,主要体现在居住地500 m范围内步行出行频率最高,1 000 m以上出行频率又有所增加(图6.3、图6.4),而出行距离在1 000 m以内的比例达到71.08%。此调查结果也比较容易理解,300 m大约为老年人步行5 min的距离,500 m大约为老年人步行10 min的距离,1 000 m大约为人群步行20 min的距离,步行5~10 min是老年人舒适的步行距离,1 000 m为可接受距离(在这个距离内老年人可以通过步行或者换乘一次公共交通来完成一次出行)。在访谈中发现,出行距离在1 000 m以上的老年人多是主观上有较强的体力活动愿望,其受住区周边的空间环境状况的影响较小,因此选定1 000 m为步行上限来开展研究。

图6.3 12个住区调查样本出行距离和比重示意图

图6.4 调查样本整体出行距离和比重示意图

本研究将人群的个体居住地进行简化,即以住区的几何中心为居住地,取住区平面图上的几何中心点为圆心,分别以300 m、500 m、1 000 m的半径做圆形缓冲区,所形成的300 m、500 m、1 000 m半径的圆形区域为本研究界定的研究区范围,如图6.5所示。

图6.5 住区空间环境研究区范围

2)变量设定

老年人的步行行为受到自身属性和外部环境属性等因素的共同影响,本次研究在问卷设计过程中同时关注老年人的自身属性特征和外部环境属性特征,问卷主要调查老年人步行行为、个体属性、住区空间环境3个部分。

(1)步行行为

步行行为变量可以从步行时间、步行频率、步行强度3个维度来测度。步行时间指老年人步行出行所用的时间总和,步行频率指老年人在单位时间内出行的次数总和,步行强度指老年人一次步行出行对体力活动的贡献程度。步行时间和步行频率因其测量方法的简单性、数据的易得性,往往成为测度步行行为的常用变量。

本节将步行行为作为因变量(表6.3),并用步行频率作为测度步行行为的指标,即用老年人一周内步行的频率来衡量步行行为,步行频率高意味着老年人较多采用步行出行方式,相反则说明老年人较少步行出行。步行频率可从某种程度上表征该地区的可步行性。

根据出行目的地不同将老年人步行行为分为交通性步行出行和休闲性步行出行,分别统计出行频率。通过调研结果的统计,将老年人的两种步行行为按照频率高低进行重分类,以便后续研究分析之用。按照出行频率从低到高分为较少出行、一般出行、较多出行、频繁出行4类。

表6.3 步行行为变量设定(因变量)

(2)个体属性

人群的年龄、性别、种族、职业、受教育程度、经济收入等因素都和老年人的步行行为紧密联系(Zhe Wang et al.,2010)。依据前文研究模型假设,将人群个体属性变量作为协变量,影响因子主要包括年龄、性别、退休前职业、文化程度、家庭结构、家庭收入、身体状况自我评价7个变量,见表6.4。

表6.4 个体属性变量设定(自变量)

(3)住区空间环境

住区空间环境是本研究的重点。在前文的讨论中,通过对老年人及其步行环境需求特征的梳理,构建了老年人步行出行的“需求-环境”体系,将老年人的步行出行需求环境归为城市布局和微观环境感知两个方面。由于老年人群体行为的特殊性,在步行环境舒适性和步行设施舒适性两个方面的基础上,补充与城市布局相关的目的地可达性、步行空间安全性两个因子,最终选取从这4个方面出发拟定空间环境评价因子及其评价方法。

将目的地可达性、步行环境舒适性、步行空间安全性、步行设施舒适性4个方面具体的子变量选取作为影响老年人步行出行的自变量,具体见表6.5。

表6.5 住区空间环境变量设定(自变量)

续表

3)数据获取

对选取住区内老年人的步行行为数据和空间环境特征数据进行收集。研究数据通过问卷调查和实地考察两种方式获取。

每个住区根据老年人群体在人口结构中的比重,差异化发放问卷,每个住区问卷数量基本控制在30份左右,以保证样本分布的合理性及研究结果的科学性。2013年12月—2015年1月期间,课题组先后对12个住区进行问卷调查和实地考察工作。问卷调查主要涉及个体社会经济属性、步行出行特征和人群对住区微观环境的感知评价等方面。在12个住区共发放调查问卷350份,通过对每张问卷填写的完整性和真实性进行判断,最终选出325份有效样本,有效问卷回收率为92.9%,见表6.6。

