脂类物质都有哪些
脂类物质都有哪些
生物体内的各种脂质,按其组成可分为:
1.单纯脂质
三酰甘油
三酰甘油也称甘油三酯或笼统地称为脂肪,是一元高级脂肪酸与甘油(丙三醇)形成的酯类化合物。三酰甘油中的3个脂肪酸可以是相同的;但天然脂肪中,大多数的脂肪酸是不同的,故称为混合酸甘油酯。三酰甘油的化学结构通式如下图。式中R1、R2、R3为各种脂肪酸的烃基。如果R1、R2、R3相同,则称为单纯甘油酯;R1、R2、R3中有2个或3个不同者,则称为混合甘油酯。植物油和动物脂都是脂肪。大多数植物油如豆油、花生油等脂肪中不饱和脂肪酸含量超过70%,具有较低的凝固点或熔点,在常温时为液体,故统称为油。动物油脂如猪油、羊油中,不饱和脂肪酸含量低,凝固点比较高,在常温下呈固态,一般称为脂。脂肪中的重要脂肪酸主要是十六碳和十八碳的饱和或不饱和脂肪酸。油脂含不饱和脂肪酸的多少,一般可以用碘值、饱和度、油酸、亚油酸的数值来表示。不同种类的油脂所含的脂肪酸是不相同的。至于同一种的油脂由于动物或植物的品种不同或生长等情况不同也有差别。因此,下表中所列的数值并不是常数。

三酰甘油的结构通式
天然油脂成分的主要指标

2.复合脂质
磷酸甘油酯
磷酸甘油酯又称甘油磷脂,是广泛存在于动物、植物和微生物中的一类含磷酸的复合脂质。磷酸甘油酯是细胞膜结构重要的组分之一,在动物的脑、心、肾、肝、骨髓、卵以及植物的种子和果实中含量较为丰富。最简单的磷酸甘油酯结构如下图:

磷酸甘油酯结构
从上述磷酸甘油酯结构可知,甘油C1和C2上的羟基被脂肪酸(R1、R2)所酯化,成为疏水性的非极性尾,C3位置上的1个羟基与1个磷酸形成1个磷酸酯,因此成为亲水性的极性头。如果磷酸基团上另一端上的羟基H被一些含氮碱基所取代,则形成一系列不同的磷酸甘油酯化合物。例如,当X为胆碱、乙醇胺、丝氨酸、肌醇时,分别形成磷脂酰胆碱、磷脂酰乙醇胺、磷脂酰丝氨酸、磷脂酰肌醇(PI)。因为这些含氮碱基一般是亲水性的胆碱或胆胺,所以带有这些基团的磷酸甘油酯实际上也是一个亲水脂质或称极性脂质。各种磷酸甘油酯的差别就在于其极性头的大小、形状和电荷差异。它们的这种两性脂质分子在构成生物膜结构中具有重要的作用。
每一种磷酸甘油酯并非只有一种,由于分子内脂肪酸种类不同,因此会形成许多不同类型的磷酸甘油酯。

几种重要的磷脂酰化合物
下面再介绍真核生物细胞中另一类重要的磷脂酰化合物——磷脂酰肌醇(PI)。磷脂酰肌醇主要分布在细胞质膜内侧,其总量约占膜磷脂总量的10%。迄今,在真核生物细胞中已鉴定的最主要磷脂酰肌醇为磷脂酰肌醇—4—磷酸(PIP)和磷脂酰肌醇—4,5—磷酸(PIP2)。如果这些磷脂酰肌醇类化合物通过相应的磷酸脂酶(或磷脂酶)水解,并且肌醇环上带有的5个自由羟基被磷酸化,水解后则形成多种胞内信号物质,如IP、IP2、IP3等。

几种主要的磷脂酰肌醇类化合物
鞘磷脂(https://www.daowen.com)
鞘磷脂或神经鞘磷脂是鞘脂质的一种典型的复合脂质,它是高等动物组织中含量最丰富的鞘脂质。鞘磷脂经水解可以得到磷酸、胆碱、鞘氨醇、二氢鞘氨醇及脂肪酸。鞘氨醇是鞘磷脂的主链骨架,是含有2个羟基的18个碳胺类。鞘磷脂的主链也有几种,如哺乳动物的鞘脂质以鞘氨醇和二氢鞘氨醇为主要成分。

鞘磷脂的基本结构
已发现的鞘氨醇类有几十种,它们的碳原子和羟基数目均有变化。鞘氨醇的氨基与长链脂肪酸(C18~26)的羧基形成一个具有2个非极性尾部的化合物,称为神经酰胺。在神经酰胺分子中,鞘氨醇第一个碳原子上的羟基进一步与磷酰胆碱或磷酰乙醇胺形成磷酸二酯,这种磷脂化合物称为(神经)鞘磷脂。鞘磷脂有2条长的碳氢链,一条是由鞘氨醇组成的有14~18碳的碳氢链;另一条为连接在氨基上的脂肪酸,如棕榈酸、掬焦油酸和神经酸等。虽然鞘磷脂在结构上类似于磷酸甘油脂,但差异是鞘磷脂上脂肪酸是连接在鞘氨醇的氨基上。
3.其他脂质
(1)萜 类
萜类是异戊二烯的衍生物。根据异戊二烯的数目,可将萜类化合物分为单萜、倍半萜、二萜、三萜和四萜等等。萜类呈线状,有的是环状,或两者兼有。相连的异戊二烯有头尾相连,也有尾尾相连。属于直链萜类的视黄醛存在于动物的细胞膜上,它是脊椎动物视网膜上发现的一种维生素A的衍生物。在高等植物叶片中存在着一种二萜化合物——叶绿醇,它是叶绿素的组成成分。胡萝卜素是四萜化合物,也大量存在于植物的各个器官内。此外还有多聚萜类,如天然橡胶等。维生素A、维生素E、维生素K等都属于萜类。

