参考文献
第5章 风蚀粉尘释放机理及模拟计算
5.1 粉尘释放模式的比较与分析
粉尘释放强度常采用半经验的解析模式来计算(见表5-1)。和其他模型相比较,DPM模式的物理机理较为清楚,其需要的经验参数也容易获得,故本章粉尘释放模拟选用DPM模型。
表5-1 几个粉尘释放模式的比较(根据梅凡民(2013)表格内容修改)

续表

从表5-1可以看到,利用DPM模型计算粉尘释放强度时,需要输入地表参数和空气动力学参数,本章主要从这两类参数的参数化方案出发来阐述粉尘释放模拟的方法及计算结果。
5.2 风蚀粉尘源区表土微团聚体粒度分布特征及参数化方案
5.2.1 采样与分析
沉积物的粒度分析经常是被水被分散为单个颗粒后进行测试,这是一种湿法测试方法(鹿化煜和安芷生, 1997)。鉴于风力侵蚀缺乏对土壤团聚体强烈的分散作用,风蚀研究中土壤颗粒分析主要是采用干筛分析方法以避免对土壤团聚体的破坏(e.g.Chatenet,et al., 1996; Mei, et al., 2004)。图5-1表明投加量为20 g时细沙沙样的筛分效果在3 min达到稳定,而投加量在30~100 g时约在9 min达到稳定,意味着不同投加量情况下需要一个最短的筛分时间以保证筛分效果。最短的3 min筛分时间对20 g投加量时是必要的,最短的9 min筛分时间对30~100 g投加量是必要的。


图5-1 筛分时间及投加量对细沙筛分效果的影响(a:20 g投加量;b:30 g投加量;c:40 g投加量;d:50 g投加量;e:60 g投加量;f:100 g投加量)(南宁等,2016)
在干筛分分析的基础上,需要用概率分布模式来描述土壤微团聚体的概率分布特征。概率分布模式能够准确地预测每一个粒级颗粒的质量百分比(概率),从而为预测每个颗粒的跃移通量提供基本参数。前人描述土壤团聚体粒度分布特征的参数为平均粒径和标准偏差,如果土壤团聚体粒度分布符合正态分布,则能根据平均粒径和标准偏差预测每一个粒级的团聚体的分布概率,而表土微团聚体的粒度分布符合对数正态分布或几个对数正态分布的叠加(e.g.Chatenet, et al., 1996; Mei, et al., 2004),在此情形下仅用平均粒径和标准偏差来表征土壤团聚体的粒度分布特征是不准确的。
为了获得中国北方风蚀粉尘释放源区的表土微团聚体分布特征,著者所在研究小组对中国北方典型区域的表土进行了采样和分析(梅凡民,2013),这些采样点的信息见表5-2。采集的表土样品几乎涉及中国北方粉尘释放的所有潜在源区,包括了塔克拉玛干沙漠、古尔班古通沙漠、新疆东部的沙漠戈壁区、河西走廊风蚀区的绿洲和沙地、乌兰布和沙漠、腾格里沙漠、毛乌素沙地、科尔沁沙地、内蒙古高原农牧交错带以及温带草原区风蚀退化的农田和草地等。从地貌类型上看,包括了流动沙地、半固定沙地、固定沙地、砾质戈壁、半干旱区域低山丘陵区、层状高平原上以物理风化和侵蚀为主的坡积物、残积物构成的砾质化农田、草原以及干旱区灌溉绿洲农田和风蚀退化的农田等。从地表组成物质来看,这些样品包括了风积物、河流冲积物以及在河流冲积物上通过耕作、灌溉以及成土过程形成的耕作土壤、山地丘陵地区的坡积物及残积物等。这些松散的地表物质在一定气象条件下和植被覆盖状况下,成为表土风蚀和粉尘释放的潜在物质的来源。从样品的采集区域、地貌类型以及物质组成的特征来看,本文研究的样品能够代表中国北方主要风蚀和粉尘释放源区的表土特征,具有典型性和代表性。
表5-2 表土样品位置、地表特征和表土质地科尔沁沙地(HQ1-2, 12, 23, 31-33, 35,38-39,41,数据来自文献(朱震达,陈广庭等,1994)TK样品号为5,27,35,43,46,94,98,数据来自文献(朱震达等,1981)) (据梅凡民,2013)

