5.3.2 粗糙元覆盖地表的参数化方案、空气动力学粗糙度及起动摩阻风速计算
5.3.2.1 砾石覆盖或大土壤团块与空气动力学粗糙度
表5-6为砾质表面和沙砾质表面大砾石(直径和高度在5 cm左右)和小砾石(直径和高度在1 cm左右)在不同的覆盖度下空气动力学粗糙度的变化。当砾石覆盖度为5%~20%之间时,砾质戈壁的空气动力学粗糙度在0.03~0.22 cm之间,当砾石覆盖度>20%时为0.25 cm;当砾石覆盖度在5%~20%之间时,沙砾质戈壁的空气动力学粗糙度为0.04cm, 当砾石覆盖度>20%时为0.05 cm。当地表砾石覆盖度在40%以上,地表粗糙度达到了最大,风蚀停止(Dong, et al., 2001;刘小平和董治宝,2003),风蚀主要发生在砾石覆盖度在0%~40%,这里选取20%作为戈壁表面砾石的平均盖度,砾质戈壁表面平均的空气动力学粗糙度为0.22 cm,而沙砾质戈壁表面的平均空气动力学粗糙度为0.04 cm。由于砾质戈壁平均空气动力学粗糙度高,且地表粉尘物质少,可以认为它不是粉尘的主要源区。
表5-6 巴丹吉林沙漠及戈壁区砾石覆盖地表的空气动力学粗糙度参数化方案(梅凡民,2013)

续表

以细沙为主的沙质地表来说,在没有植被覆盖的地段,可以认为它是光滑的,其平均空气动力学粗糙度是表土对数正态粒度分布群体中的最大质量中值粒径的1/30,对细沙而言,其最大的质量中值粒径为0.21 mm(见表5-3),粗糙度为0.0007 cm。
阴山北部草原地区由于沙质荒漠化和砾质荒漠化的发展,地表呈现了不同程度的沙化和砾质化(朱震达和陈广庭, 1994;董治宝和陈广庭,1997;王涛,2003),沙化地表与沙漠的流沙相近,主要为细沙组成;砾质化地表与荒漠地区的沙砾质戈壁相似,因而砾质化和沙化地表的平均空气动力学粗糙度选用和流沙与戈壁相同的参数。
阴山北部地区南部的干草原也出现了严重的沙化和砾质化,砾质化和沙化农田的平均空气动力学粗糙度分别与和流沙、戈壁相同相似,农田的风蚀形式除了沙化和砾质化外,还存在大面积的面上风蚀(朱震达和陈广庭,1994)。这些地区秋冬以后地表翻耕,出现了大量几十厘米的大团块,在春季耙耱后大的土壤团块被压碎,5 cm左右的小团块和土壤可蚀性组分共存,表土会在大风季节遭受风蚀(张春来等,2002),当5 cm团块的覆盖度在20%时,粗糙度为0.22 cm,当5 cm团块的覆盖度在10%时,粗糙度为0.09 cm。具体的参数化方案见表5-7。
表5-7 阴山北部干草原农垦区和草原牧区砾石和大土壤团块分布的参数空气动力学粗糙度参数化方案(梅凡民,2013)

5.3.2.2 植被覆盖的参数化方案、空气动力学粗糙度及起动摩阻风速
利用数字化植被类型图计算巴丹吉林沙漠及戈壁区1°×1°计算网格的植被覆盖对应的空气动力学粗糙度,这里植被覆盖的高度、盖度和植被的形状是根据前人植被调查的数据整理的(中国科学院内蒙古宁夏综合考察队,1985),植被高度和覆盖度取平均值(见表5-8)。表5-8显示,由于植被形状、高度和覆盖度的差异,其对应的空气动力学粗糙度10-2~100 cm 之间变化,一些植被类型向草原化荒漠由于植被覆盖状况较好,空气动力学粗糙度达到几个厘米,起动摩阻风速可以认为是无穷大而不出现风蚀。
表5-8 巴丹吉林沙漠的植被类型、平均高度、盖度、粗糙度及模拟的起动摩阻风速(梅凡民,2013)

续表
(https://www.daowen.com)
同样地,依靠植被调查数据对阴山北部干草原农垦区和草原牧区的植被覆盖进行了参数化处理(见表5-9)。结果表明几乎所有植被类型的空气动力学粗糙度均超过0.1 cm,意味着很难有风蚀的发生。实际风蚀发生是因为人为开垦、气候变化和过度放牧等因素导致土壤沙化而导致,鉴于此,结合前人沙漠化调查的数据和资料,这里模拟了沙漠化对空气动力学粗糙度的影响(见表5-10)。表5-10显示了沙漠化降低了植被覆盖下的空气动力学粗糙度,为风力侵蚀提供了可能。
表5-9 阴山北部干草原农垦区和草原牧区植被类型、平均高度、盖度及空气动力学粗糙度(梅凡民,2013)

续表

表5-10 模拟的沙漠化过程植被受损条件下阴山北部干草原农垦区和草原牧区植被类型、平均高度、盖度及空气动力学粗糙度(梅凡民,2013)

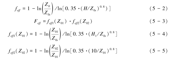
表5-11和表5-12为在砾石覆盖和植被覆盖下的空气动力学粗糙度。这里涉及双湍流切应力分解机制,即湍流动量在砾石、植被和土壤可蚀性组分之间的分配。对双应力分解机制,著者做了调整,采用式(5-2)~式(5-5)(梅凡民,2013),Feff为总应力分解系数。H和H1是与粗糙元高度相当的量,当粗糙元为植被时取10 cm, 当粗糙元为1 cm左右的砾石,H和H1可以取1 cm,当粗糙元为5 cm左右大土壤团块时, 取3 cm;当地表出现一个粗糙元时,计算阻力分配系数时选择式(5-2),出现2个粗糙元时选择式(5-3)~式(5-5),且Z01<Z02,即风应力分别在较小粗糙元和地表可蚀性组分之间,较大粗糙元和较小粗糙元之间分配。

表5-11 模拟的巴丹吉林沙漠及戈壁地区不同植被覆盖类型和表土组成物质平均的空气动力学粗糙度(梅凡民,2013)

续表

续表

表5-12 模拟的阴山北部农田和草原的平均的粗糙度和起动摩擦风速(梅凡民,2013)