表6.6 调研小区问卷调查情况统计

续表

(1)个体属性数据收集

根据问卷调查的数据进行统计得到被调查人群的个体属性数据(表6.7)。

调查数据显示,本次调查区所调查对象年龄分布相对比较平均,只有75岁以上的人群比例较低,只有11.4%,其他各年龄段的数量相差不大;男女性别比例大致相同,男性所占比例略高于女性,男女分别占54.2%和45.8%;退休前职业情况中各职业类型比例大致均衡,个体户最少,只有16.0%。文化程度方面,初中及以下教育程度老年人占总人数比重最高,达到60.0%,比例接近2/3;家庭结构方面,夫妇二人和三代同居的家庭结构所占比重高于独居和两代同居的家庭结构类型;家庭收入方面,本次调研的老年人总体上经济条件处于较高水平,经济状况比较困难和困难的样本数极少,比较困难只占14.5%;身体状况自我评价中,认为自身身体状况一般的比重比较大,占到总人数的一半以上。

表6.7 调查区人群个体属性数据统计

续表

总的来说,本次收集的样本个体属性中除了文化程度属性比较集中外其他属性分布比较均匀,能够较好地满足研究的需要。

(2)城市布局的空间数据收集

主要通过文献调研的方式,梳理出对老年人步行活动有影响的空间环境特征要素,进而通过土地利用现状CAD图和GIS空间分析的方式获取12个住区的路网连通性变量和土地利用变量,并通过现场勘测加以补充,确保数据的完整性和科学性。

(3)微观环境感知数据收集

此部分数据少数可以直接量化的数据采用现场勘测和CAD现状图相结合的方式提取,其他微观环境感知数据通过问卷调查和现场座谈获取。通过里克特量表法(Likert Scale)进行满意度评价,分为非常满意、满意、一般、比较满意、非常不满意5个等级进行语义描述,并分别赋予相应的计算分值:5,4,3,2,1,然后进行分析计算。

4)分析方法选取

通过在住区层面简单比较分析空间环境特征、个体属性特征及人群步行行为特征,初步分析不同住区空间环境特征与老年人步行行为之间的关系。然后,以步行频率作为因变量,利用统计软件SPSS 19.0中的相关分析和回归分析探讨对步行频率具有显著影响的住区空间环境因子,同时确定这些因子对老年人步行出行频率的影响程度。

(1)相关性分析

相关性分析是研究事物之间关系紧密程度的一种数理统计方法。相关分析一般有Pesrson简单相关、Spearman等级相关以及Kendall相关3种。本节使用Pearson简单相关分析,考察两个变量之间的相关程度,以便找出关键变量,为下一步模型的建立提供依据。

统计学中常用Pearson简单相关系数来衡量两个定距变量之间的线性相关程度,变量间相关程度通常用相关系数r和p值衡量。当p>0.1时,说明两个变量之间不存在相关性,当p<0.1时,说明两个变量之间存在一定程度的相关性,此时r值大小可以衡量两个变量之间的相关程度,即对于具有相关关系的两个变量来说,相关系数是衡量两个变量之间相关程度大小的关键系数。相关系数r在-1和1之间,当r>0时,表示两个变量存在正相关;反之,则负相关;接近于1,表示该自变量对因变量的影响程度越大。

Pearson简单相关系数计算方式如下:

Pearson简单相关系数的检验统计量为:

(2)Logistic回归分析

由于相关性分析只能考虑单个自变量与因变量的关系,本节进一步采用多项逻辑回归方程,重点研究在人口属性的影响下,单个空间环境因子对步行频率的影响,从而更精确地分析对步行行为的影响因素。

为了更好地利用多项逻辑回归进行运算,本次研究首先将调研的步行频率数据进行重分类,按照步行频率的大小排序并将其分为频繁出行、较多出行、一般出行、较少出行4类步行人群,以便进行下一步研究。随后,本节以较少出行为参照目标,步行频率为因变量,老年人社会属性因子为协变量,进行多项逻辑回归运算,通过似然比检验观察各因子在模型中的显著性,去除无统计意义的因子,最终建立针对不同步行频率的老年人社会属性基础模型。

假定多项逻辑回归模拟模型如下:

其中,为任意出行频率与较少出行频率比值的自然对数;

“i”=1,2,3,出行1为一般出行,出行2为较多出行,出行3为频繁出行;

Xin为个体属性,包括性别、年龄、文化程度、家庭人口、家庭收入、身体状况自我评价;

