5.4.3 流域蒸散发能力
2026年01月14日
5.4.3 流域蒸散发能力
在利用分层模式法计算流域的蒸散发量时,无论采用哪种模式,均需要知道流域的蒸散发能力,而流域的蒸散发能力难以直接测定,因此,通常采用间接计算法进行确定。
流域蒸散发能力与水面蒸发密切相关,而水面蒸发的确定较为简单,因此,通常由水面蒸发实测资料来确定流域的蒸散发能力。二者的关系式为
![]()
式中 Ew——水面蒸发速率,mm/d;
α——蒸散发系数,与蒸发器的类型有关。
流域蒸散发能力除了与水面蒸发有关外,还与植物散发和地热传导等主要因素相关,因此,也有通过这三种因素来确定流域蒸散发能力的经验公式,即
![]()
式中 β——植物散发系数;
S——地热传导系数;
Ew——水面蒸发速率,mm/d。
对于式(5.9),由于植物散发在理论和实测上都不太成熟,因此β只能作经验处理;而S的计算方法相对成熟,即
S=1-φ[(T0-Td)/L](https://www.daowen.com)
式中 L——水的汽化潜热;
T0——地表温度,℃;
Td——地温相对稳定层的温度,℃;
φ——经验系数。
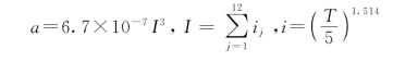
此外,当缺乏水面实测资料时,也可用其他经验公式来估算流域的蒸散发能力。其中,比较典型的有Thornthwaite公式,即以气温为主要影响因子来间接计算流域内一年中任一月份的蒸散发能力,其计算公式如下
![]()
其中 
式中 Em——流域的蒸散发能力,mm/d;
T——月平均气温,℃;
I、i——年和月的热能指数;
b——修正系数,为最大可能日照小时数与12h的比值。