行星和卫星的距离分布

行星和卫星的距离分布

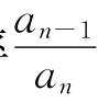
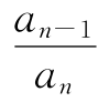
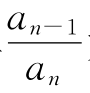
行星的轨道半长径——也就是行星和太阳的平均距离的分布具有一定的规律性,每个行星的a值同比它更靠近太阳的相邻行星的a值的比率图示大致是常数。对于规则卫星也有类似的情况。

对于天卫,比率图示都在1.46附近;对于土卫,去掉土卫八和土卫九这2个不规则卫星,则7个比率中只有1个较大,其余6个都在1.24附近;对于木卫五和木卫一到四,有3个比率很接近1.60,1个比值较大(达2.33)。对于行星,比率在1.69左右,偏差约20%。总的说来,对于行星和规则卫星,比率图示大致为常数,即离中心体越远,相邻两个绕转体的轨道相隔也越远;对于不规则卫星,图示值明显地较大,即上述规律不适用于不规则卫星。

对于行星,距离分布规律还可以用另外一种方式来表示,这就是德国数学教师提丢斯在1766年发现的规律。以后几年,德国天文学工作者波得对此规律加以论述和宣传,后来被人们称作提丢斯—波得定则。行星离太阳的距离,如果用0.1天文单位来表示,可以用一个简单的数列写出:4,4+3,4+3×2,4+3×22,4+3×23……。把这条规律写成公式,就是(https://www.daowen.com)

an=0.4+0.3×2n-2天文单位。

在此公式中,当n=1时,即对于水星,n-2不能取-1,而应当取-∞,即公式右边第二项完全不要。水星的实际a值是0.387,和公式给出的0.4差不多。n=2,3,4时,公式给出的a值0.7,1.0和1.6同金星、地球和火星的a值0.723,1.0和1.523很接近。但n=5时,公式给出的a值2.8和木星的a值5.203相差很多;只有当n=6时,公式给出的值5.2才和木星的a值很接近。n=7时,公式给出的值10.0和土星的a值9.52相差不太多。在提丢斯—波得定则提出来时,已知的最远行星是土星。在1781年,天王星被发现,算出的a值是19.2,同定则给出的值19.6相差不多。这样,就鼓励了天文工作者去努力寻找n=5的位于火星轨道和木星轨道之间的行星。寻找结果,于19世纪初发现了好些个小行星,而不是一个大行星。头3个小行星的平均a值为2.7,和n=5时公式给出的2.8很接近。不过,1846年发现的海王星和1930年发现的冥王星的a值,分别同n等于9和10时由公式给出的值相差很多。