5.1.1 步行环境连通性的影响因素——以四川射洪县城南片区为例

5.1.1 步行环境连通性的影响因素——以四川射洪县城南片区为例

街道是人群发生步行行为的主要载体空间,而高效便捷的街道连通性是促使人们选择步行出行的主要因素之一,因此本小节展开对街道层面的连通性实证研究。在与步行出行相关的建成环境研究中,街道连通性是影响步行出行选择的一个重要因素,街道连通性程度的大小对步行出行有着重要影响。大量学者研究发现,高连通性街道能够有效促进步行出行,进而促进人群健康。Frank的研究发现在街道连通性较好的区域中人群的步行时间更长,并且肥胖率更低(Frank,2004)。相比于低人口和建筑密度、单一土地利用、低连通性且缺乏步行和自行车设施的邻里(如汽车导向模式、传统郊区发展模式等),拥有高土地混合利用、高人口和建筑密度、高连通性街道以及完善的人行道的邻里空间在促进人群步行活动方面有积极的作用(鲁斐栋,2013)。Nelson的研究发现在那些街道连通性较好的社区中,青少年的体力活动(步行等)要比街道连通性较差的社区中的青少年的体力活动大得多(Nelson,2006)。街道连通性研究作为促进人群健康的一个重要研究方向,正在引起全世界的关注,是构建主动式干预建成环境的一个重要研究内容,将成为城市规划领域促进人体健康的一个研究重点。

1)研究样本

射洪县城南片区具有良好的区位优势,是射洪县向南(瞿河片区)和东南(河东片区)实现跨越式发展必须完善和优化的区域,如图5.1所示。本次研究范围北至美丰大道、东至涪江边、西至小鲜家沟、南至河东大道区域(图5.2),总用地面积为7.54 km2(其中城市建设用地面积为5.56 km2),规划人口5.6万人。

图5.1 射洪县城南片区区位图

图5.2 规划范围示意图

射洪县城南片区的功能定位是以居住、商业及配套服务为主的宜居生态新城,城市对外展示窗口和产城一体示范区。根据用地性质和地形条件将基地划分为3个步行单元(图5.3):长岭岗公园北面的北部步行单元,以居住、商业用地为主,主要考虑居民日常生活中的步行出行;长岭岗公园南面的南部步行单元,以居住、商业用地为主,也主要考虑居民日常生活中的步行出行;沱牌大道以西的西部步行单元,以仓储物流和居住用地为主,主要考虑居民的日常生活步行出行以及仓储物流园区工作人员与配套服务设施之间的步行出行。3个片区的住区均进行了特色化的步行环境建设,且片区的主要功能不同,住区周围的步行环境也不同。鉴于街道连通性对步行出行具有重要的促进作用,该规划在建设具有良好街道连通性的建成环境方面进行了重点设计。因此,前文中提到的关于街道连通性的测度方式、分析手法、优化手段和建设策略都可以以此规划为案例进行研究。

图5.3 射洪县城南片区土地利用规划图

(资料来源:射洪县城南片区控制性详细规划。)

2)数据获取

结合用地现状和权属关系,尽量采用较高密度的栅格路网结合小尺度街区的布局模式。在街区大小方面,美国学者Siksna提出了理想的、有利于步行出行的街区边长应该是80~110 m(Carmona et al.,2003)。Ewing认为,如果要促进形成“步行+公交”出行的模式,那么300 ft(91 m)是最理想的街区边长尺度,400~500 ft(122~152 m)是可以接受的街区边长尺度,当街区尺度达到600 ft(183 m)以上时,则需要增加相应的道路(Ewing,1999)。这些尺度比国内通常道路设计时采用的200~300 m的城市支路间距要小得多。因此,本次调研区结合国外数据与国内经验,在城市核心区采用的街区长度控制在150 m左右,其中最小的街区长度控制在100 m左右。

3)模型建立

(1)街道连通性影响因素分析

①步行路径的直线性程度。步行路径的直线性程度是影响街道连通性的核心因素之一。因为步行路径的直线性程度与步行绕路系数呈倒数关系,所以也可以认为街道连通性的核心是步行绕路系数。那么,一切能够影响步行路径直线性程度或者步行绕路系数的因素都是街道连通性的影响因素。步行路径直线性程度等于直线距离与步行距离的比值。直线性程度越高,则该比值越接近于1,其理论最大值为1,即代表步行路径近乎是一条直线。直线性程度越低,则该比值越接近于0,即代表步行绕路程度无穷大。首先,直观地看,步行距离是影响步行路径直线性程度和步行绕路系数的重要因素,也即是说,步行距离是影响街道连通性的重要因素。步行距离越小,越接近于直线距离则街道连通性越好;步行距离越大,步行路径越绕,则街道连通性越差。其次,需要确定步行目的才能确定步行距离。步行目的是步行出行的根本原因,也是步行距离计算的首要条件,只有有了步行目的才能准确计算步行路径的直线性程度和步行绕路系数。因此,步行目的也是影响街道连通性的一类重要因素,如图5.4所示。

图5.4 街道连通性影响因素分析图

同时,根据目前国内外学者在研究街道连通性测度时考虑的因素也可以发现,步行距离和步行目的对接到连通性的影响作用。首先,在步行距离方面,大量学者的基本观点是两点之间的步行距离越短,就说明这两点周边的街道连通性越好。因此,人们普遍从步行距离这一方面考虑街道连通性的测度,如街坊长度、交叉口密度等都是基于步行距离的考虑而提出的测度指标。其内在含义是街坊长度越短(交叉口密度越高等),步行出行的绕路程度就越低,步行距离就越短,街道连通性就越好。其次是步行目的方面,该方面内容虽然被部分只考虑步行距离的学者所忽视,但是步行目的是计算步行距离必不可少的因素,只有有了明确的步行目的,才能准确计算相应的步行距离。其实,这部分学者在街道连通性研究中默认了整个地区步行出行的目的地是均匀分布的,即每个地方都可能出现步行行为。但是,受到目的地种类、数量和空间布局等客观条件限制(步行出行多以日常服务设施为目的,而不同街道或者地区的日常服务设施在种类、数量和空间布局上都存在很大差异),有些区域因为缺少步行出行的目的地,所以也就不会出现步行出行,那么该类学者测度出的街道连通性准确性不足,更有可能缺少实际意义(不能体现街道连通性中步行出行的方便程度)。因此,这些学者采用的测度方法不能准确地反映整个地区的街道连通性。还有一部分学者,虽然在研究中明确了步行目的地,但是其目的地多为某个重要的日常服务设施(轨道站点、公园等)或者城市中心,缺少对人们步行目的多样性的考虑,其只能反映基于某一个步行目的下的街道连通性情况。

再则,根据前文内容,街道连通性测度应该以步行出行为研究视角,要重点考虑步行距离和步行目的。其中,步行距离包括到达目的地的实际步行距离和步行绕路系数两个方面的内容,具体由步行出发点、目的地和步行路径共同确定。步行目的通常是日常服务设施,具体由日常服务设施的种类、数量和空间布局共同确定,也说明了步行距离和步行目的是街道连通性的影响因素。

