中央政府转移支付效果最优化的模型

(一)中央政府转移支付效果最优化的模型

为了使我们的研究更具现实意义,在中央和地方政府的行为方式上,本书主要考虑一个中央和多个地方政府的模型。模型中,中央政府是行动的领导者,在财政收入分配中确定最优转移支付的规则;地方政府是行动的追随者,根据中央政府确定的转移支付规则最大化其目标函数。

假设中央政府统筹考虑着眼全局,注重财政收入分配的公平问题,将政策目标确定为缩小各地方政府之间人均财政收入的差距,以促进各地区经济均衡发展。实现这一政策目标的主要方法是中央政府向地方政府进行财政转移支付。设中央政府给予i地区地方政府的人均转移支付数量为ti,根据中央政府的偏好,我们假定ti与本地区人均GDPyi成反比,与除了i以外的其余地区的人均GDP的平均值成正比。换言之,根据转移支付的基本功能,如果i地区人均GDP相对较高,那么中央政府给予该地区的人均转移支付水平就相应低一些;反之,中央政府的人均转移支付水平就高,该变量也可以表示为ti/yi)。值得注意的是,这里的ti是受到自变量yi影响的函数,而不是表示省略了乘号的乘式。根据上述分析,我们还可以得出下面一组关系:

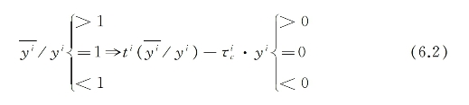
其中表示中央政府从i地区人均GDP增长中获得的财政收入份额,即·yi就表示中央从i地区获得的人均财政收入。式(6.2)的含义是:如果i地区人均GDP水平小于(等于、大于)其余地区人均GDP平均水平,那么中央从该地区获得的人均财政收入数额就小于(等于、大于)中央政府对该地区给予的人均转移支付数额。

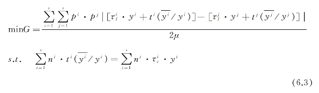
根据上述的逻辑分析,本书构建了一个有约束的非线性模型来探讨中央政府转移支付最优化的问题。我们将中央政府的政策目标具体化为通过中央财政转移支付最小化各地区之间人均财政收入的差距,衡量这一差距的指标为基尼系数,同时中央政府维持预算平衡,这里假设中央的财政收入全部用于地方的转移支付。

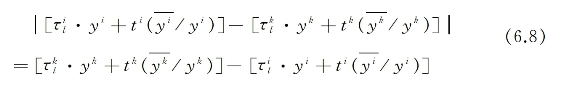
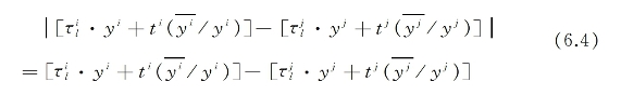
其中G表示中央政府实施转移支付后各个地方人均财政收入之间的基尼系数,s表示总体被分成了s个区域,μ表示中央政府实施转移支付后全国人均财政收入水平,pi、ni分别表示i地区的人口份额、人口数量和地方本级财政收入占GDP的比重。假设在中央政府实施转移支付以前,人均财政收入较高的地区在转移支付后依然具有较高的人均财政收入水平。因此,上述最优化问题需要分两类进行讨论。首先,设有m(m<s)个地区的人均财政收入在转移支付后小于i地区的人均财政收入,则我们可以去掉目标函数中绝对值符号:

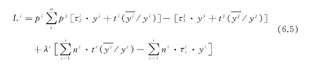
拉格朗日方程可以表示成:

其中,λc为拉格朗日乘子。上式分别对yi和ti/yi)求一阶导数,得到两个一阶条件经过整理可得:

上式中是tj/yj)对yi求的偏导数,计算中我们利用yj进行了替换。

进一步,我们整理式(6.6)可得:

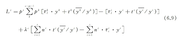
其次,剩余s—m—1个地区的人均财政收入在转移支付后高于i地区的人均财政收入,有:

拉格朗日方程可以表示成:

同理,可得:

进一步整理式(6.10),我们得到剩余s—m—1个在转移支付后人均财政收入高于i地区人均财政收入的地区的转移支付最优解:

式(6.7)和式(6.11)显示了中央政府实行转移支付的最优原则:i地区人均GDP增加一单位,将使得人均财政收入低于i地区的j地区增加个单位的人均转移支付;同时使得人均财政收入高于i地区的k地区增加个单位人均转移支付。达表明,除i地区以外的地区单位人均转移支付的变化除了与i地区的财政收入占GDP的比重和人口份额有关以外,主要取决于该地区的人均GDP。这就是以缩小地区差异为目标,中央政府对地方进行转移支付区域分配的最优原则。