Cross-currency interest rate swaps
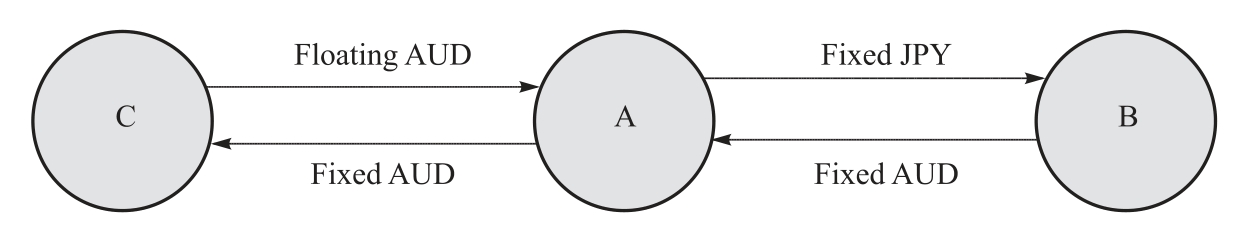
A cross-currency interest rate swap involves the exchange of payments in different currencies.One set of payments is calculated on the basis of a fixed interest rate, whereas another is calculated on the basis of a variable interest rate.This arrangement can be executed as a single transaction between two counterparties, A and B.Figure 7.2(a)illustrates a swap whereby A receives floating interest Australian dollar payments and B receives fixed interest Japanese yen payments.Figure 7.2(b)shows that counterparty A deals with two counterparties to separate the cross-currency and interest rate components.A pays C the fixed Australian dollar payments received from B, in return for floating Australian dollar payments.

Figure 7.2 (a) Dealing with one counterparty

Figure 7.2 (b) Dealing with two counterparties
1.Futures contracts emerged in response to three problematic characteristics of forward contracts: (i)non-standardization of the contracts; (ii)risk of default; (iii)lack of liquidity.
2.Futures markets perform two important functions: price discovery and risk transfer.
3.A currency swap, which is different from a foreign exchange swap, is a transaction in which two counterparties exchange specific amounts of two different currencies at the outset and repay over time in accordance with a predetermined rule that reflects both interest payments and the amortization of principal.Currency swaps have evolved as a successor to parallel loans.