综上,本章提出街道连通性的核心影响因素是步行路径的直线性或者说是步行绕路系数。而步行路径直线性或步行绕路系数受到步行距离和步行目的两个方面内容的影响。步行距离方面主要指建成环境的物质空间特征,包括街区模式、路网模式和步行设施等主要体现步行距离的因素。步行目的方面主要指日常服务设施的种类、数量和空间布局,它是步行出行的根本所在。

根据调查问卷显示,在调查影响步行出行方便程度的因素有哪些时,选择“步行路线太绕”的人数占比32.18%(168人),说明有很多人都认识到步行路径直线性或者步行绕路系数是影响步行出行方便程度的重要因素之一。在具体访谈中,多数被访谈者认为他们在步行出行方便程度的体验中,“步行距离太远”(占比44.83%,234人)和“过街设施(人行天桥等)设置不合理”(占比33.33%,174人)这两个因素比“步行路线太绕”这个因素的体验性要直接得多。所以他们认为“步行距离太远”和“过街设施(人行天桥等)设置不合理”相比于“步行路线太绕”更能影响步行出行的方便程度。但实际上这两方面因素在很大程度上都涉及了“步行路线太绕”的情况,特别是人行天桥等过街设施的设置。同时,有一点值得注意的是,在调查问卷中选择“车行交通对步行的干扰”这个因素的人较多,占比44.06%(115人)。但在具体访谈中可以得出,这些被访问者之所以选择该因素,是因为车行交通带来的不安全性、空气污染、噪声干扰、红灯等待等涉及步行环境的因素。所以可以认为“车行交通对步行的干扰”是通过影响步行环境而非街道连通性来影响建成环境中步行出行的方便程度的。所以本研究不将“车行交通对步行的干扰”列入街道连通性的影响因素里。但是,在实际测度中又要避免车行交通等因素对步行出行的干扰,以保证街道连通性测度结果的准确性。

②步行距离。不同特征的建成环境会引发不同的步行距离,从而使其具有不同的街道连通性。大量学者都注意到了步行距离方面影响街道连通性的因素,他们采取能反映步行距离的相关指标来测度街道连通性。从目前研究来说,常用的反映建成环境步行距离方面特征的指标可以分为三大类:一类是街区模式,具体可以分为街区长度、街区大小等指标;另一类是路网模式,具体可以分为街道密度、交叉口密度、连接节点比率、联路节点比率、网格形态等指标;此外,步行设施设置的合理与否也会对步行距离产生重要影响。

步行距离对街道连通性的影响研究主要通过建成环境的空间形态来确定实际步行距离和步行绕路系数,从而影响街道连通性和步行出行。其核心都是体现在什么情况下步行距离越短,步行绕路系数越小,则街道连通性越好;反之,则越差。

根据调查问卷显示,在调查影响步行出行方便程度的因素有哪些时,选择了“步行距离太远”的人数占比44.83%(234人),排在第一位(图5.5)。说明了很多人都认识到步行距离是影响步行出行方便程度的重要因素。在具体访谈中,被访谈者指出步行距离给人们的直观感受最强,如果一个地方步行距离太远,那么也就说明这里的步行出行不够方便,并且街道连通性较差。

图5.5 影响步行出行方便程度的原因分析图

a.街区模式:街区模式指城市在土地利用时对街区的长度、大小、开发强度等方面所采用的建设模式。不同的街区模式会对步行距离有直接影响,因此也会对街道连通性有重要影响。可以简单地将街区模式分为大尺度的街区模式和小尺度的街区模式。大尺度的街区模式具有较长的街区长度和较大的街区面积,使之容易营造安静、不受外界干扰的内部环境,但是其通常不允许步行等外部交通穿越街区。因此,大尺度的街区模式增加了步行距离,加大了步行绕路系数,从而降低了街道连通性的程度。与之相对,小尺度的街区模式具有较短的街区长度和较小的街区面积,街区对周围步行等交通的限制较小,使得步行距离较短,步行绕路系数较小,从而其街道连通性程度也就相对较高。

具体来说,街区模式主要包含街区长度和街区大小这两个因素。街区长度指街区长边的长度,通过测度街区长边的道路中线或者路缘石线之间的距离而得到。街区长度从单边角度体现街区对步行距离影响的大小。街区大小从街区的长度、宽度和其所占用地范围这3个角度来体现街区对步行距离的影响,进而反映街道连通性情况。通常,通过测度街区的面积或者周长来表示街道连通性。一般来说,街区长度越小、街区面积越小,则步行距离越短,步行绕路系数越小,街道连通性程度也就越高。

根据调查问卷显示,在调查影响步行出行方便程度的因素有哪些时,选择了“街区面积太大”的人数占比18.01%(94人)(图5.5),该比例明显小于其他因素。在具体访谈中可以发现,虽然“街区面积太大”最终是通过步行距离来影响步行出行的方便程度,但该指标给人的直接体验性相对较弱,所以选择它的人相对较少。

b.路网模式:路网模式指城市道路的建设模式。路网模式主要有栅格路网模式(矩形路网或者环形放射状)和树枝状路网模式(曲线或者尽端路模式)。不同的路网模式由于具有不同道路交叉口密度等因素使得步行距离和步行绕路系数千差万别。一般来说,相比于曲线和尽端路网,矩形路网的步行距离要短得多,其步行绕路系数要小得多,从而,街道连通性程度也要高得多。

具体来说,路网模式主要包括街道密度、交叉口密度、连接节点比率、联路节点比率、网格形态等因素。街道密度和交叉口密度体现城市道路建设情况,街道密度和交叉口密度越大,相应的街区也就越小,步行出行的距离就越小,步行绕路系数越低,街道连通性程度就越高。连接节点比率、联路节点比率和网格形态指标从道路的连接形式体现道路的连通程度,反映道路连接点的通行能力。前两者的值越大则表示该节点通行的方向就越多,在其他条件一样时,相应的步行距离就较短,步行绕路系数就越小,街道连通性就越好。但是,这3个指标主要反映交叉口的连接程度,当比较对象的道路密度存在较大差异时,该方法就不适用于街道连接性的研究。

根据调查问卷显示,在调查影响步行出行方便程度的因素有哪些时,选择了“道路密度太小”的人数占比16.86%(88人),如图5.5所示,该比例也明显小于其他因素。在具体访谈中可以发现,虽然“道路密度太小”最终是通过步行距离来影响步行出行的方便程度,但该指标给人的直接体验性相对较弱,所以选择它的人也相对较少。

c.步行设施:任何可以影响步行距离的步行设施都能对街道连通性造成一定的影响,该类步行设施主要有人行横道、过街天桥、地下通道等。现实生活中常常看见由于过街天桥设施不够合理,人们通过马路所要步行的实际距离比直接穿过马路的距离要长得多。这也能解释为什么常常出现市民不顾生命危险横穿马路的现象。因此,步行设施也是街道连通性的影响因素之一,要对其合理布置,减少对街道连通性的负面影响。

根据调查问卷显示,在调查影响步行出行方便程度的因素有哪些时,选择了“过街设施(人行天桥等)设置不合理”的人数占比达33.33%(174人),排第三位(图5.5)。说明在日常生活中有很多地方过街设施的设置都存在不合理性,给人们步行出行带来了众多不便。在具体访谈中可以发现,过街设施设置的不合理常常让人们绕行很长的距离,严重损害了步行出行的方便程度。还发现过街设施的设置是人们比较关心的影响步行出行方便程度的因素,也是目前一个需要重点解决的问题。