续表

续表

续表

续表

续表

续表

续表

5.1.2 表土微团聚体粒度分布特征及参数化方案
气溶胶的粒径分布曾被用数正态分布对数据进行符合对数正态分布(Gomes, et al.,1990),干旱与半干旱区表土微团聚体粒度分布也进似服从对数正态分布(e.g.Chatenet,et al., 1996; Mei, et al., 2004)。对数正态分布模式的拟合原理是以非线性最小二乘法中的最小残差来保证拟合效果,即把任何土壤微团粒体粒度分布都可以看作是几个对数正态分布群体的叠加,每一个对数正态群体分别用中值粒径、标准偏差及其在整个对数正态分布群体所占比例等参数描述,通过调整这3个参数保证拟合结果与测定结果的残差达到最小。曲线拟合的方程为(5-1):

Dmedi是第i个正态分布群体的中值粒径,σi为第i个正态分布群体的中值粒径的几何标准差,Mi是第i个正态分布群体质量百分比。
图5-2表明模拟合与实测的表土样品微团粒粒度分布曲线接近重合,意味着这些表土样品微团粒粒度分布符合对数正态分布模式。塔克拉玛干沙漠样品如TK5, 27, 43等符合单峰对数正态模式,其中值粒径为80~120 μm的粉沙;毛乌素沙地的样品如MS1, 3,4等是由2个对数正态模式叠加的,其中值粒径分别为粉沙和中沙,且以中沙为主;内蒙古高原砾质土壤样品如IM1, 3, 10,其微团聚体粒度分布可表示为3个对数正态模式的叠加,对应中值粒径分别为粉沙,中沙和粗沙或极粗沙。
从沉积学意义来看,沙漠沙经过风力长期的吹蚀和粉选,地表残留物质具有很好的分选性,因而其粒度分布特征可表示为1~2个对数正态群体的叠加,其反映了这类风积物的成因单一、分选性好的特征,例如塔克拉玛干沙漠的样品。对低山丘陵风化剥蚀地带的残积物、耕作表土和草原土壤而言,既存在极粗沙、粗沙等微团聚体,也包括在坡积物、残积物上发育的钙质土壤经过长期风蚀和水蚀后,还包括细颗粒复粒黏结而成的粉沙粒级的微团聚体,这类土壤可蚀性微团粒粒度分布便可以表示为3个对数正态群体的组合。

图5-2 对数正态模式拟合效果图(土壤样品编号与前同,后缀-mea 和后缀-com分别表示实测和模拟值)(据梅凡民,2013)
根据实测表土微团聚体粒度分布特征,可对不同表土类型的粒度分布特征作参数化处理,即根据表土粒度分布对数正态分布总体及其组合来模拟风蚀粉尘源区表土微团聚体的粒度分布特征(见5-3),此参数化方案是本章粉尘释放模拟的输入参数。
表5-3 模拟的中国表土微团聚体的粒度分布特征(梅凡民等,2004)

续表

5.3 风蚀粉尘源区典型区域地表覆盖模拟的参数化方案
对风蚀粉尘释放的模拟而言,需要根据地表覆盖状况来预测不同地表覆盖类型下空气动力学粗糙度和起动摩阻风速。为了预测实现1°×1°分辨率的粉尘释放通量,需要和该精度匹配的地表覆盖类型数据。中国北方粉尘释放源区地表覆盖类型可分为2类,一类是稀疏的植被而另一类是直径超过2000 μm的砾石和大土壤团块。稀疏植被覆盖采用数字化的1∶1500000植被类型图来确定每个1°×1°网格内的植被覆盖类型分布比例和面积,以此作为植被覆盖参数来推测空气动力学粗糙度(图5-3)。

