二、主要创新点
1.地震作用下天然黄土残余应变半理论—半经验定量估算模型
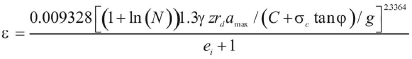
利用非饱和黄土动残余应变室内实验数据,通过分析动残余应变物理过程与力学机制,归纳了关键影响参量,研究了结构强度与孔隙比的定量关系,提出了用于解决量值估算问题的分布拆解方法(图1与图2)。这一方法,以分析所得的非饱和黄土动残余应变的物理过程与力学机制和关键影响参量为基础,实现量值估算的两个独立公式,具备较为明确的物理含义。
利用图1和图2结果,可得出如式(1)的黄土动残余应变半理论—半经验定量估算模型。

整体来看,该模型综合考虑了结构强度、欠压密程度、场地固结应力以及地震动荷载等控制黄土震陷物理过程与力学机制的关键因素,可实现同一场地不同部位及不同场地的天然黄土震陷特性之间的综合对比。

图1 孔隙比压缩量与动残余应变的定量关系

图2 非饱和黄土动残余应变的孔隙形变响应特征
2.天然黄土场地宏观动力沉降的概率性评价方法
研究旨在应用概率统计与蒙特卡洛模拟等非确定性理论分析方法,借助上文1中的非饱和黄土动残余应变量值估算模型,提出能够有效弱化土体物性参量不确定性(离散性与随机性)的场地动力沉降定量评价方法。应用非确定性分析方法定量评价天然黄土场地动力沉降特性,能够明晰地震作用下土体沉降的细节特征,这对据此采用适当合理的地基处理方法,具有理论与应用方面的重要意义。
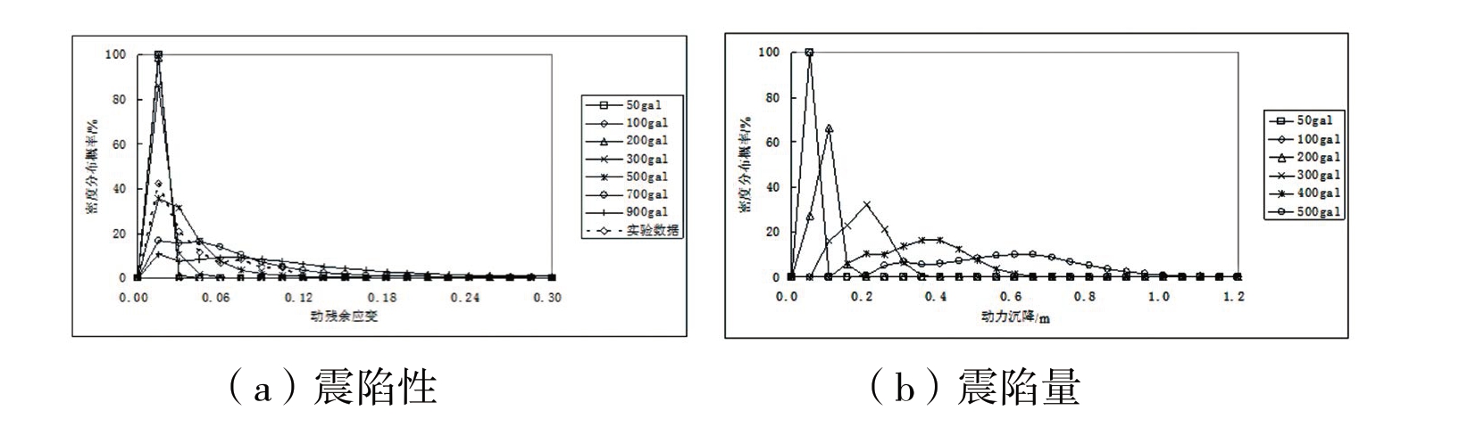
将式(1)写为黄土动残余应变概率性求算模型,应用下式:

即可求算得出给定强度地震作用下天然黄土场地发生不同程度等级动残余应变的概率。应用分层总和法,不同沉降等级下的场地土体宏观动力沉降发生概率可写为:

根据研究或应用的实际需求,利用式(2)和式(3)即可实现天然黄土场地宏观动力沉降的概率性定量评价,明晰不同强度地震动作用下场地土体宏观动力沉降的精细特征(图3)。

图3 不同强度地震动条件下黄土场地震陷风险概率性评价结果
3.地震作用下黄土震陷性区域风险评价方法
该方法以黄土震陷系数定量估算和土体物性参量概率性分析为基础,同时考虑了研究区内不同强度地震动的实际发生概率,其针对天然黄土震陷性区域分布特征的定量评价,所得结果更为合理,也更为可靠。在理论上,方法本身克服了以往应用GIS进行黄土震陷区划性评价时所用基础判定数据无明确物理背景的不足。
求算所得的理论矩阵是进行区域黄土震陷性概率预测的判定依据,也是预测区域不同量值区间的黄土震陷系数发生概率的基础数据模型,按图4基本流程即可实现地震作用下黄土震陷性区域评价方法的应用。


图4 黄土震陷性区域风险概率评价方法基本流程