③步行目的。步行目的是步行出行的直接动力和根本原因,是影响步行出行最主要的主观因素。只有明确了步行目的,才能明确步行目的地的所在,才能确定相应的步行距离等因素。

在考虑步行目的时,步行目的的多样性是必须要考虑的。步行目的的多样性对应着步行目的地的多样性。步行目的多为日常服务设施,步行目的地的多样性也就是日常服务设施的多样性,包括种类、数量和空间布局等方面。因此,步行目的方面影响街道连通性的因素主要包含两个部分:一是日常服务设施的种类和数量,它体现建成环境对于步行出行的吸引能力,直接影响步行出行的产生与否,是步行出行的目的所在;二是日常服务设施的空间布局,它能准确反映步行距离,相应地可以得出该日常服务设施引发步行出行的可能性大小,即距离衰减值(图5.4)。

步行目的方面主要指建成环境中日常服务设施对街道连通性的影响。其核心是日常服务设施布置越适宜,包括日常服务设施的种类齐全、数量足够和空间布局邻近等因素,则相应的步行距离就越短,距离衰减值就越低,街道连通性就越好;反之,则越差。

根据调查问卷显示,在调查影响步行出行方便程度的因素有哪些时,选择了“没有想去的地方”的人数占比31.42%(164人)(图5.5)。说明步行目的是步行出行方便程度以及街道连通性的重要影响因素之一,如果一个地方没有适宜的步行目的地,那么也就说明这里的步行出行不够方便,且街道连通性较差。在具体的访谈中,很多被访谈者都提到他们周围需要更多的诸如游憩设施和公园等适合步行出行的目的地。

(2)街道连通性测度指标选取

街道连通性测度研究要以步行出行视角为出发点,要体现步行目的和步行距离这两个影响步行出行的核心要素,并以步行路径直线性或步行绕路系数为核心,综合考虑步行距离和步行目的这两类影响街道连通性的因素。最终要使街道连通性测度的结果能体现建成环境中步行出行的方便程度和建成环境对步行出行的促进或抑制作用的大小。

根据定义,街道连通性指建成环境中出发点和目的地之间步行路径的直线性程度。首先,可以得出,街道连通性测度的核心指标应该是步行路径的直线性程度,也就是步行路径的步行绕路系数的倒数。直线性程度越高,步行路径就越接近直线距离,也就是说步行绕路系数越低。其次,在计算步行路径直线性程度或步行绕路系数时,需要明确步行出行的目的地,没有步行目的地则无法计算步行路径直线性和步行绕路系数。步行目的具有多样性,步行目的地也就具有多样性。因为,步行目的地具有很大差别,所以,在计算街道连通性时对不同的步行目的地要区别对待,即给不同的步行目的地赋予不同的权重值。只有将具有不同重要性的步行目的地赋予不同的权重值之后进行叠加,才能准确计算步行出行视角下的街道连通性的大小。最后,考虑目的地的距离衰减规律。一个目的地之所以成为目的地是因为它能引发步行出行,一个目的地引发步行出行发生的概率大小与步行距离有很大的相关性,其随着步行距离的增加而衰减,即距离衰减规律。也即是说,只有在一定范围内的目的地才能引发步行出行,具有不同步行距离的步行目的在引发步行出行方面具有不同的可能性。因此,根据每个步行目的地的步行距离得出的距离衰减值也是街道连通性测度的重要指标,如图5.6和图5.7所示。

具体来说,步行距离方面街道连通性的影响因素可以分为实际步行距离和步行绕路系数两个内容。它们由步行出发点、目的地和步行路径确定。实际步行距离的大小决定步行出行概率的大小,即日常服务设施与步行出行之间的距离衰减规律。步行绕路系数由实际步行距离和直线距离确定,它是街道连通性计算的核心指标。通常来说,步行绕路系数越高,步行出行意愿就越低。

图5.6 指标选取示意图

图5.7 指标选取示意图

步行目的方面街道连通性的影响因素可包括两部分内容,即作为步行目的的日常服务设施之间的权重关系和日常服务设施的距离衰减值。日常设施权重值由其重要性以及同一种日常服务设施的多样性所确定。即不同的日常服务设施拥有不同的权重值,同一种日常服务设施的不同个体之间也有相应的权重值。日常服务设施作为步行目的能否引发步行出行与实际步行距离有直接关系,即前文提到的距离衰减规律。因此,根据步行距离,每一个日常服务设施对应一个距离衰减值。

当然,步行距离和步行目的两部分内容是相互交织的。如实际步行距离由出发点、目的地和步行路径共同决定,直线距离由出发点和目的地决定,步行绕路系数由直线距离和实际步行距离决定。同时,日常服务设施能否成为步行目的地与步行距离又有很大关系,该日常服务设施引发步行出行的概率会随着步行距离的增加而降低。

综上,5.1.1小节以步行绕路系数为核心,提取目的地权重值、距离衰减值为计算指标以建立街道连通性测度数学模型。这3项指标的具体计算方法及相关关系如图5.8所示。其中步行出发点、步行路径、步行目的地和距离衰减规律是基础数据,可以通过相关基础资料获取。实际步行距离和直线距离是中间计算数据,通过基础数据计算得来。目的地权重值、距离衰减值和步行绕路系数是街道连通性测度的指标,其中目的地权重值借鉴步行指数测度方法中对于目的地权重值的分类和确认方法得出,距离衰减值和步行绕路系数根据中间数据计算得出。

图5.8 指标计算示意图

①步行绕路系数(c)。步行绕路系数(Pedestrian Route Directness,PRD)指出发点与目的地之间的实际步行距离与直线距离之间的比值。街道连通性测度的核心指标应是步行路径的直线性程度。因为步行路径的直线性程度和步行绕路系数是倒数关系,所以步行绕路系数也可以被选作街道连通性测度的核心指标,同时考虑到目前街道连通性研究中步行绕路系数是一个比较常用的指标,相关研究较多,成果丰富。因此,本文选择步行绕路系数作为街道连通性测度的核心指标。

步行绕路系数是一个直接体现街道连通性大小的指标,它是实际步行距离与直线距离之间的比值。要计算实际步行距离和直线距离,则要确定步行出发点、步行目的地和步行网络(图5.8)。

首先,确定步行出发点。根据需要测度街道连通性对象的范围不同,将步行出发点分为单点步行出发点和区域步行出发点。单点步行出发点用于测度该点周边的街道连通性情况,如居住小区的步行出口等。如果一个研究对象有多个步行出发点,那么可以分别先测出每个单点的街道连通性情况,再通过加权叠加得出该研究对象的街道连通性的情况(通常以各步行出发点人口比例为权重值)。

当需要测度一个区域的街道连通性时,如果还采取上述方法,先算出每个出发点周边的街道连通性,再利用系数加权叠加的话,显然由于数据太繁杂而不太实用。因此,在测度一个区域的街道连通性情况时,可将该区域划分为等距的步行网点,以单点步行出发点的计算方法分别测度出每个网点的街道连通性。然后将计算出的每个网点的街道连通性进行加权叠加(通常以每个网点所覆盖区域内的人数作为权重值),最后得到区域的街道连通性情况。区域步行网点的确定,可以以步行的出行距离和所在区位共同确定,如在城市中心区可以确定为500 m,在外则可以确定为800 m等。

