商品价格数据

商品价格数据

这个小节中,我们介绍两个Eagle Alpha(2018)基于大型零售商网站价格数据的用例。[12]这个数据集为Eagle Alpha所有,涵盖超过100个品牌和公司,包括:

(1)硬件,例如苹果、思科、佳能等;

(2)消费类电子产品,例如索尼、LG电子、哈曼音响(Harman);

(3)家用电器,例如惠而浦(Whirlpool)、伊莱克斯(Electrolux)等;

(4)休闲产品,例如美泰玩具(Mattel)、孩之宝玩具(Hasbro)等。

目前这个数据集涉及的是美国消费市场上运营的美国公司,而且可以映射到公司的股票代码上。数据集的历史是从2013年开始,数据搜集和发布的频率包括日、周和月,滞后时间是1天。这个数据集覆盖的品牌和公司还在不断增加。

Eagle Alpha的这个数据集在消费品销售的方向性预判上很有价值,尤其是在主要产品发布的前后。截至2018年,Eagle Alpha发布了21份基于网络爬取价格数据的消费股季度报告,其中有13份报告的预测后来证明是准确的,这样命中率(hit rate)大约是62%。

随着线上零售的发展,类似亚马逊和百思买这样的线上零售平台的数据就更适合用于调查消费者的情绪。2017年亚马逊已经占据全美电子商务销售额的44%。这样凭借平均售价(average selling prices/ASP)、月销售量以及价格下降频率等指标,投资者就可以深入了解相关产品和公司的竞争环境以及销售情况。

1.预测公司销售业绩

第一个用例讨论的是美国Fitbit公司。这是一家美国消费电子产品的生产商,主要产品包括活动追踪器、智能手表和无线可穿戴智能产品等,这家公司在纽交所上市,股票代码是FIT。

这家公司在2015年6月17日上市,当时是席卷全球可穿戴设备热潮的领头人。上市首日公司股价从20美元上涨了近50%。接下来的数周里,得益于人们持续看好健身穿戴市场的发展,这样Fitbit股价持续上涨。但是当公司股价在8月达到51美元的高峰时故事开始出现了变化。Fitbit的成功催生了一批竞争对手,这其中包括其他的初创公司以及苹果、三星和小米等公司的竞争,这样公司股价就从2015年8月的51美元高点下跌到2017年7月的5美元。

2017年7月份市场对于Fitbit公司并不看好。当苹果这样的大公司开始进入市场时,Fitbit不仅开发了健身跟踪产品,而且还开发了智能手表。Fitbit发布了有竞争力的产品,但是华尔街认为这些产品并不是足够好。当时投资者认为Fitbit在第二季度每股会亏损15美分,因为市场认为Fitbit的收入会下跌42%。

不过很多投资者并不知道的是Fitbit基本面正在发生变化,但是传统数据无法捕捉到这个事实,而Eagle Alpha从网络电商平台上抓取到的价格数据则体现了这一点。图2.15给出了在亚马逊(Amazon)和百思买(Best Buy)这两个电商平台上的产品和价格信息。

图2.15 网络抓取的价格数据

资料来源:Zyte team(2018)。

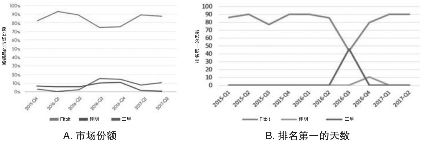
通过跟踪这些电商平台上的销售数据,Eagle Alpha推断出Fitbit的可穿戴健身手表的数量稳定下来,这就表明竞争对手的数量不会再增加了。接着如图2.16A所示,尽管受到了来自Garmin和三星公司的竞争,但是Fitbit在2017年第一季度恢复了在畅销品市场的份额,同时在第二季度还继续维持着这一比率。同时图2.16B中Fitbit健身手表综合排名第一的天数也表明了类似的结果。

更为重要的是,图2.17表明Fitbit在维系市场份额的同时并没有降低平均售价。结合传统的公司财报数据,网络抓取的产品和价格数据表明Fitbit在2017年第一和第二季度的销售改善,同时平均售价没有下跌。这些销售趋势的变化并没有体现在2017年第一季度报告的收入中,因为当时在渠道商那里还有过多的库存。Fitbit的管理层曾经在第一季度财报电话会议中指出一季度的库存减少了30%,由此表明第二季度渠道商面临的压力会得到很大程度的缓解。

