不同项目财政收入对区域财政收入差异的贡献

三、不同项目财政收入对区域财政收入差异的贡献

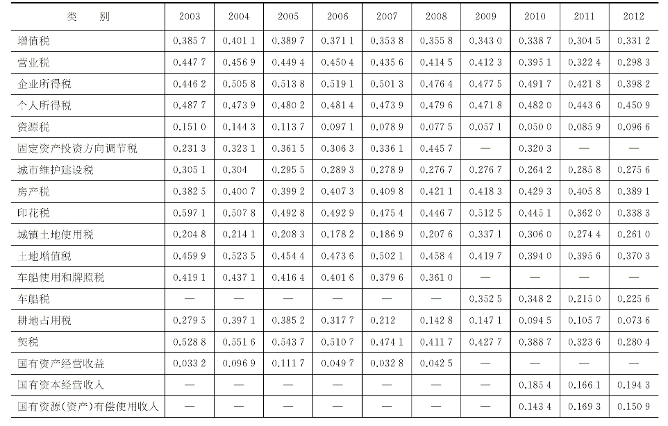
既然区域间人均财政收入差异如此显著,那么究竟是什么因素在起主要作用呢?根据式(4.2),我们计算了2003—2012年各项财政收入的区间基尼系数(见表4.2)。从表4.2可以看出,2003年到2012年,虽然财政收入来源不断发生变化,但税收收入仍是财政收入的主要来源。

根据表4.2,2003—2012年主要项目财政收入来源的区域差异都比较显著。2012年,个人所得税的区域差异最大,基尼系数达到0.450 9,这主要与目前居民收入差距不断加大有直接关系。对于工资性收入,我国采用的是累进税率,中西部各省的居民收入处于较低水平,个税收入相对少。另一方面,东部发达省份的高收入者较多,其收入以财产性收入和经营性收入为主,对这两类收入的个税征收采用的皆是固定税率,个税收入远多于欠发达的中西部省份。因此,个人所得税的区域差异从2003年到2012年都大大超过其他税种。基尼系数达到0.35以上的还有企业所得税、房产税和土地增值税。企业所得税的区域差异与企业效益、地区经济发展程度、政策扶持力度有关。房产税和土地增值税的区域差异较大与近年来房地产行业的蓬勃发展有关。房产税是依照房产原值一次减除10%-30%后的余值计算缴纳,扣除比例由省、直辖市、自治区人民政府在税法规定的减除幅度内自行确定;土地增值税是以转让房地产取得的收入,减除法定扣除项目金额后的增值额作为计税依据,并按照四级累进税率进行征收。房产原值和转让房地产取得的收入受到不同的地区经济发展水平的影响,所以,房产税和土地增值税的区域差异与地方房地产业发展水平有直接关系。另外值得注意的是,增值税的区域差异在2012年超过了营业税,这主要是由于2012年上海、江苏等省市在交通运输业和部分现代服务业实行了“营改增”,一部分的营业税差异无形之中转移到了增值税,导致增值税的地区差异首次超过营业税的地区差异。

虽然我们能够从表4.2获知区域间各财政收入来源的差异程度,但是要了解各收入来源对总体差异的贡献,除了要考虑各项财政收入的基尼系数外,还要考虑该项收入占总体收入的比重。因此,根据式(4.2)我们计算得到了区域间各项财政收入对总体差异的贡献率(见表4.3)。以2012年为例,贡献率超过10%的税收项目有营业税、企业所得税和增值税,其中营业税对区域间人均财政收入差异的贡献率最大,为27.07%,远高于其他税种。

营业税对区域财政收入差异的贡献率虽然从2003年的33.32%下降到2012年的27.07%,但仍远远高于其他税种的贡献率。首先,营业税是地方财政收入中最重要的组成部分,其次,营业税主要来自第二、三产业,尤其是第三产业,而经济发达省份的第三产业发展蓬勃稳定,营业税收入必定多于欠发达省份。可以说,在“营改增”没有在各行业全面展开的情形下,第三产业越发达,营业税在地方财政中的贡献越大。如此一来,营业税的地区差异对各省之间的财政收入差距变化具有巨大影响。我们将在第五章从营业税出发,详细探讨区域财政收入差异的成因。

企业所得税在2003—2012年间对区域财政收入差异的平均贡献率为17.03%,并且呈现出不断增大的趋势,从2003年的14.36%增加到2012年的17.6%。随着经济的迅猛发展,拥有大量国有企业、股份合作企业、股份公司、私营企业、港澳台和外商投资企业的东部沿海省市,其企业所得税收入远高于非公有制经济结构单一、国有企业效益不佳的中西部欠发达省份,直接导致各省之间显著的财政收入差异。另一方面,根据《中华人民共和国所得税法》和《关于规范汇总合并缴纳企业所得税范围的通知》(国税函〔2006〕48号),分公司可以由总公司汇总清缴企业所得税。目前的现实情况是,许多集团的总公司都倾向于在东部发达省市注册,总公司所在地充分得到了各地分公司的企业所得税收入,中西部欠发达地区的财政收入反而向东部发达地区集聚。这样,企业所得税较大的区域差异对财政收入区域差异的贡献居高不下,仅次于地方税收中最重要的营业税。

表4.2 2003—2012年区域间各项财政收入基尼系数

(续表)

数据来源:根据2004—2013年《中国统计年鉴》相关数据计算得到。
注:2003—2006年企业所得税包含企业所得税退税;2007—2012年其他人均收入包含其他人均税收收入和其他人均非税收入。

表4.3 2003—2012年各项财政收入对区域财政收入差异的贡献率 单位:%

(续表)

数据来源:根据2004—2013年《中国统计年鉴》相关数据计算得到。
注:2003—2006年企业所得税包含企业所得税退税;2007—2010年其他人均收入包含其他人均税收收入和其他人均非税收入。

增值税对区域财政收入差异的贡献率从2003年的18.91%下降到2012年的13.03%,平均贡献率为15.55%。增值税主要来源于第二产业,比如2011年第二产业增值税在增值税总额中占75%以上。资源丰富的中西部地区以制造、冶金、机械、能源等第二产业为主,理论上来说大量的增值税收入应该提升中西部欠发达地区的财政能力,但是,分税制改革将75%的增值税都划归中央,只将25%留给地方政府。对拥有较多增值税收入的中西部地区的财政收入影响较大,而对增值税相对较少的东部地区的财政收入影响不大。这无疑拉大了中西部各省与东部各省之间的财政收入差距。并且,增值税作为流转税主要税种,在地方财政收入中的地位仅次于营业税和企业所得税,增值税区域差异的较小变化都能够带来区域财政收入差异的变化。

综上分析可以得出,营业税是我国区域间人均财政收入差异的最关键因素。要探寻区域财政收入差异的原因,须从营业税的征收范围来考察。