其次,根据实际步行路径建立步行网络。步行出行距离不能简单地以出发点和目的地之间的直线距离来表示,要以实际步行路径来测度。因此要以实际的步行路径建立步行网络,用以反映实际的步行路径。城市中不同等级道路提供的步行路径各不相同,因此本节在建立步行网络时对城市道路系统做了如下调整:将城市中的步行道、城市支路(能自由步行通过)、生活次干道(能自由步行通过)视为一条步行道;将干道和交通性次干路处理为两条平行的步行道(没有人行道的车行道路不计入该范围),再通过人行横道、过街天桥和地下通道连接;最后再将一些独立的步行通道纳入步行网络的建设中,包括独立的步行便道、步行广场等(许建 等,2012)。正如图5.9所示,步行出行从A到B、从C到D只能通过步行网络到达,不能随意穿过街区或者干路。

最后,确定步行目的地。步行出行一般都是为了满足休闲娱乐、工作学习、买菜购物等日常的生活需求。这些需求与周边的日常服务设施紧密联系在一起。也就是说,步行出行目的地的很大部分是周边步行范围内的日常服务设施,包括如商店、饭馆、公园等。因此,本研究参考步行指数的计算方法,以居民所需的日常服务设施为步行目的地用来测度周边街道的连通性情况。

在取得上述3种基础数据之后,则可以通过步行出发点和步行目的地的空间位置计算两者的直线距离,从步行出发点到达步行目的地的步行路径长度计算出实际步行距离,可得出步行绕路系数。

图5.9 城市道路步行网络构建示意图

②目的地权重值(a)。目的地是步行出行的目的,是步行出行的根本原因所在。离开目的地讨论步行出行和街道连通性则缺少实际意义。同时在计算步行距离和直线距离时,目的地是必须确定的数据。前文提到,以居民所需的日常服务设施为步行的目的地来测度其周边街道的连通性情况。其中有一点值得注意,不同日常服务设施对步行出行及街道连通性的重要性及影响程度是不一样的。

首先,日常服务设施具有多样性和不同的重要性。步行出行的目的具有多样性,因此作为步行出行目的地的日常服务设施也具有多样性。常见的有医院、市场、公园、商店等多种不同的日常服务设施。同时,不同的日常服务设施满足人群需求的重要性也是不一样的。如菜市场是日常生活所不可或缺日常服务设施,而娱乐场所对于日常生活不是不可或缺的,其在对生活需求满足的重要性上没有菜市场重要。

其次,人们对同一种日常服务设施也有多样性的需求。根据日常服务设施的不同特点,人们对同一种日常服务设施的多样性需求存在很大区别。例如,通常情况下菜市场、书店等日常服务设施只需要一个就能很好满足人们的日常生活需求,由于人们的喜好不同,则需要多个饭店、商店这种类型的日常服务设施。

综上,在从步行出行视角下测度街道连通性时要综合考虑日常服务设施之间因为重要性不同而具有的权重关系,包括不同种类的权重关系和同一种类中多个日常服务设施之间的权重关系。只有将目的地权重值代入街道连通性的计算中,才能更准确地体现出某种目的地对街道连通性影响程度的大小。

本研究借鉴步行指数测度方法关于日常服务设施的分类表,根据每类设施的相对重要性赋予权重。根据日常服务设施的多样性和可替代性,不同日常服务设施纳入计算范围的数量也不同。由于国内外的生活习惯和生活环境不同,所以设施分类表根据国内情况作出了适当的调整和补充,同时也对各类设施的权重作了一定的调整。设施分类表中添加了市场、邮局快递、医院药店等设施,使得设施的选取尽可能全面地覆盖城市居民日常生活的需求。通过调整,最终确定的设施分类表包含了餐饮、购物、休闲、教育、公共服务、个人护理和医疗这7个方面共13类设施,每类设施根据其相对重要性,通过专家打分法赋予权重值,权重值总和为15(吴健生 等,2014),见表5.1。当然这些日常服务设施类型的选择、个数的确定、权重关系的确定等都可以根据实际情况加以调整,使其更适合于测度的对象。

日常服务设施的具体类型和空间位置可以通过多种方式获得,如通过政府信息网站、百度地图等网络服务(吴健生 等,2014),以及实地勘察等方式都可获得。同时,也可以根据相应的规划设计内容来确定规划范围内的日常服务设施布局情况,以便用于之后的相关计算。

表5.1 设施分类表及权重

(资料来源:吴健生,秦维,彭建,等.基于步行指数的城市日常生活设施配置合理性评估——以深圳市福田区为例[J].城市发展研究,2014(10):49-56.)

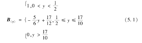
③距离衰减值(b)。上文在步行绕路系数的确定中提到,街道连通性的计算必须确定步行目的地。作为步行目的的日常服务设施,对街道连通性的影响程度是不一样的。此外,还有一点需要注意,同一个日常服务设施能否成为真正的步行目的地与它的步行距离有很强相关性。也即是说,以日常服务设施为目的地的步行出行发生的可能性与步行距离有很大关系。同一个日常服务设施,随着步行距离的增加,人们步行出行的可能性将减小,当距离到达一定值时则认为步行出行发生的可能性为0。此种基于日常服务设施的步行出行的可能性与步行距离之间的函数关系,即通常所说的距离衰减规律。该关系函数以步行距离(y)为自变量,以步行出行概率即距离衰减值B(y)为应变量[图5.9(b)和式(5.1)]。

因此,引入距离衰减值,以明确日常服务设施的步行距离对步行出行的影响大小,明确步行出行的概率大小,进而明确步行距离对街道连通性程度影响的大小。

步行目的地的距离衰减值由步行距离和距离衰减规律确定。其中,步行距离可以由前文内容得出。而距离衰减值B(y),则根据国际测度步行指数时所采取的距离衰减规律简化得出[图5.10(b)]。

国际测度步行指数中的距离衰减规律:当日常服务设施的步行距离在0.25 mi(402 m)以内时,则认为不发生距离衰减;当步行距离大于0.25 mi(402 m)时,快速衰减;当步行距离继续增大,衰减减慢;直到步行距离大于1.5 mi(2 414 m)时,衰减值大于1,即1.5 mi(2 414 m)以外的日常服务设施对出发点的步行指数无影响(卢银桃 等,2012)[图5.10(a)]。本研究计算距离衰减值时,在充分尊重上述距离衰减规律对应关系的前提下作了适当简化,以便有利于之后的数据计算。简化后的距离衰减规律:当日常服务设施对应的步行距离y在500 m以下时,认为该日常服务设施引发步行出行的概率不发生衰减,其距离衰减值B(y)为100%;当步行距离y大于等于500 m,小于等于1 700 m时,认为距离衰减值B(y)按照如图5.10(b)所示的线性关系衰减;当步行距离y大于1 700 m时,认为步行出行概率为0,即距离衰减值B(y)为0%[图5.10(b)]。从图5.10(a)、(b)中可以看出,简化后的距离衰减规律符合原距离衰减规律的曲线走势,同时各个步行距离的对应距离衰减值也基本符合原距离衰减规律。最终,通过每一个步行目的地的实际步行距离和距离衰减系数得出相应的距离衰减值。

具体的距离衰减值B(y)的函数关系式如下:

式中 B(y)——距离衰减值;y——步行距离。

图5.10 步行距离衰减曲线图

(资料来源:卢银桃,王德.美国步行性测度研究进展及其启示[J].国际城市规划,2012(1):10-15.)

