研究方法与数据

一、研究方法与数据

收入差距直接形成于收入的来源,对收入来源的研究能够让我们直观地了解影响收入差距的主要因素。本章将利用基尼系数分解法,即式(4.2),计算各项主营业务收入的基尼系数及其对总体差异的贡献率。

根据2003—2012年各地区的面板数据,运用Stata统计分析软件,我们将构造房地产业营业税与房价和销售面积数量关系的面板模型。在考察住宅销售价格对区域财政收入差异的影响之前,我们还将运用广义矩法(Generalized Method of Moments,GMM)探讨住宅销售价格与销售面积的关系,以讨论房价变化所带来的全面影响。由于惯性或部分调整,个体的当前行为往往受到过去行为的影响(陈强,2010)。如果一个面板模型的解释变量中包含了被解释变量的滞后期,则被称之为“动态面板模型”。设定异方差稳健的标准差后得到的动态面板,只要样本容量较大,即使在异方差的情况下,参数估计仍然是一致有效的。而由于解释变量中包含被解释变量的滞后期,因此动态面板模型需要解决的一个关键问题便是变量的内生性问题。解决内生性的有效途径便是采用GMM进行模型估计。GMM分为差分GMM和系统GMM,由于系统GMM同时结合了差分方程和水平方程,比差分GMM更有效,并且可以估计不随时间变化的变量,在经验研究中得到广泛应用,所以本章将采用系统GMM构建动态面板模型来分析住宅销售价格变化对销售量即销售面积的影响。

GMM估计需要进行两个检验,一是对所有工具变量的有效性进行检验,即Sargan过度识别检验,其原假设是工具变量都是有效的;二是通过Arellano-Bond检验(以下简称AB检验)对随机扰动项的一阶差分值进行自相关检验,该检验的原假设是一阶差分的随机扰动项只存在一阶序列相关,而不存在高阶自相关,如果原假设成立,GMM才是可行的。另外,GMM可分为一步(One-step)估计和两步(Two-step)估计。由于两步估计的标准差存在向下偏倚,在经验应用中通常使用一步估计量(Bond,2002)。Windmeijer(2005)通过模拟分析得出采用稳健性标准差可以更好地进行统计推断。Arellano和Bond(1991)指出,若存在异方差,Sargan检验倾向于过度拒绝原假设,采用两步估计较为稳妥,他们提出可以采用一步估计进行系数显著性推断,采用两步估计的Sargan检验进行模型筛选。但如果设定了稳健标准差,则无法进行Sargan检验,因为该检验假定随机扰动项独立同分布,在这种情况下,不需要使用稳健标准差。所以,我们将使用设定稳健标准差的一步GMM进行参数估计和AB检验,运用非稳健标准差的两步估计进行Sargan检验。

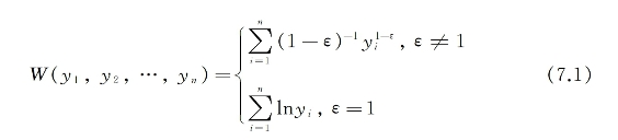
Atkinson(Atkinson,1970)的常数弹性的社会福利函数(Social Welfare Function,SWF)反映了收入差距和社会福利的内在联系,为我们分析房价调控后地方政府效用的变化提供了很好的工具:

其中,yi为第i个经济单位的人均收入,n为经济单位个数,ε为收入差距厌恶指数,值越大代表对不平等越厌恶,理论上ε可以无穷大。

Atkinson还定义了一个等量水平的收入,使得各经济单位的社会福利相等,是下式的解:

在此基础上,Atkinson构建了一个指数(Atkinson Index)Iε来度量收入差异,即阿特金森指数,其中μ为实际的平均收入:

本章利用该社会福利函数和阿特金森指数来探讨房价调控对地方政府效用的影响。由式(7.1)和式(7.2)得:

由式(7.3)和式(7.4)得:

从式(7.5)可知,平均财政收入μ和阿特金森指数Iε对效用w的影响是反向的,平均财政收入μ的增加会使地方政府效用增加,而Iε的增大则会使地方政府效用下降。现在假定房价调控前平均财政收入为μ1,则能够维持房价调控前政府效用的调控后的平均财政收入可以表示如下:

构造房价调控的地方政府效用指数:

如果房价调控后的平均财政收入μ2大于或Uε>1),即房价调控后实际的平均财政收入大于能够维持房价调控前地方政府效用的房价调控后理论平均财政收入,那么可以认为,房价下降带来的人均财政收入分配变化使地方政府效用增加了,即财政收入差距缩小带来的政府效用的增加能够补偿财政收入水平下降导致的政府效用的损失。反之,如果Uε<1,那么说明房价下降使地方政府效用减少了,即财政收入水平下降导致的地方政府效用的损失要大于财政收入差距缩小带来的地方政府效用的增加。Uε越小,政府效用损失越大。

本章所涉及的房地产业仅包括房地产开发经营业,即房地产开发企业。房地产业相关数据来自2004—2013年《中国房地产统计年鉴》,人口数据来自2004—2013年《中国统计年鉴》。根据《中国房地产统计年鉴》,主营业务税金及附加主要包括营业税、城市维护建设税和教育费附加,后二者是以营业税为计税依据,分别按照固定税率最大7%(按纳税人所在地区征收1%、5%、7%)和3%征收的,在主营业务税金及附加中占比非常小。所以,本章采用各省、直辖市、自治区房地产业的主营业务税金及附加作为营业税数据。需要说明的是,房地产业所有人均量是采用城镇人口计算的,因为房地产业的主营业务主要涉及城镇居民,用城镇人口计算更加准确。而在本章第五部分计算区域财政收入差异时,人均财政收入是采用各省的年末总人口计算的。