Xen为空间环境变量,表示表6.8中的各项指标;

为了更好地描述居民步行频率的频繁程度,以较少出行作为其他3种出行频率的共同对比参照目标,将以上模型转化为如下3个应用分析模型:

选取Pearson相关分析中p<0.1的空间环境变量,逐个检验该变量在Logistic回归模型的3个子模型中的因子显著性,进而提取3个类别的步行行为特征具有关联性影响的空间环境变量。

由于各控件指标计量单位不同,为了方便在模型中比较各空间环境变量对步行出行频率的影响,对物质空间形态指标的原始数据进行标准化处理,可以使各种不同单位的数据无量纲化。本次标准差公式为:

式中 X——原始数据;

μ——平均值;

δ——标准差。

平均值计算公式:

标准差计算公式:

5)调查结果的统计与分析

(1)老年人总体步行和城市布局变量相关性分析

本节首先利用相关分析的方法对老年人总体出行频率和300 m、500 m、1 000 m研究区的城市布局关键因子进行相关性分析,分析结果见表6.8。

表6.8 老年人总体步行频率和城市布局关键因子的相关性分析

注:p<0.05,∗∗p<0.01;深灰为相关项且1>|r|>0.5,浅灰为相关项且0.1<|r|<0.5(表中已略去不相关项)。

根据研究区老年人总体步行频率和城市布局的初步相关性分析,不难看出,在500 m范围内城市布局和老年人步行出行频率具有显著相关关系,且0.3<|r|<0.6,其中街区边长和步行频率具有显著的负相关关系。而300 m范围内只有少数指标对步行频率有影响,且相关性|r|<0.2,1 000 m范围内则无任何指标和步行频率相关。说明在500 m范围内空间环境对老年人的步行出行具有显著的影响,这和课题组研究重庆市南岸区空间环境因素与人们步行活动时得到的结论相符合(出行500 m范围内的空间环境因素能够影响人们的步行出行频率)。据调查发现步行出行距离在300 m范围内的老年人,其步行出行多为宅域步行(即在住宅附近的步行活动),本节着重于研究住区层面的空间环境对老年人步行出行的影响,因为500 m范围内的空间环境指标能够反映出300 m范围内的相关指标,因此,重点针对住区500 m范围内的空间环境进行研究,从老年人不同的出行目的出发,分别研究空间环境对其不同类型步行出行频率的影响。

(2)老年人步行的关键影响因子分析

本节主要研究步行空间设施与步行环境的关键影响因子,在研究过程中尽量避免其他干扰因子影响。在实际研究中发现,对于老年人步行来讲,目的地可达性因子与空间安全性因子同样影响较大,不可忽略,因此将其纳入研究范畴。

①老年人交通性步行的关键影响因子分析。从模型研究结果来看,影响老年人交通性步行出行的空间环境因子较多,且各变量之间存在着较复杂的关系,本节从中选出影响老年人交通性步行出行较为关键的因子进行分析讨论。

从模型中变量的伪R2增加值的变化可以看出各因子对老年人交通性步行出行的影响程度,按照伪R2增加值由大到小选出排名前十位的空间环境因子,即土地利用混合度(0.065)、商业设施密度(0.056)、街区边长(0.055)、交叉口密度(0.052)、机动车流量(0.049)、人行横道(0.047)、公交站场密度(0.045)、人行道路面平整度(0.043)、机动车速度(0.042)、沿街商业(0.041)10个关键性因子,见表6.9。

表6.9 按伪R2增加值排列的前十位空间环境变量(一)

a.步行空间设施舒适性关键因子。步行体验舒适性关键因子中步行道平均宽度成为影响老年人交通性步行的关键指标。步行道较宽的街道,人流相对松散,人与人之间可以保持一个合理的舒适距离,较窄的人行道则经常会出现人流拥挤的情况,在行走过程中经常会出现必须停下来避让对向行人的情况。

b.步行空间环境舒适性关键因子。环境舒适性也会在一定程度上影响老年人的交通性步行出行,其中沿街商业是关键性影响因子。沿街商业的出现会给街道带来活跃的氛围,吸引较多的行人,此时老年人和别的人的接触会增加,更会产生一种归属感和主人翁的感觉,较多的行人也同时会无形中宣布这是步行者专属的空间,无形中增加了与机动车的隔离感,老年人更愿意在这样的环境中步行出行。同时也可以在完成别的出行目的的同时顺便购买少量便于携带的日常生活用品。

c.其他关键因子。从关键性因子分析可以看出影响老年人交通性步行出行的关键因子主要体现为目的地可达性和安全性两个方面,说明老年人交通性步行出行首先考虑的是便捷的需求,其次是对安全性的关注,而只有少数因子和视觉丰富性相关,对步行体验舒适性的要求则不是很高。