(3)街道连通性Q测度数学模型建立

在缺少体力活动的现代生活方式下,人群健康面临严重威胁。大量研究认为,建成环境状况与人群步行出行等体力活动的强弱有很强的相关性。因此,在城乡规划学科中,大量学者都在研究如何通过改变和完善建成环境来促进人群健康。其研究内容广泛,包括土地利用方式、街道连通性情况、步行环境质量等方面。其中,如何通过改变和完善建成环境的街道连通性来促进步行出行是目前学界的研究热点,而本小节(3)的街道连通性测度及下文4)中的实践应用研究正属于该部分内容,如图5.11所示。

街道连通性测度研究是街道连通性研究的基础。虽然绝大部分街道连通性目的的研究都是要进一步揭示街道连通性与步行出行的相关关系,但是由于研究视角不同或者不明确,研究者常常采用不同的测度方法和指标来测度街道连通性,其结果常常会出现不一致,甚至矛盾的地方。因此本小节(3)明确提出从步行出行的视角来测度街道连通性,即体现街道是人的街道,而不是汽车的街道,也是体现如何通过街道连通性的研究来促进步行和人群健康的研究主旨。因此,步行出行是本小节(3)街道连通性测度研究的立足点和出发点。

根据上文研究内容,无论是从步行出行的角度考虑还是从街道连通性影响因素考虑,步行距离和步行目的都是街道连通性测度必须考虑的重点内容。在步行出行视角方面,步行距离和步行目的是街道连通性对步行出行影响最大的两个因素,步行距离的长短直接影响人们是否选择步行出行,步行目的是步行出行的根本原因。步行距离包括实际步行距离、直线距离以及步行绕路系数。步行目的包括目的地的种类、数量以及空间布局等内容。

图5.11 连通性测度示意图

在街道连通性测度研究中,根据定义来说,步行路径的直线性程度是核心指标,其与步行绕路系数呈倒数关系。鉴于步行绕路系数在相关研究中的广泛应用,研究将步行绕路系数作为街道连通性测度的核心指标,在具体的计算中会涉及步行出发点、目的地和步行路径。其中,可以根据出发点和目的地的空间位置关系得出两者之间的直线距离,再根据步行路径得出步行距离,从而得出步行绕路系数。同时,在面对具有不同重要性的步行目的地时,需要赋予其相应的目的地权重值。考虑到一个目的地能否引发步行出行与步行距离有很大关系,需要引入距离衰减值加以计算。

综上,本研究从步行出行视角建立街道连通性测度数学模型,其中考虑步行绕路系数、目的地的权重值和距离衰减值这3个重要指标。

步行出行视角下街道连通性的测度,实质上是测度街道连通性对于步行出行的促进或者抑制作用的大小。无论从步行出行视角还是街道连通性的影响因素来说,步行距离和步行目的都是街道连通性测度必须考虑的要素。根据上文提取的街道连通性Q测度数学模型3大指标:步行绕路系数c,目的地的权重值a和距离衰减值b。其中,步行绕路系数c是街道连通性测度的核心指标,其数值可直接反映街道连通性情况,它与街道连通性呈反相关关系。目的地权重值a体现不同步行目的重要程度,用以明确某一步行目的对街道连通性的影响程度大小。距离衰减值b体现步行距离对步行出行的影响,用以明确步行距离这一影响因素对街道连通性影响程度的大小。

因此,在街道连通性测度数学模型建立中,首先要明确步行目的,即目的地权重值a,它确定了目的地计算对象,以及这一目的地对街道连通性的影响大小;然后明确步行距离对步行出行的影响,即引入距离衰减值b,明确在一定步行距离下该目的地引发步行出行概率的大小。用目的地权重值a和距离衰减值b的乘积a×b确定某一步行目的地对街道连通性的影响及其引发步行出行的概率大小。在确定了步行目的和步行距离之后,引入街道连通性测度核心指标步行绕路系数c,其与街道连通性呈反相关关系。用目的地权重值a、距离衰减值b和步行绕路系数的倒数1/c三者的乘积a×b/c来建立街道连通性测度数学模型。该数值a×b/c表示基于某一步行目的地的步行路径直线率的大小,其中包含了该目的地对街道连通性的重要性程度和引发步行出行的概率大小等内涵。

根据测度的对象范围不同(也就是前文指出的单点步行出发点和区域步行出发点),本节将街道连通性测度数学模型细化为单点街道连通性Q单点测度数学模型和区域街道连通性Q区域测度数学模型,并对模型进行优化。为了便于说明,下文①中先进行基础单点街道连通性Q基础单点测度数学模型和基础区域街道连通性Q基础区域测度数学模型的建立(基础单点街道连通性Q基础单点中的“基础”指未经过数学优化的单点街道连通性)。

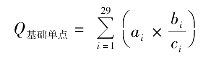
①基础单点街道连通性Q基础单点测度数学模型。基础单点街道连通性Q基础单点测度数学模型是以单点为步行出发点,测度单点周边街道连通性的情况。并以步行出发点为测度起点,周边日常服务设施为目的地(考虑日常服务设施的重要性和多样性),步行的实际路径计算步行距离。基于a×b/c表示每个目的地的步行路径直线率的大小,将某一出发点的多个目的地的街道连通性值进行叠加,则可以得出该出发点的基础单点街道连通性Q基础单点。其中具体的目的地种类、数量及权重值以表5.1为准,共有29个日常服务设施需要纳入计算。距离衰减值以上文的计算方法为准。

因此,具体的基础单点街道连通性Q基础单点测度数学模型如下:

基础单点街道连通性:

式中 Q基础单点——基础单点街道连通性;

ai——第i点的目的地权重值;

bi——第i点的距离衰减值;

ci——第i点的步行绕路系数;

xi——第i点的直线距离;

yi——第i点的实际步行距离。

式(5.2)中目的地权重值a参见表5.1中“分类权重”数值,距离衰减值b参见前文(2)小节的内容计算,步行绕路系数c、直线距离x和实际步行距离y参见前文(2)小节的内容计算。

②基础区域街道连通性Q基础区域测度数学模型。基础区域街道连通性Q基础区域测度数学模型以整个区域为测度对象,测度整个区域的街道连通性情况。根据前文,在测度区域街道连通性时,首先将该区域划分为等距的步行网点,然后计算出每个网点的基础单点街道连通性Q基础单点,最后将基础单点街道连通性Q基础单点用每个网点所覆盖的人数作为权重后进行叠加(基础区域街道连通性Q基础区域中的“基础”指未经过数学优化的区域街道连通性)。

具体的基础区域街道连通性Q基础区域测度数学模型如下:

基础区域街道连通性:

式中 Q基础单点i——第i点的基础单点街道连通性;

di——第i点的权重值;

n——大于等于1的整数。

③数学模型优化。通过数学推理可以判断,采用本研究所提出的基础街道连通性测度数学模型测度出的街道连通性理论上最小值为0,最大值为15,值越大表示街道连通性越好,越有利于步行出行,值越小则表示连通性越差,越不利于步行出行。