图5-3 植被覆盖参数化区域及1°×1°网格编号(梅凡民, 2013)
地表参数化区域分为2个典型区域(见图5-3):巴丹吉林沙漠及戈壁地区位于内蒙古自治区的最西部,西部和西南部接河西走廊戈壁带,东部与玛亚雷克沙漠戈壁带相连,东南部为腾格里沙漠,北部与蒙古的戈壁相连,地理坐标大致在97~103°E, 39~43°N之间。区域地貌可以分为3部分,分别为西部、南部边缘地带和东北角干燥剥蚀的低山和残丘;中东部的冲洪积平原(其中包括东西戈壁和弱水河两岸阶地以及冲积平原);东部为巴丹吉林沙漠。地貌类型可以分为中低山剥蚀残丘(石质戈壁)、冲积-洪积沙砾质平原(沙砾质戈壁),流动沙丘、沙山、半固定沙丘以及湖盆洼地等。由于地处极端干旱的荒漠地带,降水稀少,蒸发量大,地表水和地下水缺乏,风大沙多,因此植被类型单一,种属少,盖度小,多具有低矮耐盐碱的特征,主要类型有低山草原化荒漠植被、低山残丘荒漠植被、高平原荒漠植被和河泛低地草甸植被等(见图5-4)。阴山以北干草原农垦区东起坝上高原东部,西止巴彦诺尔盟乌拉特中旗的海流图盆地,西北为砾质戈壁,东北为浑善达克沙地,经度在108°30′~117°30′之间。植被类型分为草甸草原、干草原和荒漠草原等3大类型(见图5-4)。地貌为阴山山地和北部高平原的过渡地带,坡状缓起伏、残山丘陵和宽浅洼地相间分布是干草原农垦区的主要地貌特色,从地貌形成的外动力来看,以干燥剥蚀为主地貌为主,其次是风蚀地貌和流水地貌和黄土地貌。这样的地貌过程和特点决定了地表组成物质普遍较粗,夹杂了砾石等成分,分选性差。本区由于近代垦殖,已变为农牧交错带,旱地农田和草原景观并存。在42°N以北,114°E以西,地表景观变为草原牧区,荒漠草原和草原化荒漠占有很大的面积,有一部分干草原。疏松的砾质化地表,矮草和稀疏的灌木覆盖,加之本区处于中蒙边界,是中国3大风区之一,为土壤风蚀和粉尘释放提供了可能。


图5-4 植被覆盖类型及1°×1°网格编号(梅凡民, 2013)
5.3.1 表土可蚀性组分粒径分布的参数化方案
表土微团聚体粒度分布是结合表5-3的结果及模拟区域的地貌特征来确定(见表5-4,5-5)。具体地说,把沙漠戈壁区表土被分成细沙和砾质沙,这个分类方案是根据前人野外调查的信息来确定。前人对巴丹吉林沙漠的研究表明 (于守忠等,1962; 朱震达等,1980),流动沙丘主要以细沙为主,结合表5-3的结果确定了细沙的粒度分布参数(见表5-4),即由质量中值粒径为210 μm的细沙群体和质量中值粒径为90 μm的粉细沙群体组成,前者对后者的比例为65:35,标准偏差分别为1.40和1.45;沙砾质戈壁由砾质沙组成,分别由极粗沙、中沙和粉细沙共同组成的,以反映沙砾质戈壁分选性差,大小混杂的特点,其中粉细沙群体所占比例约为45%左右,据此确定巴丹吉林沙漠戈壁区的表土微团聚体的粒度分布参数。
表5-4 巴丹吉林沙漠及戈壁地区表土微团粒粒度分布参数(梅凡民,2013)

阴山以北干草原农垦区的南部为干燥剥蚀的低山丘陵,北部为层状高平原地区(中国科学院内蒙古宁夏综合考察队, 1978;内蒙古自治区资源系列地图编辑委员会, 1992),除季节性河流两岸有一些冲洪积物外,表土组成物质主要白垩系、第三系为沙砾岩、泥岩、沙岩的风化残积物,花岗岩、玄武岩、片麻岩等的坡积物、残积物,另外有零星分布的沙质黄土。风化残积物、坡积物为细小的砾石、沙、粉沙和黏土的混合物,大小颗粒混杂,分选性差。故采用3个对数正态分布群体的叠加来模拟表土微团聚体分布,其质量中值粒径分别为985μm,390μm和90μm(见表5-5),由于过度放牧和气候波动等原因,草原牧区出现了严重的沙漠化,土壤风蚀加剧(朱震达, 陈广庭, 1994;王涛等,2003),表土物质在风蚀的过程中发生了砾质化和沙化,一部分细沙和中沙被风搬运、沉积,离开了原来的位置,表土出现沙化的特征,而砾石在土壤表面聚集出现砾质化现象。阴山南部的干草原经过近代的开垦后耕地出现了严重风蚀(朱震达,陈广庭,1994;董治宝,陈广庭,1997;王涛,2003),开垦耕地出现面上风蚀、沙质化和砾质化等3种形式。
表5-5 阴山北部干草原农垦区和草原牧区沙漠化表土微团粒粒度分布参数(梅凡民,2013)

