二、主要创新
陇南地电观测场地是全国最佳观测场地之一。观测资料显示,在1976年8月16日“Ms=7.2,△=105Km”的四川松潘、平武地震前,异常幅度达-14%,并且有明显的阶段性负异常特征。该异常特征被作为讨论电阻率法的典型震例。陇南台业务工作的主要思路是:在搞好观测资料质量的前提下,边观测、边研究、边预报,以台站技术改造为契机,重视台站建设的技术含量,不断提高监测、预报、研究水平,促进台站技术进步和发展。
该台2002年经过再次改造以后,杜绝了刮风、下雨天漏电的现象,一个台站的优劣,可以从以下两个指标来衡量。
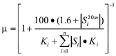
1.µ值
台址,一般以以下形式衡量:

式中Si为从地表以下20米内岩石响应系数;Ki俗称电阻率,对应力—应变的放大系数;i 代表层位。计算出的μ值应在0~1。从上式可看出, 绝对值愈大,则μ值愈小,表明台址的非震变化愈大,台址愈差;Si、Ki两项愈大,μ值愈大,台址易发现异常,利于预报地震,则台址愈好。有关专家对全国27个地电台站进行计算,在炉霍、唐山、松潘地震中反映较好的地电台如武都、宝坻、昌黎、甘孜等台μ值都在0.8以上,部分映震较差的台站如塘沽、张掖等台μ值都在0.55以下,表1选用16个台站资料做一下说明。
表1 地电台站综合指标

2.观测精度“F”值
1999年试行的电阻率评比条例中增加了衡量地电阻率观测资料内在质量“F”值的检验办法。本台对线路进行全面改造和更换部分电极后,很好地解决了漏电问题,从而提高了资料观测精度。在全台人员的共同努力下,2003年—2008年电阻率“F”值不断升高(见表2),在电阻率资料全国总评打分环节中起到了关键作用。
表2 陇南台电阻率观测F值计算结果

观测资料记录到地表层潜水位动态变化及季节性干扰变化出现了正常年变化形态(N85°E道和N54°W道年变化形态为冬高下低;N73°W为夏高东低)。经过对多年地电阻率观测资料的分析处理,工作人员总结发现:当该台观测资料打破年变形态,出现“异向”变化时,基本上在周边区域会有地震发生。
本测区无大型企业和用电设施,无干扰,资料连续、完整,真实可靠,内在质量高,专家使用率高。
该资料对控制范围内的地震异常反映明显。2008年 5月12日汶川Ms8.0地震前后,距震中320千米的甘肃陇南汉王地震台的地电阻率、大地电场等多种观测手段捕捉到这次地震前后的异常信息。汶川8.0级地震发生前后,陇南台观测到了电磁场长、中、短、临期的异常特征。自2003年以来,甘东南地区及甘川交界发生4次5.0级以上地震,从空间上看,有从南北地震带中段的西北向西南方向移动的特点,强度逐渐增强,其中,文县5.0级和两次岷县5.0级以上地震可以看作是汶川8.0级地震的前震;从时间上分析,震前陇南汉王地震台观测到电磁场出现了长趋势变化和短临异常变化。 2003年—2008年,ZD8B地电仪观测的N54°W、N85°E和N73°W测道地电阻率均显示出长趋势变化和短期变化。在后期的余震序列中,也出现了电磁同震现象。
该台在全力保证观测工作的同时,注重提倡和营造良好的学术氛围,引导大家把一定精力投入到监测、科研、预报工作上来。利用本台观测资料及多台资料进行地震预报的探索与研究,积极参与各类学术交流活动。
几年来陇南台先后完成了中国地震局三结合课题2项,甘肃省地震局科技发展青年基金课题2项。参加了中国地震局2009年度震情跟踪合同制定向工作任务,子专题编号2009010103;“十一五”国家科技支撑计划项目“强震监测预报技术研究”子专题编号2006BAC01B02-04-03;汶川地震后震情短临跟踪专题研究,子专题名称为电磁前兆异常特征与汶川8.0级地震及强余震关系研究,子专题编号2008206,并提交了研究报告。《武都地震台地震前兆监测及地震中、短临预测》监测成果获甘肃省地震局防震减灾优秀成果二等奖。汶川地震后震情严峻、观测任务繁重,在干好本职工作的同时,台站工作人员挤时间钻研业务,对“十五”观测资料认真分析,与来陇南台考察、研究的专家、学者进行了广泛的探讨和交流,产生了新的思想,提出了新看法,并提交论文参加了多次南北地震带学术交流会。在这些国际、国内学术交流中,介绍了陇南台的观测水平、科研状况以及用电磁仪器记录到的完整的地震波形,打破了传统地震仪记录地震波形的格局,为电磁方法研究地震预测提出了新思路,使与会专家、学者产生了浓厚的兴趣,这对甘肃局加强国际学术合作、交流提供了有效的途径。该台地电阻率资料在地震短临预报、中短期预测、平息地震谣言、地震短临跟踪中发挥了很好的作用。经过不断的探索实践和不懈努力,解决了不少观测技术难题,促进了观测技术进步,使观测资料质量和监测预报工作水平迈上了新的台阶。
项目组工作人员在探索与研究的基础上,共撰写出具有高水平的学术论文30余篇,分别在《地球物理学报》《地震学报》《中国科学D卷》《地震》《西北地震学报》《地震研究》《地震地磁观测与研究》《高原地震》《甘肃地震监测与研究》《内陆地震》等刊物上发表。