但是,在具体测度过程中,0~15的数值区间使得基础街道连通性测度值的绝对差值较小,这不利于街道连通性的比较研究。特别是当研究对象的基础街道连通性比较相近时,其之间的差异则不容易体现出来。同时,相比于0~100的数值区间,或者0~10的数值区间来说,0~15的数值区间也不太适合于大众对街道连通性的直观判定。

所以,为了更加利于街道连通性的测度研究和大众对于街道连通性的直观判定,本研究将基础街道连通性的测度值扩大6.67倍,就可以使得最终街道连通性指数是一个0~100的数值。该数值区间更加便于针对不同地区以及不同设计方案的街道连通性进行对比等研究。

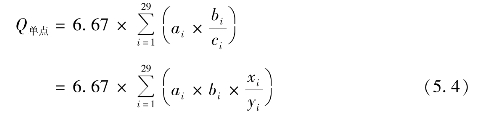
因此,优化后的单点街道连通性Q单点测度数学模型如下:

式中 Q单点——单点街道连通性;

ai——第i点的目的地权重值;

bi——第i点的距离衰减值;

ci——第i点的步行绕路系数;

xi——第i点的直线距离;

yi——第i点的实际步行距离。

式(5.4)中目的地权重值a参见表5.1中“分类权重”数值,距离衰减值b、步行绕路系数c、直线距离x和实际步行距离y参见前文(2)小节的内容计算。

优化后的区域街道连通性Q区域测度数学模型如下:

式中 Q区域——区域街道连通性;

Q单点i——第i点的单点街道连通性;

di——第i点权重值;

n——大于等于1的整数。

(4)数学模型测度结果分析

上文(3)小节中所提出的步行出行视角下街道连通性测度数学模型的首要作用就是量化研究对象的街道连通性,用精确的数值体现一个地区的街道连通性情况,体现建成环境对步行出行的促进或者抑制作用的大小。在测度结果分析中,有时还需要确定某一点或者某一地区的街道连通性不足的原因。那么,除了上述街道连通性测度的方法之外,本研究还提出了综合绕路系数C综合的计算方法,并结合基础步行指数E基础提出确定街道连通性不足原因的方法。

①推导综合绕路系数C综合。步行绕路系数是街道连通性的核心指标,上文(3)小节中街道连通性Q测度数学模型是每一个日常服务设施所对应的步行绕路系数c根据日常服务设施权重值a和距离衰减值b进行叠加计算得来的。也就是说,街道连通性数值可以理解为一个地区考虑了不同日常服务设施权重关系和距离衰减关系的一个加权叠加的绕路系数值。但是,有时候我们在研究一个地区的步行绕路系数时,仅仅需要知道该地区的综合绕路情况,也就是该地区基于每次步行出行绕路情况的一个综合值。当不涉及日常服务设施权重关系和距离衰减关系时(3)小节中所提出的街道连通性测度数学模型则不能直接运用。

目前来说,测度一个地区综合绕路情况通常采用的是以城市中心为基准点,测度一定半径下步行绕路系数的情况,或者通过测度在某一半径内一定步行绕路系数所覆盖的城市面积大小等方法来表示一个地区的综合绕路系数情况。如Hess(1997)以城市中心为基点,在1/2 mi(805 m)的半径范围内计算出到达中心点的步行绕路系数小于等于1.5的区域,通过该区域面积的大小则能反映出该城市综合绕路系数的好坏。同时,Hess(1997)还分别以1/8,1/4,3/8和1/2 mi(201,402,604和805 m)为半径,计算该半径范围内的步行绕路系数值,通过该值大小反映该地区的综合绕路系数。但这种测度方法更多的是从图面视角来考虑,忽视了步行出行目的地的选择问题,没有考虑到日常服务设施才是步行目的所在这一关键点。

鉴于本研究街道连通性数学模型Q采用的是根据步行绕路系数c的倒数1/c乘以每个日常服务设施的权重值a和距离衰减值b的积a×b来加权叠加得到的。其中日常服务设施的权重值a和距离衰减值b的积a×b正是基础步行指数E基础计算的核心,它表示一个地区基于日常服务设施的步行性情况。因此,用街道连通性Q数学模型结合基础步行指数E基础可以反推出综合绕路系数C综合

具体综合绕路系数C综合数学模型如下:

式中 C综合——综合绕路系数;

E基础——基础步行指数;

Q——街道连通性。

备注:当C综合测度的是单点的综合绕路系数时,对应的E基础是基础单点步行指数,Q是单点街道连通性。当C综合测度的是区域的综合绕路系数时,对应的E基础也是基础区域步行指数,Q是区域街道连通性。

根据研究需要,调整后的基础单点步行指数E基础单点和基础区域步行指数E基础区域的具体解释如下:基础单点步行指数E基础单点中的“基础”指未考虑步行环境衰减关系的单点步行指数;基础区域步行指数E基础区域中的“基础”指未考虑步行环境衰减关系的区域步行指数。

基础单点步行指数:

式中 E基础单点——基础单点步行指数;

ai——第i点的目的地权重值;

bi——第i点的距离衰减值。

式(5.7)中目的地权重值a参见表5.1中“分类权重”数值,距离衰减值b参见上文(2)小节的内容计算。

基础区域步行指数:

式中 E基础区域——基础区域步行指数;

E基础单点——第i点的基础单点步行指数;

di——第i点的权重值;

n——大于等于1的整数。

以上公式参照卢银桃,王德.美国步行性测度研究进展及其启示[J].国际城市规划,2012(1):10-15得出。

因为基础步行指数E基础和街道连通性Q两个指数是从步行出行的视角出发讨论步行性的问题,均综合考虑了作为步行目的地的日常服务设施的权重关系和距离衰减关系。所以,该综合绕路系数C综合同样是从步行出行角度出发,综合考虑了步行出发点、步行路径和步行目的地等影响步行出行和街道连通性的因素。因此,本研究的综合绕路系数C综合的计算方法将更贴近现实生活中的步行绕路系数。它是一个地区居民在日常生活中步行出行绕路情况的一个综合值。

步行绕路系数的数值大小与步行出行意愿有很大的相关性。为此,不同学者或机构对步行绕路系数的数值大小作了一定的判定。Randall & Baetz指出,1.5通常为步行绕路系数的临界值。他们的研究发现,具有栅格路网和街区长度相对较短的街道步行绕路系数通常为1.4~1.5,具有更多曲线道路和尽端路的街道步行绕路系数通常是1.6~1.8(Randall et al.,2001)。波特兰市提出步行绕路系数最大不超过1.5(Handy et al.,2003),其工程师标准建议步行绕路系数应该控制在1.2~1.5,并认为1.6~1.8的步行绕路系数就比较迂回了。同时,如Hess等其他学者在进行步行绕路系数测度时,也多采用1.5作为测度值(Hess,1997)。

所以,本研究采用1.5作为步行绕路系数的临界值。具体来说,即步行绕路系数小于等于1.5,是人们乐意步行出行的绕路程度;步行绕路系数大于1.5之后,人们步行出行的意愿将大大降低,将更愿意采取车行出行的方式。因此,可以得到如下判定(图5.12):

