5.3.1 方法和思路
2025年10月13日
5.3.1 方法和思路
通过对第一轮选取的葡萄酒旅游资源评价指标进行再次筛选,得到的最终指标更切合体系构建的原则和目标,并使用于案例地贺兰山南麓葡萄酒产区旅游资源评价研究。经过各种对比方法后,本文采用德尔菲(Delphi)法开展此项工作。通过问卷调研的形式,对葡萄酒旅游的研究学者,葡萄酒旅游专家、旅游规划专家、高校从事旅游教学科研工作的教师以及行业管理者征询意见。这些专家的专业背景涉及旅游管理、地理科学、农学、资源科学、生态学、企业管理。
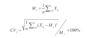
为了进一步提升评价指标筛选的科学性和有效性,以便进行效度和信度测量,每个指标分别设立“不重要、比较不重要、一般重要、比较重要、重要”五个等级,分别对应:1、3、5、7、9分。邀请各位专家对每个指标打分,最后计算平均值,并采用变异系数表示每位专家对评价指标的差异程度。其表达公式分别为:
式中:M是j项指标的重要程度;n为专家个数,Mj为专家打分平均值,Xij是第i个专家对第j个指标的打分;CVj是专家对指标j打分的差异程度。
根据受访专家调研问卷结果,将重要性均值小于6.0且差异程度大于30%的指标删除或者修改,保留的因子作为本研究遴选的葡萄酒旅游资源开发评价的指标因子。