2.2.2 EPA模型
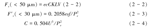
美国环保局EPA粉尘释放模型(OAQPS, 1977; Cowherd et al., 1979)原本是用来估算地面易散性粉尘的释放强度,最近被用来计算中国北方粉尘释放通量(Xuan, et al.,1999, 2000,2002)。这个模型可表述为式(2-2)~式(2-4):

其中方程式(2-2)和式(2-3)分别用来计算PM50和PM30粉尘的释放通量,U为年平均风速, e为土壤可蚀性指数, c和s分是土壤中 <50 μm和 <30 μm颗粒的百分含量,V为植被覆盖因子,K是粗糙度因子,L是无屏蔽宽度因子, f是平均风速超过起动风速的时间占全年的比例,起动风速取5.4 m/s,Pe是Thornthwaite降水-蒸发指数。式(2-4)为风蚀的气候指数方程(Chepil,et al., 1963),它是风速和土壤含水量以及有效降水量的函数。(https://www.daowen.com)
EPA模型比较全面地考虑了影响土壤质地(土壤可蚀性指数和可悬浮粒子含量与土壤质地有关)、地貌(无屏蔽宽度因子表示地形对风场的影响和调整)、植被覆盖和气候等因素对粉尘释放强度的影响,但也存在着一些不足:一方面,虽然考虑因子很多,但像植被覆盖因子、无屏蔽宽度因子是不易获得,而人为估计值还存在很大的不确定性,如前人的做法(Xuan, et al., 1999, 2000,2002);另一方面,就粉尘释放而言,最近的野外研究显示(Gomes,et al., 2003)粉尘释放通量与土壤中粉粒和黏粒含量没有直接关系,这意味着该模型选择c和s这2个参数来描述粉沙和黏粒含量对粉尘释放的影响还存在不确定性。和Gillette & Passi (1988)模型相似, 该模型也没有描述粉尘释放的物理机制。
由于输入气象参数为年平均数据,该模式适合用来模拟粉尘释放强度的年际变化(Xuan & Sokolic, 2002)。