当1≤综合绕路系数C综合≤1.5时,则街道连通性好,促进步行出行;

当综合绕路系数C综合≥1.5时,则街道连通性差,阻碍步行出行。

图5.12 综合绕路系数分析图

②分析街道连通性不足的原因。(3)小节中街道连通性测度方法综合考虑了步行绕路系数c、目的地权重值a和距离衰减值b三个方面的因素来测度建成环境对步行出行的影响程度。基础步行指数E基础考虑了日常设施的种类和空间布局,即考虑了目的地权重值a和距离衰减值b,其结果用来表示日常服务设施的布局情况是否有利于步行出行。小节(4)中综合绕路系数C综合从步行绕路系数方面体现了日常生活中步行网络的综合绕路情况。因此,当需要明确一个地方街道连通性不足的原因时,可根据基础步行指数E基础和综合绕路系数C综合来共同确定。因此,可以明确街道连通性不足究竟是日常服务设施布局不合理引起的,还是步行网络的步行出行绕路程度太大引起的。

步行指数E测度结果认为当测度结果大于70时,日常服务设施的步行性是有利于步行出行的(卢银桃 等,2012)。步行指数E是由基础步行指数E基础乘以一个1%~10%的衰减率得来的。因此,本研究以75作为基础步行指数E基础测度值的临界值,认为当基础步行指数E基础大于75时,周边的日常服务设施布局有利于步行出行;当基础步行指数E基础小于75时,周边的日常服务设施布局不利于步行出行。

同时根据上文以1.5作为综合绕路系数C综合的临界点,当综合绕路系数C综合<1.5时,说明其周边步行网络设计较好,步行出行绕路程度较低,有利于步行出行;当综合绕路系数C综合>1.5时,说明其周边步行网络设计较差,步行出行绕路程度较高,不利于步行出行。

综上,在分析街道连通性不足的原因时,可以分别计算出基础步行指数E基础和综合绕路系数C综合,然后将其带入图5.13中进行综合分析。

图5.13 街道连通性分析图

A类情况:综合绕路系数C综合较好(数值小于1.5),基础步行指数E基础较好(数值大于75)。说明该地的日常设施布局和步行网络设计都有利于步行出行,街道连通性较好。

B类情况:综合绕路系数C综合较差(数值大于1.5),基础步行指数E基础较好(数值大于75)。说明该地的日常服务设施布局合理,其街道连通性不足的原因是步行网络设计不合理,具体原因可能是步行通道太过曲折、步行设施(人行天桥等)设置不够合理等。

C类情况:综合绕路系数C综合较好(数值小于1.5),基础步行指数E基础较差(数值小于75)。说明该地步行绕路情况较少,其街道连通性不足的原因是日常设施布局不完善。具体原因可能是日常服务设施种类不齐全、数量不够或者布置距离太远等。

D类情况:综合绕路系数C综合较差(数值大于1.5),基础步行指数E基础较差(数值小于75)。说明该地街道连通性不足是步行网络设计不合理和日常设施布局不完善共同引起的。具体原因可能是日常服务设施种类不齐全、数量不够或者布置距离太远,以及步行通道太曲折、步行设施(人行天桥等)设置不够合理等。

4)连通性测度的实践应用

首先,根据规划设计方案,采用上文(3)和(4)小节中指出的方法来提取街道连通性测度所需的基础数据。

①步行出发点。考虑适宜步行出行的距离长度,该项目以500 m为间距设置步行网格,从而确定相应的区域步行出发点(图5.14)。

图5.14 区域步行出发点

②步行网络。根据上文中指出的步行网络的提取方法,结合规划方案中的道路系统规划和土地利用规划,提取步行网络如图5.15所示。

图5.15 步行网络和日常服务设施

③日常服务设施布局。该项目属于城市新区开发建设,因此日常服务设施布局的数据需要假设得出。具体需要收集的日常服务设施布局的基础数据根据表5.1“设施分类表及权重2”得来,一共需要收集13类日常服务设施。其中,一些重要的日常服务设施的布局根据规划设计方案得出,如幼儿园、市场等(表5.2);公园的数量根据规划一共有9次,包括城市公园和社区公园;其他一些日常服务设施的布局根据规划范围北面参考地区的公共服务设施布局的种类和密度来确定,如商店、酒吧等。该参考地区的面积约为5.5 km2,与项目的城市建设用地面积基本相等。该参考地区城市性质与项目性质相近,主要用地也是居住和商业用地。因此,该参考地区的日常服务设施的数量和分布对项目有很强的借鉴性(图5.15)。该参考地区的日常服务设施数量和分布根据百度地图数据库提取,其提出的具体数据详见表5.2。

表5.2 规划设计方案中所涉及的部分日常服务设施

通过整合规划设计和参考地区的日常服务设施种类和数量最终得到该项目内的日常服务设施种类和数量(表5.3),其中将表5.2中的“社区卫生站”纳入表5.4的“医院药店”;将表5.2中的“文化活动中心”和“体育场馆”纳入表5.4的“娱乐健身”;将表5.2中的“图书馆”和“展览馆”纳入表5.4的“图书展览”;将表5.2中的“邮政支局”和“邮政所”纳入表5.4的“邮政快递”。并将日常服务设施根据规划方案和参考地区的布置特点布置在基地内(图5.16)。

图5.16 日常服务设施布局参考地区示意图

表5.3 参考地区日常服务设施统计表

表5.4 规划范围内日常服务设施统计表

续表

然后,将上述基础数据导入ArcMap 10.0软件,计算相应的街道连通性测度指标。将区域步行出发点转换成ArcMap 10.0软件可以识别的“事件点”作为步行出行的起点。将步行网络转换成ArcMap 10.0软件可以识别的“道路网络”,并设置相应的参数变量作为步行出行的实际路径。将日常服务设施分类型转换成Arc-Map10.0可以识别的“设施点”作为步行出行的目的地。采用“网络分析工具”(Network Analysis)分别计算出每个区域步行出发点(“事件点”)通过实际路径(“道路网络”)到达每个步行目的地(“设施点”)的步行距离和直线距离。从步行距离的短到长依次选取表5.1中“分类权重”所对应数量的步行距离和直线距离。从而得出区域步行出发点与目的地的步行绕路系数c。再结合距离衰减规律函数B(y),得出每个区域步行出发点对应的每个目的地的距离衰减值b。

最后,将每个区域步行出发点的街道连通性测度指标带入单点街道连通性测度模型,得出每个步行出发点的单点街道连通性Q单点。根据用地性质和人口密度计算出各个地块的人口比重。根据人口比重,引入区域街道连通性测度模型,从而测度出整个射洪县城南片区的区域街道连通性Q区域(表5.5)。

依据以上测度方法计算结果显示,射洪县城南片区的区域街道连通性Q区域为64.21,基础区域步行指数E基础区域为89.47,综合绕路系数C综合为1.39。

其中主要涉及的数学计算模型有单点街道连通性Q单点、区域街道连通性Q区域、综合绕路系数C综合、基础单点步行指数E基础单点、基础区域步行指数E基础区域等。具体如下:

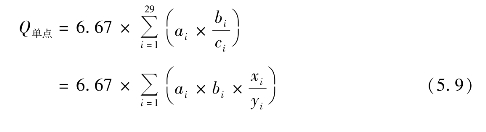
①单点街道连通性Q单点测度数学模型:

