2.2.3 邵亚平模型(Shao, 2001)

2.2.3 邵亚平模型(Shao, 2001)

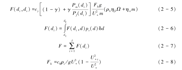
前人利用风洞实验研究了跃移过程和粉尘释放的关系(Shao, et al, 1993),证实了粉尘释放主要来自跃移冲击作用所产生的磨蚀和溅射而非湍流应力的直接抬升(Gillette, et al., 1977,1978),而冲击作用的效率分别与跃移颗粒直径、粉尘颗粒直径以及起动风速有关。这些因素反映了粉尘颗粒之间黏结力和结合能对粉尘释放通量的约束。在此基础上,结合前人的实验(Rice, et al., 1996),邵亚平小组先后发展了基于能量过程和基于跃移弹坑体积的粉尘释放模型 (Shao et al.,1996; Lu & Shao, 1999; Shao, 2000)。通过整合上述模型,邵亚平提出了一个新模型(Shao, 2001)。新模型将粉尘释放的机制概括为湍流卷吸(Loosmore & Hunt, 2000)、跃移冲击作用引起土壤团聚体的磨蚀和溅射包括粉尘团聚体的分离和释放等,其中以跃移冲击作用为主。邵亚平模型可表述式(2-5)~式(2-8)(Shao, 2001):

图示(https://www.daowen.com)

式(2-5)左边表示直径为di粉尘释放通量,而右边中含有Ω的因式表示跃移颗粒磨蚀、溅射对粉尘通量的影响,ηcim代表了跃移过程中粉尘团聚体分离对粉尘释放通量的影响;式(2-6)和式(2-7)分别为式(2-5)的积分方程,式(2-8)是Owen(1964)跃移通量方程。U和U∗t分别为摩阻风速和起动摩阻风速,Pm(di),Pf(di)和γ分别为土壤在最小分散状况下和最大分散状况下,直径为di粉尘的分布概率及在最大和最小分散情况下粉尘粒径分布概率的权重比例;ρb 和ρc分别为土壤容重和土壤颗粒密度;S和Pye分别为跃移过程中土壤颗粒的阻力系数和弹力的垂直分量系数;ηfi和ηci分别为土壤在最小分散状况下和最大分散状况下直径为di粉尘的分布概率之和与之差;跃移颗粒冲击弹坑的体积为Ω,它与跃移颗粒的速度、撞击的角度、跃移轨迹以及土壤力学性质S和Pye有关。

与Gillette & Passi (1988) 模型和美国EPA粉尘释放模型(Cowherd et al., 1979;OAQPS, 1977)相比较,邵亚平模型的优点是:区分了跃移过程和粉尘释放过程在物理机制上的差异, 给出了独立的粉尘释放通量和跃移通量方程;通过引进反映冲击作用强度的经验参数,描述了粉尘颗粒结合能、跃移冲击的弹坑体积Ω、土壤粒度分布等因素与粉尘释放关系,定量地模拟了风动力条件和土壤性质对粉尘释放的影响,建立了真正意义上的粉尘释放模型。应该看到,该模型由于涉及了过多的经验参数, 因而模式应用存在一定程度上的不确定性,如弹坑体积Ω、粉尘颗粒结合能、粉尘释放通量与跃移磨蚀强度及弹坑体积Ω之间比例系数、跃移冲击作用强度和土壤团聚体分离与粉尘释放通量之间的比例系数等。