研究方法与数据

一、研究方法与数据

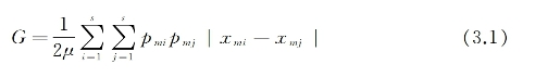
本章采用基尼系数作为评价区域间人均财政收入和人均GDP差异的指标。在计算基尼系数的时候,除了要考虑收入差距外,还需考虑人口分布。本研究在计算区域间人均财政收入和人均GDP的基尼系数时,按各地区户籍人口比重对人口指标加权,测算方法如下:

其中,s表示总体被分成了s组,xmi和pmi分别表示在第m年,第i组的人均财政收入或人均GDP和人口份额,且xm1≤xm2≤…≤xms,μ为总的人均财政收入或人均GDP。

通过按不同群体(区域)分解基尼系数的办法可以测算出不同群体(区域)的基尼系数对总体基尼系数的贡献率。不同区域内部以及不同区域间的财政收入差异与总体财政收入差异之间的关系如下:

这里表示不同区域之间的财政收入基尼系数;Gi表示第i个区域内部的基尼系数;第i个区域的财政收入占财政收入总额的比重为Ii,第i个区域的人口占全体人口的比重为Pi;G(f)的大小取决于各个区域之间财政收入分布的重叠程度,只有当各区域之间的财政收入分布完全不重叠时,该项才会等于零(Mookherjee和Shorrocks,1982;Shorrocks和Wan,2005)。PiIiGi/G即第i项个区域财政收入差距对总体差距的贡献率,/G为区域间财政收入差距对总体差距的贡献率。计算出区域内部以及区域之间财政收入不平等对总体的财政收入差距的贡献率,可以帮助我们分析不同区域对总体财政收入差异的影响。本章中的区域分组为东部、中部和西部。

聚类分析是依据某种方法及准则对一组样本或变量进行分类的多元统计分析方法。对样本进行分类被称为Q型聚类,对变量进行分类则被称为R型聚类。按照不同的分类方法,聚类分析可以分为层次聚类法、迭代聚类法、快速聚类法等(侯景新、尹卫红,2004)。其中,层次聚类法应用最为广泛。我们将利用层次聚类法,按照经济发展水平和结构,将31个省、直辖市、自治区划分成不同的经济区域,从而计算区域财政收入差异。

收入流动性是指居民的收入在社会中相对位置或排序发生变化。若收入流动性强,说明人们在收入分配中的位置是易变的。我们将把收入流动性这一概念运用于分析财政收入。通过分析财政收入的区域流动性,我们能够对各区域财政收入的长期变化情况有较为明确的判断。收入转换矩阵是研究收入流动性的基础工具,其表达式为:Pi,j=[pi,j(x,y)],其中x是初期收入,y是末期收入。收入流动矩阵中的每个元素表示:在初期位于第i收入组的家庭群体中,有多大比例的家庭在末期位于第j收入分组。Shorrocks流动指数(Shorrocks,1978)、平均流动指数(Bartholomew,1982)等都是在此基础上构造的测度收入流动性的指标。但是收入转换矩阵对收入流动性的测度严重依赖于收入分组的细分程度,同样的数据,收入分组越细,流动性越强;另外,收入转换矩阵只考虑了收入组之间的流动性,忽视了收入组内部的流动性(王洪亮等,2012)。

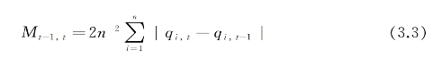
本书将利用王洪亮等(2012)在Schumpeter(1955)等学者的观点基础上构造的收入流动性指数来分析财政收入的区域流动性,公式如下:

收入流动性指数M是介于0到1之间的数,其值越大,流动性越大。本章中,n为区域个数,第i个区域的人均财政收入排序在t—1期和第t期分别为qi,t-1和qi,t

本章所有数据来源于2004—2013年《中国统计年鉴》和2004—2012年《中国税务年鉴》。