目的地可达性关键因子中交叉口密度(0.052)、街区边长(0.055)、土地利用混合度(0.065)、商业设施密度(0.056)、公交站场密度(0.045)5个关键因子在很大程度上能够影响老年人的交通性步行出行。其中交叉口密度和街区边长是影响路网连通性的关键因子,路网连通性高的住区说明老年人达到特定目的地的实际距离将会相对缩短,步行更加具有便捷性,交叉口密度高、街区边长小都意味着具有较多的步行路径从而能够在很大程度上缩短步行距离,满足老年人对时间和体力消耗的需求。土地利用混合度、商业设施密度和公交站场密度是影响土地利用布局的关键因子,其中商业设施密度对老年人交通性步行具有很大影响,因为购物是老年人的步行出行的主要构成部分。

步行空间安全性对老年人交通性步行出行也具有显著影响。人行横道(0.047)、人行道路面平整度(0.043)、机动车速度(0.042)是此时影响步行空间安全性的关键指标。其中机动车速度是影响交通安全的关键指标,机动车速度和老年人交通性步行具有强烈的负相关性,机动车流量越大、速度越快则老年人交通性步行出行频率会相对减少。人行道是老年人步行的最主要、最直接的步行设施,老年人对步行道的平整度要求较高,路面不平的道路往往会出现老年人绊倒的情况。此外,老年人普遍认为在交通流较大的道路上设置斑马线是必要的,这样能够提高步行的安全性,同时通过斑马线穿行也能保证步行路径最短。

②老年人购物性步行的关键性因子分析。从以上模型研究结果来看,影响老年人购物性步行出行的空间环境因子较多,且各变量之间存在着较复杂的关系,本节从中选出影响老年人购物性步行出行较为关键的因子进行分析讨论。

从模型中变量的伪R2增加值的变化可以看出各因子对老年人购物性步行出行的影响程度,按照伪R2增加值由大到小选出排名前十位的空间环境因子,即土地利用混合度(0.035)、商业设施密度(0.032)、绿色开敞空间密度(0.026)、步行道平均宽度(0.025)、沿街商业(0.024)、人车设施隔离度(0.022)、交叉口密度(0.021)、街道绿化(0.020)、沿街通透界面比例(0.020)、机动车速度(0.016)10个关键性因子,见表6.10。

表6.10 按伪R2增加值排列的前十位空间环境变量(二)

a.步行空间设施舒适性关键因子。步行体验舒适性关键因子中步行道平均宽度成为影响老年人购物性步行的关键因子。步行道宽度影响老年人行走时的舒适性感受,较宽的人行道可以使老年人及同伴并排通过,且一定程度上能够使行人和车辆保持较远的距离,也可以设置一些座椅、绿地等。

b.步行空间环境舒适性关键因子。空间环境舒适性关键因子中沿街商业和沿街通透界面比例成为影响老年人购物性步行的关键指标。沿街商业的出现一方面提供更多的购物场所,另一方面可以吸引更多的行人停留,为老年人提供更多的与他人接触的机会。沿街通透界面比例越高意味着走在街道上两边的视野将会很开阔,满足老年人观赏的需求。

可以看出老年人购物性步行出行对目的地可达性的需求并不是很高,对步行体验舒适性、步行空间安全性和空间环境舒适性的要求较高,说明老年人的购物性步行不是单目的的交通性步行,其步行行为伴随着休闲性质和多目的性。可以在购物的同时完成休闲、娱乐等日常活动。

c.其他关键因子。目的地可达性关键因子中交叉口密度成为影响购物性步行的关键指标,交叉口密度越高,意味着通向购物目的地有多条路径可以选择。土地利用关键因子中土地利用混合度、商业设施密度、绿色开敞空间密度3个因子成为影响老年人购物性出行的关键因子。土地利用混合度高意味着多种多样的商业设施,商业设施密度高则说明了购物场所的数量增多,绿色开敞空间密度高说明在老年人步行去购物的过程中经过街头绿地、小广场等的可能性增高。