5.3.2 粗糙元覆盖地表的参数化方案、空气动力学粗糙度及起动摩阻风速计算
5.3.2.1 砾石覆盖或大土壤团块与空气动力学粗糙度
表5-6为砾质表面和沙砾质表面大砾石(直径和高度在5 cm左右)和小砾石(直径和高度在1 cm左右)在不同的覆盖度下空气动力学粗糙度的变化。当砾石覆盖度为5%~20%之间时,砾质戈壁的空气动力学粗糙度在0.03~0.22 cm之间,当砾石覆盖度>20%时为0.25 cm;当砾石覆盖度在5%~20%之间时,沙砾质戈壁的空气动力学粗糙度为0.04cm, 当砾石覆盖度>20%时为0.05 cm。当地表砾石覆盖度在40%以上,地表粗糙度达到了最大,风蚀停止(Dong, et al., 2001;刘小平和董治宝,2003),风蚀主要发生在砾石覆盖度在0%~40%,这里选取20%作为戈壁表面砾石的平均盖度,砾质戈壁表面平均的空气动力学粗糙度为0.22 cm,而沙砾质戈壁表面的平均空气动力学粗糙度为0.04 cm。由于砾质戈壁平均空气动力学粗糙度高,且地表粉尘物质少,可以认为它不是粉尘的主要源区。
表5-6 巴丹吉林沙漠及戈壁区砾石覆盖地表的空气动力学粗糙度参数化方案(梅凡民,2013)

续表

以细沙为主的沙质地表来说,在没有植被覆盖的地段,可以认为它是光滑的,其平均空气动力学粗糙度是表土对数正态粒度分布群体中的最大质量中值粒径的1/30,对细沙而言,其最大的质量中值粒径为0.21 mm(见表5-3),粗糙度为0.0007 cm。
阴山北部草原地区由于沙质荒漠化和砾质荒漠化的发展,地表呈现了不同程度的沙化和砾质化(朱震达和陈广庭, 1994;董治宝和陈广庭,1997;王涛,2003),沙化地表与沙漠的流沙相近,主要为细沙组成;砾质化地表与荒漠地区的沙砾质戈壁相似,因而砾质化和沙化地表的平均空气动力学粗糙度选用和流沙与戈壁相同的参数。
阴山北部地区南部的干草原也出现了严重的沙化和砾质化,砾质化和沙化农田的平均空气动力学粗糙度分别与和流沙、戈壁相同相似,农田的风蚀形式除了沙化和砾质化外,还存在大面积的面上风蚀(朱震达和陈广庭,1994)。这些地区秋冬以后地表翻耕,出现了大量几十厘米的大团块,在春季耙耱后大的土壤团块被压碎,5 cm左右的小团块和土壤可蚀性组分共存,表土会在大风季节遭受风蚀(张春来等,2002),当5 cm团块的覆盖度在20%时,粗糙度为0.22 cm,当5 cm团块的覆盖度在10%时,粗糙度为0.09 cm。具体的参数化方案见表5-7。
表5-7 阴山北部干草原农垦区和草原牧区砾石和大土壤团块分布的参数空气动力学粗糙度参数化方案(梅凡民,2013)

5.3.2.2 植被覆盖的参数化方案、空气动力学粗糙度及起动摩阻风速
利用数字化植被类型图计算巴丹吉林沙漠及戈壁区1°×1°计算网格的植被覆盖对应的空气动力学粗糙度,这里植被覆盖的高度、盖度和植被的形状是根据前人植被调查的数据整理的(中国科学院内蒙古宁夏综合考察队,1985),植被高度和覆盖度取平均值(见表5-8)。表5-8显示,由于植被形状、高度和覆盖度的差异,其对应的空气动力学粗糙度10-2~100 cm 之间变化,一些植被类型向草原化荒漠由于植被覆盖状况较好,空气动力学粗糙度达到几个厘米,起动摩阻风速可以认为是无穷大而不出现风蚀。
表5-8 巴丹吉林沙漠的植被类型、平均高度、盖度、粗糙度及模拟的起动摩阻风速(梅凡民,2013)

续表

同样地,依靠植被调查数据对阴山北部干草原农垦区和草原牧区的植被覆盖进行了参数化处理(见表5-9)。结果表明几乎所有植被类型的空气动力学粗糙度均超过0.1 cm,意味着很难有风蚀的发生。实际风蚀发生是因为人为开垦、气候变化和过度放牧等因素导致土壤沙化而导致,鉴于此,结合前人沙漠化调查的数据和资料,这里模拟了沙漠化对空气动力学粗糙度的影响(见表5-10)。表5-10显示了沙漠化降低了植被覆盖下的空气动力学粗糙度,为风力侵蚀提供了可能。
表5-9 阴山北部干草原农垦区和草原牧区植被类型、平均高度、盖度及空气动力学粗糙度(梅凡民,2013)

续表

表5-10 模拟的沙漠化过程植被受损条件下阴山北部干草原农垦区和草原牧区植被类型、平均高度、盖度及空气动力学粗糙度(梅凡民,2013)

