地方政府转移支付效果最优化的模型
2025年09月26日
(二)地方政府转移支付效果最优化的模型
相对于中央政府着眼全局,注重公平分配,以缩小各地区人均财政收入的差距为主要任务,并以促进不同地区经济均衡发展为政策目标,地方政府的首要目标是推动本地区经济的繁荣发展,因而更加注重效率问题。因此,地方政府需要考虑两个方面的问题:一,地方政府希望得到较多来自中央政府的财政转移支付,并且越多越好;二,地方政府的首要目标是促进地方经济发展,具体而言,就是提高人均GDP水平。但是,我们同时还要考虑一个问题,那就是如果地方经济水平越高,那么对中央财政收入的贡献也就越高,这会抵消所得到的部分转移支付,影响地方效率。假设不同地方政府之间不存在竞争关系,各个地方政府的行为没有外部性,地方政府财政收入由地方本级预算收入和中央政府的转移支付构成,地方政府的所有支出均用于本地区的公共产品和公共服务,同时保持预算平衡。以i地区为例,地方政府的最优化问题可以描述为:
其中ei表示i地区的人均公共产品和服务供给,a、b、c分别表示目标函数中三个部分的权重,且a,b,c>0。为了使计算结果有意义,我们假设b·>c。需要解释的是,为了简化计算,在目标函数和预算约束中我们省略了人口数量,在人均水平上推导地方政府非线性规划的解析解,这种简略并不影响最后的结果。拉格朗日方程为:
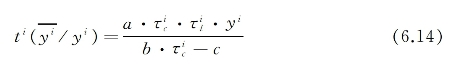
其中,λi为拉格朗日乘子。上式分别对yi和ti(/yi)求一阶导数,经整理可得:
式(6.14)可以进一步整理为:
式(6.15)表明了地方政府希望获得的最优中央财政转移支付数量与地方本级财政预算收入·yi的关系。即,地方政府希望获得的最优人均转移支付是其本级人均财政收入的
倍,仅仅与中央从该地区获得的财政收入占该地区GDP的比重有关。