步行空间安全性关键因子中人车设施分隔度和机动车速度成为影响老年人购物性步行的关键指标。人车设施分隔度高的街道,通常会有护栏、安全栓、树木、路缘石等将人行空间和车行空间界定出来,使老年人在步行过程中远离车辆带来的安全隐患,人车设施的良好分隔对老年人购物性步行具有积极的促进作用。

③老年人休闲性步行的关键影响因子分析。从模型研究结果来看,影响老年人休闲性步行出行的空间环境因子较多,且各变量之间存在着较复杂的关系,本节从中选出影响老年人休闲性步行出行较为关键的因子进行分析讨论。

从模型中变量的伪R2增加值的变化可以看出各因子对老年人休闲性步行出行的影响程度,按照伪R2增加值由大到小选出排名前十位的空间环境因子,即步行道平均宽度(0.031)、绿色个空间密度(0.027)、人车设施分隔度(0.027)、机动车速度(0.024)、公园绿地面积比(0.023)、街道绿化(0.020)、沿街通透界面比例(0.020)、休息座椅(0.017)、路面铺装材质(0.016)、街道清洁度(0.014),见表6.11。

表6.11 按伪R2增加值排列的前十位空间环境变量(三)

a.步行空间设施舒适性关键因子。步行体验舒适性关键因子中步行道平均宽度、休息座椅、路面铺装材质、街道清洁度成为影响老年人休闲性步行的关键指标。这些设施都是和步行行为直接发生关系的,其中步行道平均宽度较大的街道往往会有较多的服务设施,同时人行空间和车行空间也能够很好地被一些相应设施隔开,提供舒适、独立的步行空间;宽阔的步行道往往会有一些小型的交流空间出现,这些交流空间经常会设置休息座椅,老年人可以随机地坐在休息座椅上休息,一方面可以补充体力,另一方面提供了很好的交流空间。老年人对路面铺装材质的基本要求是要平整但不能太光滑,过于光滑的路面容易将老年人滑倒造成不必要的伤害,符合老年人使用特点和审美特点的路面铺装材质能够使他们放心地走在上面,可以更好地放松心情、观察人的活动和美好的街道景观。而清洁度高的街道能够给人以赏心悦目的步行感受。

b.步行空间环境舒适性关键因子。空间环境舒适性关键因子中街道绿化和沿街通透界面比例成为影响老年人休闲性步行的关键指标。良好的街道绿化环境能使老年人感到放松和愉悦,调查中大多数老年人表示他们喜欢步行道上的草地,他们认为这些会使他们感到安静、安全和健康。公园、草地、灌木丛等都会吸引他们步行。通透界面比例高的街道意味着街道的封闭性较低,在这样的街道行走人们的视野比较开阔,另外相对开阔的街道空间与封闭的空间相比更能够使老年人产生安全感和舒适感,从而可以放心的步行。

从Pearson相关分析结果和关键因子的分析来看,目的地可达性中土地利用布局会影响老年人休闲性步行经常发生的场所,而影响老年人休闲性步行的空间环境因素主要是空间设施舒适性、空间环境舒适、空间安全性3个方面。这不难解释,因为老年人休闲性步行没有特定的目的性,对空间的舒适性、安全性、环境品质的要求远高于便捷性。

c.其他关键因子。目的地可达性关键因子中绿色开敞空间密度和公园绿地用地面积比成为影响老年人休闲性步行的关键指标,可以看出较弱。这两个因子通过影响土地利用布局来影响老年人休闲性步行,绿色开敞空间密度高、公园绿地用地面积比高也从侧面反映出老年人休闲性步行多发生在这些场所。

步行空间安全性关键因子中人车设施分隔度和机动车速度成为影响老年人休闲性步行的关键指标。车速快的街道更容易使老年人产生不安全感,而步行道旁边的人车分隔设施能够起到很好的作用。

6)总结

通过以上研究可知,住区步行空间舒适性主要体现在设施舒适和环境舒适两个方面,它们对老年人步行出行意愿与活动有着决定性影响。其中设施舒适性主要由步行道平均宽度、过街辅助设施、步行道台阶和坡道、气候遮蔽设施、座椅设置、路面铺装等空间环境因子相关,以上这些空间环境因子作为设施舒适性和环境舒适性中的关键因子。而环境舒适性主要由街道机动车速、空间污染情况、卫生清洁程度、安全空间质量等空间环境因子影响(表6.12)。

表6.12 影响步行空间舒适性的空间环境因子

续表