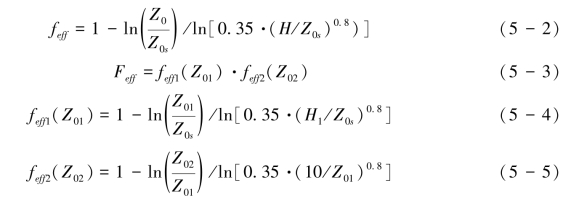
表5-11和表5-12为在砾石覆盖和植被覆盖下的空气动力学粗糙度。这里涉及双湍流切应力分解机制,即湍流动量在砾石、植被和土壤可蚀性组分之间的分配。对双应力分解机制,著者做了调整,采用式(5-2)~式(5-5)(梅凡民,2013),Feff为总应力分解系数。H和H1是与粗糙元高度相当的量,当粗糙元为植被时取10 cm, 当粗糙元为1 cm左右的砾石,H和H1可以取1 cm,当粗糙元为5 cm左右大土壤团块时, 取3 cm;当地表出现一个粗糙元时,计算阻力分配系数时选择式(5-2),出现2个粗糙元时选择式(5-3)~式(5-5),且Z01<Z02,即风应力分别在较小粗糙元和地表可蚀性组分之间,较大粗糙元和较小粗糙元之间分配。

表5-11 模拟的巴丹吉林沙漠及戈壁地区不同植被覆盖类型和表土组成物质平均的空气动力学粗糙度(梅凡民,2013)(https://www.daowen.com)

续表

续表

表5-12 模拟的阴山北部农田和草原的平均的粗糙度和起动摩擦风速(梅凡民,2013)

5.4 模拟区域1°×1°网格摩阻风速计算
利用5.3参数化方案数据,计算模拟区域内1°×1°网格的有效空气动力学粗糙度Zm,计算式为(见Taylor, 1987):
![]()
式(5-6)表示1°×1°网格点内每类粗糙元的空气动力学粗糙度的自然对数与其在网格点所占比例的乘积的代数和,它们可以根据网格点内每类植被、砾石和土壤大团块等粗糙元的高度、覆盖度来计算。
NCEP (National Centre for Environment Prediction)风速数据用来驱动DPM模型,它以每天6 h更新一次数据,每小时内每20 min一个数据,能够提供世界标准时0h,6h,12h,18h等4个时刻每小时的平均风速(Gong, et al,2003)。本章采用1993~2003年春季每日8h(北京时间)的NCEP风速数据,来计算模拟区域内1°×1°网格的摩阻风速。采用NCEP的风速数据(代表当地10 m 高度的时均风速)、Zm和对数风廓线方程计算1°×1°网格的摩阻风速,摩阻风速代表着模拟区域风力侵蚀动量的大小。当摩阻风速大于起动摩阻风速时,可根据前人的公式重新计算跃移过程对风廓线的反馈作用及对应的摩阻风速(Marticorena, et al., 1997)。
考虑到每日8h数据会错过强沙尘天气过程的大风,在这里除了预测NECP数据驱动的时均粉尘释放强度外,也预测了8级大风情景下的粉尘释放强度。
5.5 模拟计算结果及分析
5.5.1 1993年春季巴丹吉林沙漠及戈壁区沙尘天气再现
根据图5-5,1993年春季在巴丹吉林沙漠及沙漠戈壁交接地区发生了6次沙尘天气,在沙漠-戈壁的北部有3次强沙尘释放过程(网格点12~14,见图5-5),其粉尘释放通量>1000 g·km-2·s-1, 其中5月6日为春季最强粉尘释放过程,这与前人报道的“1993.5.5”特强沙尘暴(钱正安等,1996)过程基本一致,沙漠-戈壁地区南部强的粉尘释放过程仅有一次,出现于4月23日前后。其余的几次为弱到中等的粉尘释放过程,粉尘释放通量在100~1000 g·km-2·s-1之间。由此可以看出即使一次强沙尘暴过程可能影响几千公里并形成相似的天气特征(如较低的能见度),但由于各个地区表土条件和风况的差异,不同网格点的粉尘释放强度是不同的。
一个有趣的结果是沙漠中心网格点的粉尘释放通量低于周围沙漠-戈壁交接地带,如网格点17~19低于12,14,20,22等,后者是前者的几倍到几十倍,其主要是由于沙漠边缘地带的摩阻风速高于沙漠中心地区。由此可见,研究区域粉尘释放过程中,风动力条件的影响超过了地表条件的作用。