动、植物中几种重要的萜类
(2)类固醇
类固醇是基于萜类脂质特性的另一类脂质化合物,主要存在于真核细胞内,对细胞生理功能起着重要的作用。类固醇的基本结构是由3个六元环和1个五元环融合而成的。类固醇是以环戊烷多氢菲为核心结构的一类衍生物。许多类固醇化合物在10和13位上含有甲基,在3位上含有羟基,在17位上含有8~10碳烷烃链。类固醇化合物广泛分布于真核生物中,有游离固醇、固醇酯2种形式。动物中的固醇以胆固醇为代表,植物固醇以麦角固醇为代表。
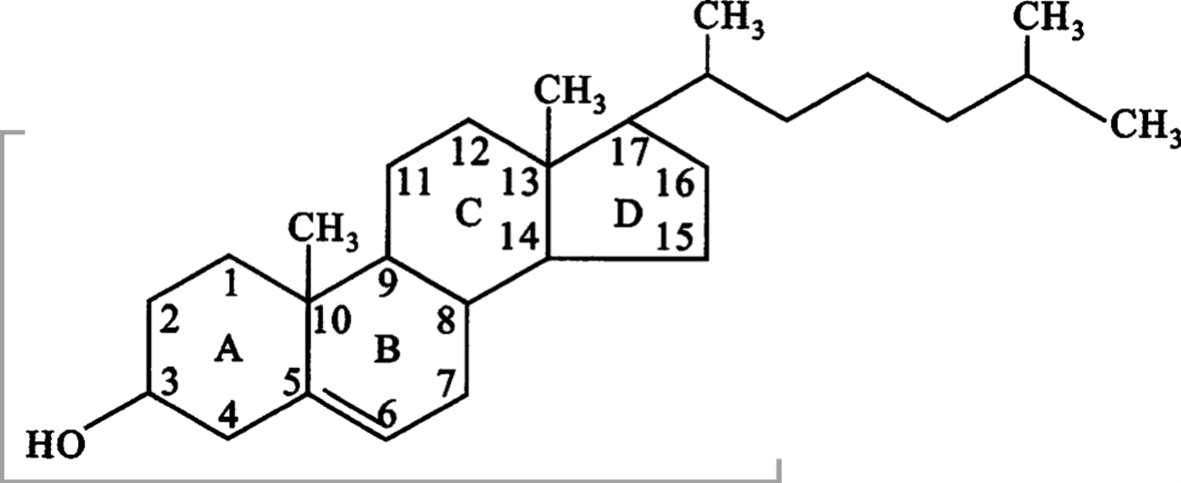
①胆固醇
胆固醇是类固醇中最主要的一类固醇类化合物,存在于动物细胞膜及少数微生物中。胆固醇在神经组织中含量较多,在血液、胆汁、肝、肾及皮肤组织中也含有相当多的这类物质。生物体内的胆固醇有以游离形式存在,也有与脂肪酸结合而以胆固醇酯的形式存在。胆固醇与长链脂肪酸形成的胆固醇酯是血浆蛋白及细胞外膜的重要组分。胆固醇分子的一端有一极性头部基团羟基而呈现亲水性,分子的另一端具有烃链及固醇的环状结构而表现为疏水性。因此,胆固醇与磷脂质化合物相似,也属于两性分子。

固醇的核心结构

胆固醇结构
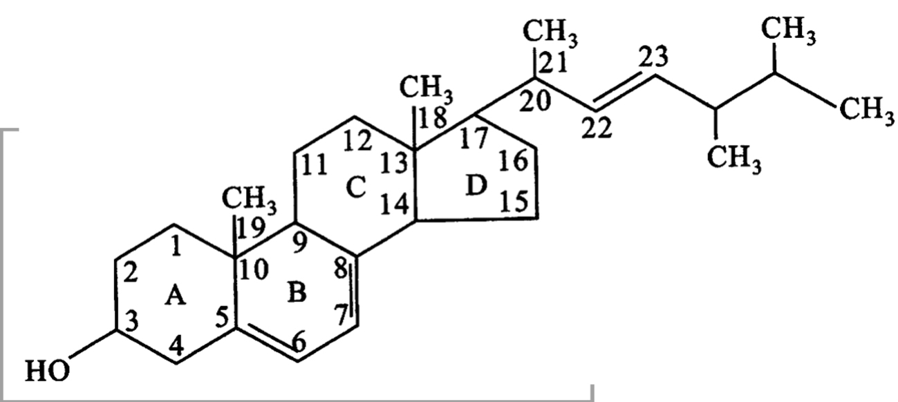
②麦角固醇
麦角固醇主要存在于植物中,也是酵母及菌类的主要固醇。麦角固醇最初是从麦角中分离出来,因此而得名,属于霉菌固醇类;也可以从某些酵母中大量提取。虽然与动物胆固醇在结构上具有相似性,但植物胆固醇不会像动物胆固醇一样被人和动物有效地吸收,相反,被摄入的植物胆固醇可以抑制对动物胆固醇的吸收。

麦角固醇结构