二、主要创新点
1.提出了两类视电阻率变化的新观点
地震前兆异常时空强分布的复杂性制约了地震预测预报水平,造成了前兆异常识别、预测预报的极大困难。其复杂性表现为:强地震甚至大震附近并非均匀地显示异常,有时远距离台显示异常而近距离无异常,或地点接近、同等震级地震前同一个台并非能重复记录异常,即使出现异常,其幅度、时间、变化形态也差异大;相反,却存在大量的无震异常(即异常台附近及周围不发生显著地震)。本成果研究了中国大陆所有地电阻率台站最长43年的观测数据和震例,提出了两类视电阻率变化的观点。第I类变化属于地震前兆异常,是震前中短期(持续一年尺度时间)、短临前兆异常,集中在震中区及周围;第II类变化属于持续一年尺度的无震异常,分布在西北、华北、东北等广大区域,表现为长趋势变化的转折/加速或下降/上升异常,异常时间同步或似同步。研究了两类变化的时空强和形态特征,从物理解释、理论计算等方面研究了两类变化的原因,推进了人们对异常复杂性的认识。
2.发现了三个现象
通过两类视电阻率变化的研究,发现了地电阻率变化的三个现象。
(1)强地震前地电阻率异常变化的时空强不均匀分布与震源区和台站所在地的活动构造展布有关。特别是,地电阻率短临异常时空强演化图像存在距离标准、构造介质标准和震源机制标准,决定了短临异常时空强分布的不均匀性。
(2)在地震发生前的中期阶段,近震中区观测到的地电阻率各向异性变化揭示了震源区及附近最大加载方向吻合震后震源机制解P-轴方位。例如,2008年汶川8.0级 大震震中周围400 千米范围分布有6个台,其中沿松潘—甘孜地块分布的成都、甘孜、江油和武都4个台记录了从2006年8月开始的中期地电阻率异常,不在此地块的冕宁、西昌台未记录到异常;距离震中最近的成都台视电阻率各向异性变化揭示了2006年8月至主震发生时段该台地下介质处于NW—SE向的最大挤压环境。
(3)第II类地电阻率变化在大区域的时空丛集现象对应大区域及周边的高地震活动水平(区域内及周边Ms≥5地震时空丛集和〔或〕Ms≥7地震),此现象与地震震源过程并无直接联系,两者是与地球自转一年尺度加速有关的“同源异象”现象。这与目前流行的“场兆”含义不同。物理上“场”起因于“源”,“场兆”观点把上千公里甚至更远的异常与震源联系,而本成果强调了二者与地球自转加速有关的“同源异象”现象。
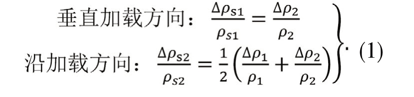
3.建立了真、视电阻率各向异性变化的理论本构关系
建立了真/视电阻率变化及其各向异性变化与介质微微裂隙率ν、骨架电阻率ρo、裂隙水电阻率ρf(一般来说ρo>ρf)之间的张量本构关系,突破了国内外学者给出的标量式。例如:在各向异性介质中垂直加载方向x1、沿加载方向x2(即两个水平电性主轴方向)的视电阻率相对变化(Δρs)/ρs 与沿加载方向、垂直加载方向介质(真)电阻率Δρ/ρ相对变化的张量关系为:

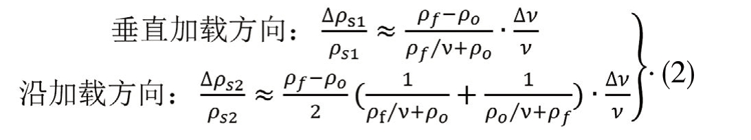
在(Δρ1)/ρ1 、(Δρ2)/ρ2 中代入微裂隙率ν、骨架电阻率ρo、裂隙水电阻率ρf后,得到(Δρs)/ρs 与ν、ρo、ρf的本构关系式。

式(2)清晰地说明:当Δν/ν→0时,(Δρs1)/ρs1 →0和(Δρs2)/ρs2 →0,证明介质变形引起的微裂隙变化是视电阻率变化的根本原因;微裂隙发育和优势取向,低阻水进入、导电通道连通的物理过程引起了垂直加载方向视电阻率变化更显著;低阻的裂隙水ρf对视电阻率变化及其各向异性变化起了显著作用。
4.获得了地震前可靠的中短期地电阻率异常
本成果得到近震中区地电阻率下降异常集中范围对等震源断层破裂尺度,与震源机制解主压应力方位有特定关系的视电阻率各向异性变化,记录了异常的台站与震源区存在构造关联性,震前中短期阶段地电阻率下降—短期阶段上升的变化过程吻合DD模式(Dilatancy-Diffusion Model)预言的震源区电阻率变化过程。这些异常变化的特点与震源断层破裂尺度、震源机制、活动构造、介质加载—松弛过程等直接联系,且应用上述本构关系可清晰地解释,因此具备这些特点的异常属于地震前可靠的前兆异常。国内外其他学者尚未获得具有上述特点的地震前兆异常,至少还不能与震源断层破裂尺度、震源机制等震源特性直接联系。