图5-5 1993年春季风沙日巴丹吉林沙漠及戈壁区的粉尘释放通量时空变化(梅凡民,2013)
5.5.2 巴丹吉林沙漠及戈壁区春季粉尘释放的区域差异
为了模拟区域的不同计算网格的粉尘释放强度差异,这里分别计算了一般沙尘天气和强沙尘天气下(8级大风的平均风速模拟)裸露流沙、稀疏植被覆盖的流沙、沙砾质戈壁的粉尘释放通量(见图5-6)。
对巴丹吉林沙漠-戈壁地区而言(见图5-6a),一般沙尘天气下裸露流沙春季平均粉尘释放总量在0.5~5 Mt/grid之间(百万吨/格点),其中北部沙漠-戈壁地区最高,约在1.5~5 Mt/grid之间 (网格点12~14),中部沙漠中心在1~3 Mt/grid之间(网格点17~19),南部较高,约在2~4 Mt/grid之间(网格点22~24),造成这个差异主要是不同网格摩阻风速造成。
在强沙尘暴天气下(见图5-6b),裸露流沙春季平均粉尘释放总量在0.5~3.5 Mt/grid之间,与一般沙尘天气平均的春季粉尘释放在同一个数量级上,这是因为尽管强沙尘暴天气下粉尘释放通量是一般沙尘天气的几倍到十几倍,但这种天气发生的频率明显低于一般沙尘天气,春季平均约2次,这样使得强沙尘暴天气平均的春季释放通量略低于一般沙尘天气。
在强沙尘暴天气下(见图5-6c,d),其中稀疏植被覆盖的流沙春季平均粉尘释放总量约在0.05~0.3 Mt/grid之间,沙砾质戈壁的粉尘释放总量约在0.005~0.02 Mt/grid之间。

图5-6a 一般沙尘天气下裸露流沙春季的粉尘释放总量(梅凡民,2013)

图5-6b 强沙尘暴天气下裸露流沙春季的粉尘释放总量(梅凡民,2013)

图5-6c 强沙尘暴天气下稀疏植被覆盖的流沙春季粉尘释放总量(梅凡民,2013)

图5-6d 强沙尘暴天气下沙砾质戈壁春季粉尘释放总量(梅凡民,2013)
春季平均粉尘释放通量在研究区域内有明显的差异(见图5-7),沙漠-戈壁交错地区粉尘释放通量最大,约在2~8 Mt/grid之间(如格点12~14,17~24),其中北部区域最高(12~14),而南部次之,中部沙漠中心最低,沙漠-戈壁平均总的释放量约为36.2 Mt;戈壁地区的粉尘释放通量很低,在0.005~0.02 Mt/grid之间,春季戈壁平均总释放量约为0.1 Mt。
综上所述,对春季粉尘释放贡献最大的裸露流沙,其次是稀疏植被覆盖的流沙,沙砾质戈壁由于植被覆盖、砾石覆盖和输沙供应限制等原因,粉尘释放强度最低;强沙尘暴过程虽然发生的频次低,但释放通量很高,对整个区域粉尘释放贡献较大。沙漠-戈壁地区裸露的流沙是主要粉尘源区,其次是稀疏植被覆盖下的流沙,沙砾质戈壁不是主要的粉尘源区。

图5-7 巴丹吉林沙漠-戈壁地区春季粉尘释放总量/Mt/grid/spring(梅凡民,2013)
5.5.3 1993年春季阴山北部沙化农田粉尘释放的模拟
模拟结果显示(见图5-8),1993年春季一般沙尘天气下粉尘释放通量的变化是显著的,粉尘释放通量约在101~104g·km-2·s-1的数量级上变化,约有11次粉尘释放通量>103g·km-2·s-1,其中在5月8日粉尘释放通量达到104g·km-2·s-1,这次粉尘释放过程可能与中国西北“93.5.5”黑风暴相联系,有可能因为沙化农田的面积有限,仅产生了局地的粉尘释放而为未引起注意。网格点15的粉尘释放通量高于其他地区,它是阴山北部地区农田风蚀最严重的化德、商都、和察右后旗的所在地,模拟结果与前人关于农田风蚀的研究是一致的。