式中 Q单点——单点街道连通性;

ai——第i点的目的地权重值;

bi——第i点的距离衰减值;

ci——第i点的步行绕路系数;

xi——第i点的直线距离;

yi——第i点的步行距离。

式5.4中目的地权重值a参见表5.1中“分类权重”数值,距离衰减值b参见上文(2)小节的内容计算,步行绕路系数c、直线距离x和实际步行距离y参见上文(2)小节的内容计算。

②区域街道连通性Q区域测度数学模型:

式中 Q区域——区域街道连通性;

Q单点i——第i点的单点街道连通性;

di——第i点权重值;

n——大于等于1的整数。

③综合绕路系数C综合数学模型:

式中 C综合——综合绕路系数;

E基础——基础步行指数;

Q——街道连通性。

在式(5.11)中,当C综合测度的是单点的综合绕路系数时,对应的E基础是基础单点步行指数,Q是单点街道连通性。当C综合测度的是区域的综合绕路系数时,对应的E基础也是基础区域步行指数,Q是区域街道连通性。

④基础单点步行指数E基础单点数学模型:

式中 E基础单点——基础单点步行指数;

ai——第i点的目的地权重值;

bi——第i点的距离衰减值。

式(5.12)中,目的地权重值a参见表5.1中“分类权重”数值,距离衰减值b参见上文(2)小节的内容计算。

⑤基础区域步行指数E基础区域数学模型:

式中 E基础区域——基础区域步行指数;

E基础单点——第i点的基础单点步行指数;

di——第i点的权重值;

n——大于等于1的整数。

表5.5 区域街道连通性测度指标统计表

续表

5)结果分析

通过测度得出,该调研区域的区域街道连通性Q区域为64.21,基础区域步行指数E基础区域为89.47,综合绕路系数C综合为1.39,都属于较高水平。其街道连通性属于A类,说明该规划设计方案无论是从步行路网方面还是日常服务设施布局方面都设计得较好。因此,可以得出该规划方案的街道连通性设计较好,也就是说该规划方案有利于促进步行出行,有利于促进人群健康。

具体从每个区域步行出发点(即aa到ef共29个点,详见图5.14)来看,方案中街道连通性最好的区域是生活性主干道桂仙路两侧,以及南部步行单元和北部步行单元的中心节点周围。方案中南部步行单元和北部步行单元的街道连通性较好,而西部步行单元的街道连通性较差。这与城市用地性质有很大的关系,南部步行单元和北部步行单元主要是居住生活区,而西部步行单元主要是仓储物流区。西部步行单元无论是在路网密度,还是日常服务设施布局等方面都相对不利于步行出行(图5.17和图5.18)。同样,根据表5.5对每个区域步行出发点周围的街道连通性进行分析,其中A等的有21个,占72%,D等的只有10%,而且都位于规划范围内非建设用地上。因此,从每个区域步行出发点来看,该规划方案中的绝大部分地区,特别是与居民日常生活息息相关的地区的街道连通性都较好。

图5.17 测度结果示意图叠加步行网络

(注:图中数值代表街道连通性大小。)

图5.18 单点街道连通性测度结果示意图

(注:图中数值代表街道连通性大小。)

同时还可以看出,由于自然山体的原因,地块划分和道路规划都受到一定程度的限制,使得极少部分地区的街道连通性相对较差。特别是老鸦山片区的街道连通性比较差。规划区中心的长岭岗山体由于公园的建设,设计了多个出入口,多条游步道,其街道连通性要好得多(图5.17和图5.18)。

但是,在结果中be点值得注意。从图5.18可以明显看出be点这里的街道连通性明显差于周边区域,其单点街道连通性Q单点为46。通过查看规划设计方案可知,该点没有因为山体水系等自然因素限制其街道连通性的建设。因此,该点街道连通性明显差于周围区域要从其他方面分析原因。

从表5.5和图5.18中得出,be点基础单点步行指数E基础单点be为91,综合绕路系数C综合be为2.01,街道连通性评级为B级,说明be点周边的日常服务设施种类齐全、布局合理,但由于周边的综合绕路系数太差,步行出行绕路太多,使得其街道连通性较差。通过查看ArcMap 10.0中从be点步行出行的步行路径(以商店为例)可以证明上面的分析。从图5.19中可以看出,该地块相对较大,却没有足够的支路或者步行通道,因此从be点步行出行绕路程度比较大(图5.19)。这种情况与现实生活中的大型封闭居住小区、门禁社区等状况极其相似,过大的用地与较少的城市支路和步行通道,使得步行出行绕路程度增加,降低了街道连通性,因而不利于市民的步行出行。

图5.19 街道连通性、基础步行指数和综合绕路系数对比图

综上可以得出,该规划设计方案很好地体现了规划的意图,规划设计方案的区域街道连通性和重点地段的街道连通性都较好,但是对个别位置的街道连通性需要进行优化处理,如be点的步行绕路系数需要降低。

通过上述研究可以得出,影响街道连通性的核心指标是步行绕路系数,而影响步行绕路系数的因素主要包括步行距离和步行目的两个方面。步行距离方面包括街区模式(街区长度、街区大小等)、路网模式(街道密度、交叉口密度、连接节点比率、联路节点比率和网络形态等)和步行设施,良好街道连通性的建成环境普遍具有较短的街区长度、较小的街区面积、较高的街道密度、较高的交叉口密度、较高的连接节点比率,以及合理的步行设施设置等特征。步行目的方面主要包括日常服务设施的种类、数量和空间布局,具有良好街道连通性的建成环境中的日常服务设施种类齐全、数量充足并且空间布局合理,其对应的步行距离较短,距离衰减值小,步行绕路系数低。

6)研究结论

对街道连通性进行概念定界,认为街道连通性是指建成环境中出发点和目的地之间步行路径的直线性程度,它体现了建成环境中步行出行的方便程度。街道连通性越好,则步行出行越方便,居民步行出行的意愿就越高;反之,街道连通性越差,则步行出行越不方便,居民步行出行的意愿就越低。

通过分析步行出行的影响因素,认为在街道连通性方面影响步行出行最主要的因素是步行距离和步行目的。步行距离是影响步行出行最主要的客观因素。步行距离由步行出发点、步行路径和目的地共同决定。步行距离包含实际步行距离和步行绕路系数两个指标。而步行目的是影响步行出行最主要的主观因素。步行目的多为日常服务设施,步行目的的多样性也即是日常服务设施的多样性,它包含了日常服务设施的种类、数量和空间布局等内容。

本小节提出街道连通性的测度研究应以步行出行为研究视角,优化了传统的车行视角或图面视角;并指出步行出行视角应以步行距离和步行目的为重要考虑内容,从而使得街道连通性的测度结果能体现街道连通性对步行出行的促进或抑制程度的大小。

影响街道连通性的核心指标是步行绕路系数,而影响步行绕路系数的因素主要包括步行距离和步行目的两个方面。步行距离方面包括街区模式(街区长度、街区大小等),路网模式(街道密度、交叉口密度、连接节点比率、联路节点比率和网络形态等)和步行设施。步行目的方面主要包括日常服务设施的种类、数量和空间布局。