Absolute and relative PPP
PPP describes the relation between average price levels in each country and the equilibrium exchange rate.Suppose that the law of one price holds for all goods and services.According to Equation (5.1), the same basket of goods and services in both countries should have the same price.Let P(0)represent the price of the basket of goods and services at time 0.Then

This relation represents the absolute form of PPP and is very restrictive.It can only be valid if goods and financial markets are perfect and the same commodities appear in the same proportions in each country’s market basket.This is an unrealistic proposition insofar as it ignores the effects of market imperfections, transaction costs, product differentiation, and restrictions on international trade such as quotas and tariffs.
The relative form of PPP, more commonly used today, is less restrictive than the absolute form.It states that in comparison to a period when exchange rates were in equilibrium, changes in the ratio of domestic to foreign prices indicate the appropriate adjustment in the exchange rate.Let S0(GBP/USD), PGBP(0), PUSD(0)be the case period equilibrium exchange rate and price levels, and rearrange Equation (5.3):

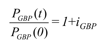
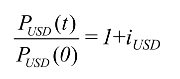
At time t the corresponding relation is:

Dividing 3.5 by 3.4 gives the relative form of PPP:

Equation (5.6)is usually expressed in terms of rates of inflation.Let iGBP and iUSD be the US and UK rates of inflation respectively.Then

and

Substituting these values into Equation (5.6)gives the relative form of PPP in terms of inflation rates:

Relative PPP can also be presented as the percentage change in the exchange rate over the period by subtracting 1 from both sides of Equation (5.7):

This is the most usual presentation of relative PPP.When inflation rates are low, Equation (5.8)can be approximated as the difference between the two countries’ rates of inflation:

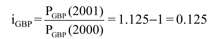
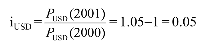
To take an example of the relative form of PPP, suppose that the US consumer price index rises from 100 to 105 in the period from December 31, 2000 to December 31, 2001 and the UK consumer price index increases from 200 to 225 over the same period.If the exchange rate was in equilibrium on 31 December 2000, according to Equation (5.4)it would have been equal to

The UK rate of inflation can be calculated as

or 12.5% and the rate of inflation in the United States as

or 5%.Then, according to Equation (5.7), the equilibrium exchange rate on 31 December 2001 would be

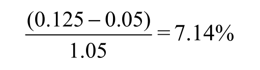
From Equation (5.8)the percentage change in the exchange rate would be

which means that according to the relative form of PPP it should take 7.14% more pounds to buy one dollar on December 31, 2001 than it did on December 31, 2000.
If we use the approximation in Equation 3.9, the percentage change in the exchange rate is equal to 12.5%-5%=7.5% which is close to the exact figure of 7.14% obtained with Equation (5.8).