图5-8 1993年春季一般沙尘天气条件下阴山北部地区沙化农田的粉尘释放通量(梅凡民,2013)
与巴丹吉林沙漠的流沙比较,该区域沙化农田的粉尘释放通量明显高于沙漠中的流沙,而且起尘日数也多于沙漠地区,这主要是因为沙漠地区的摩阻风速低于该区域的农田。需要说明的是,这里所说的一般沙尘天气是和强尘暴天气的8级大风相比较而言,用于模拟粉尘释放的NECP数据没有显示风速达到这个级别,因而认为这类风况条件下的粉尘释放属于一般沙尘天气下的粉尘释放过程。巴丹吉林沙漠戈壁春季粉尘释放强度低于沙化风蚀农田的主要因素仍是气象条件,阴山北部山区是中国北部大风日数很高的地区。
模拟结果显示,阴山北麓的风蚀农田对中国北方粉尘释放有着重要的贡献。
5.5.4 阴山北部农垦区和草原牧区1°×1°网格点平均的春季粉尘释放总量
图5-9是模拟的春季农田粉尘释放总量,一般沙尘天气下沙化农田的粉尘释放量约在0.2~0.4 Mt/grid之间,在强沙尘暴天气下是0.3~0.7 Mt/grid之间;强沙尘暴天气下砾质化农田约在0.001~0.006 Mt/grid之间,而大土壤团块分布的农田也大致在这个范围之间。看来沙质化农田对整个农田粉尘释放的贡献最大,春季强沙尘暴天气平均只有2次,但粉尘释放总量占到整个春季粉尘释放总量50%~70%,因而春季土壤风蚀和粉尘释放主要发生在强沙尘暴过程中。网格点15所在的商都县和察右后旗等地粉尘释放总量明显高于其他地区,显示了模拟与实地调查和观测结果的一致性。

图5-9 春季一般沙尘天气下和强沙尘暴天气下阴山北部地区农田平均的粉尘释放总量
图5-10是模拟的春季草原粉尘释放总量,沙化和砾质化草原粉尘释放总量约在0.05~0.40 Mt/grid之间,其中北部草原略高于南部草原,这主要是由于南部草原的平均高度和盖度大于北部地区的缘故。

图5-10 春季强沙尘暴天气下阴山北部地区草原平均的粉尘释放总量
图5-11是阴山北部地区干草原农垦区和草原牧区 网格点春季平均的粉尘释放总量,草原牧区春季粉尘释放总量在0.1~0.4 Mt/grid之间,干草原农垦区在0.1~1.1 Mt/grid之间,春季平均粉尘释放总量约为5 Mt,其中农田约4 Mt,草原约1 Mt,沙质化农田的面积仅是沙质化草原的1/10左右,而粉尘释放总量为沙质化草原的4倍,可见干草原被开垦后,对表土土壤风蚀和粉尘释放的影响程度有多大。和巴丹吉林沙漠-戈壁地区的春季粉尘释放总量相比较,该区域粉尘释放总量仅为后者的1/7左右,这是因为该区域风蚀沙化的面积远远小于流沙广布的沙漠-戈壁地区,同时应看到南部农牧交错地区的粉尘释放总量与沙漠地区处于同一个数量级上,约在1 Mt/grid左右,这是一个非常危险的信号,因为农牧交错地区风蚀沙化的农田仅占到 网格点面积的2%~4%,如果这个面积继续发展扩大,它们的粉尘释放总量会很快赶上或超过沙漠地区。目前实施的退耕还林、还牧的政策有助与避免出现这个危险。退化草原的粉尘释放总量高于巴丹吉林沙漠周围的戈壁地区,这是因为沙化草原在大风条件下要比稀疏植被覆盖下戈壁的粉尘释放强度大,同时退化草原面积也大于戈壁地区可风蚀的面积。

图5-11 阴山北部干草原农垦区和草原牧区春季粉尘释放总量/Mt/grid/spring
需要说明的是,阴山北部沙化农田及草原牧区的模拟还存在不确定性。沙漠化的面积、沙漠化过程对植被覆盖状况的影响均是根据前人相关研究的数据整理,这些数据仅是调查区域的平均状况,不容易反映模拟区域不同网格之间的差异。从建模思路来看,DPM模型仅适合松散的沙质床面,而在阴山北部的沙化农田和退化草场上,其表面是半固结/固结的状态,其不同于流沙表面的侵蚀过程。著者认为这里存在土壤可蚀性组分供应的间歇性特征,即上风向松散物质被风力搬运、堆积、再搬运与堆积等多次风力侵蚀过程导致固结/半固结土壤表面被破坏,逐步形成松散物质搬运沉积的源区并随着时间进行松散物质源区不但扩展。
综上所述,DPM模型能较好地再现沙尘天气过程,但值得注意的是,从地表复杂性和风况的相互作用过程来看,发展适合农田和草原地区土壤风蚀的模型对精细地刻画这类粉尘释放源区的释放强度有着重要的意义。
参考文献
1.Alfaro S.C, Gomes L.Modeling mineral aerosol production by wind erosion: Emission intensities and aerosol size distribution in source areas.J.Geophys Res, 2001,106 (D16), 18075-18084.
2.Chatenet, B., Marticorena, B., Gomes, L., et al.Assessing the micro-aggregated size distributions of desert soils erodible by wind.Sedimentology, 1996, 43, 901-911.
3.Gillette, D.A., Passi, R.Modeling dust emission caused by wind erosion.J.Geophys.Res., 1988, 93(D11), 14233-14242.
4.Ginoux, P., Chin, M., Tegen, I., et al.Sources and distribution of dust aerosols simulated with GOCART model.J Geophys Res., 2001, 106(D17), 20225-20273.
5.Gomes L, Bergametti G, Dulac F, et al.Assessing the actual size distribution of atmospheric aerosols collected with a cascade impactor.J Aerosol Soc., 1990, 21:47-59.
6.Gong, S.L., Zhang, X.Y., Zhao, T.L, et al.Characterization of soil dust and its transport and distribution during 2001 ACE-Asian: 2.Model simulation and validation.Journal of Geophysical Research, 2003,108(D9), doi: 10.1029/2002JD002633.
7.Joussaume, S.Three-Dimensional Simulations of the Atmospheric Cycle of Desert Dust Particles Using a General Circulation Model.J Geophys Res., 1990, 95(D2), 1909-1941.
8.Marticorena, B., Bergametti, G.Modeling the atmospheric dust cycle.Part 1: Design of a soil-derived dust emission scheme.J.Geophys.Res., 1995, 100(D8), 16,415-16,430.
9.Marticorena, B., Bergametti, G., Aumont, B., et al.Modeling the atmospheric dust cycle 2.Simulation of Saharan dust sources.J.Geophys.Res., 1997, 102(D4), 4387-404.
10.Tegen, I., Fung, I.Modeling of mineral dust in the atmosphere: Sources, transport, and optical thickness.J.Geophys.Res., 1994, 99(D11), 22897-22194.
11.Shao Y.A model for mineral dust emission.J.Geophys.Res., 2001, 106 (D17):20239-20254.
12.董治宝,陈广庭.内蒙古后山地区土壤风蚀问题初论[J].土壤侵蚀与水土保持学报,1997,3(2),84-90.
13.鹿化煜,安芷生.洛川黄土粒度组成的古气候意义[J].科学通报,1997,42,66-67.
14.梅凡民,张小曳,鹿化煜,等.中国北方表土微团粒粒度分布及其对粉尘释放通量的影响[J].科学通报,2004,49(17), 1776-1784.
15.南宁, 梅凡民, 邵天杰,等.沙漠细沙筛分时间和投加量对干筛分析结果的影响[J].中国沙漠,2016, 36(5), 1260-1263.
16.钱正安,宋敏红,李万元.近50年来中国北方沙尘暴的分布及变化趋势分析[J].中国沙漠,2002,22(2), 106-111.
17.王涛,吴薇,薛娴,等.中国北方沙漠化土地时空演变分析[J].中国沙漠,2003,23(5):230-235.
18.方宗义,朱福康,江吉喜,等.中国沙尘暴研究[M].北京:气象出版社,1996.
19.梅凡民.中国北方典型区域风蚀粉尘释放的实验观测和数值模拟[M].西安:西北工业大学出版社,2013.
20.内蒙古自治区资源系列地图编辑委员会.1/150万地貌图.北京:科学出版社,1992.
21.内蒙古自治区资源系列地图编辑委员会.1/150万植被图.北京:科学出版社,1992.
22.内蒙古自治区资源系列地图编辑委员会.1/150万土壤图.北京:科学出版社,1992.
23.吴正.中国干旱地区的风沙地貌.见:赵松乔主编.中国干旱区自然地理[M].北京:科学出版社,1985.
24.赵松乔.中国沙漠、戈壁的形成和演变.见:赵松乔主编.中国干旱区自然地理[M].北京:科学出版社,1985.
25.中国科学院内蒙古宁夏综合考察队.内蒙古自治区及东北西部地区地貌[M].北京:科学出版社,1980.
26.中国科学院内蒙古宁夏综合考察队.内蒙古植被[M].北京:科学出版社,1985.
27.中国植被编辑委员会.中国植被[M].北京:科学出版社,1995.
28.朱震达,陈治平,吴正,等.塔克拉玛干沙漠风沙地貌研究[M].北京:科学出版社,1981.
29.朱震达,陈广庭.中国土地沙质荒漠化[M].北京:科学出版社,1994.
30.朱震达,吴正,刘恕,等.中国沙漠概论[M].北京:科学出版社,1980.