图2.16 健身穿戴畅销品市场份额和平均售价(2015年第四季度至2017年第二季度)

资料来源:Zyte team(2018),Eagle Alpha(2018)。

图2.17 健身穿戴设备的平均售价

资料来源:Zyte team(2018)。

综合传统的财报数据和电商平台的另类数据,Eagle Alpha就得出了一个和当时市场共识不一致的判断。如前所述,市场认为在2017年第二季度公司的收入会继续下跌,每股会损失0.15美元。Eagle Alpha认为Fitbit在第二季度的销售业绩会和第一季度报告的相似,但是考虑到第二季度渠道商存货的减少,第二季度的收入将会超过第一季度,从而改善公司股价。Eagle Alpha对自己的分析判断很是自信,因此就在Fitbit公布第二季度财报之前的一个月,也就是7月4日发布了自己的分析报告。

2017年8月2日,Fitbit发布了第二季度报告,结果正如Eagle Alpha事前分析所预测的那样,公司收入为3.533亿美元,高于市场预期的3.392亿美元,由此每股只损失了0.08美元,几乎是预期亏损0.15美元的一半。高于预期的收入马上刺激了公司股价,在一天之内从5.08美元上涨到5.84美元,两个月后攀升到6.98美元。

2.预测公司基本面情况

第二个用例涉及美国加利福尼亚州的GoPro公司,这家公司专门研制和生产供极限运动使用的高清运动相机,以及开发相关的移动应用程序和视频剪辑软件。这家公司在纳斯达克市场上市,股票代码是GPRO。

GoPro公司一度是股票市场的宠儿,自从2014年6月IPO上市以来,公司股价一路上升,并且在2014年10月14日飙升到98.47美元的历史高点。当时投资者对这家公司充满了信心,认为这家公司的创新相机和无人机等产品可以成为新型生活方式的要件。

Ealge Alpha在2015年10月21日发布了第一份关于GoPro公司的商品价格数据分析报告,结果表明这一年第三季度的收入可能会疲软。因为来自网络爬取的数据表明对公司产品的需求在下降,同时向低端产品的转移也影响到平均售价。而当时有68%的股票分析师建议投资者继续买入这只股票。事后证明Eagle Alpha准确预判了这家公司无法实现第三季度的目标。GoPro公司报告第三季度盈利4亿美元,这比预期少了3000万美元。公司预计第四季度收入将在5亿美元到5.5亿美元之间,同比下降17%。网络爬取的价格数据之所以有效是因为它捕捉到GoPro把Hero 4的价格从399美元调整至299美元这个信息。

在第三季度财报电话会议上,公司首席执行官Nicholas Woodman指出了这个季度业绩不佳的一个原因是调降Hero 4的价格,而之所以调整价格则是因为相机的质量有问题。这次电话会议充分反映了Eagle Alpha数据分析报告中的观点,也就是GoPro在面对低价竞争的市场环境存在着定价错误的问题,以及对于高价相机需求弱化的问题。

随着极限运动相机平均售价的变化,GoPro公司的命运也就随之起伏。在2014年第四季度和2015年初,高端极限运动相机的平均售价达到历史高点,因此GoPro公司股价创历史高点,投资者情绪在不断增强。从2014年11月到2015年3月之间,平均售价持续上升,而产品数量则维持稳定,图2.18就说明了这一点。另类数据很好地抓取到这个市场饱和的模式,由此就让投资者可以在传统数据预示公司风险之前看到这一点。

图2.18 运动相机的平均售价和产品数量

资料来源:Zyte team(2019)。

图2.19表明,从2013年第四季度到2015年第四季度,可穿戴运动相机的高端、中端和低端市场经历了一波从区分到收敛的过程,最终三个市场的份额大致相当。通过从网络上抓取的大量价格数据,Eagle Alpha抓住了这个消费者偏好变化的趋势,并且在2016年2月9日发布的报告中进一步指出了GoPro面对的价格压力,以及在低端相机上的增长无法弥补中高端产品价格和市场份额收缩带来的损失。这样GoPro公司产品需求就存在着压力,而且平均售价这个指标依然表现不佳。到了2016年第三季度,Eagle Alpha的分析表明运动相机市场的关键元素趋于稳定,但是压力依然存在。

图2.19 根据价格区分的畅销产品份额

资料来源:Eagle Alpha(2018)。

Eagle Alpha对GoPro公司基本面做出的负面判断也反映在公司股价上,图2.20表明了GoPro股价和标准普尔500指数在报告期内的表现,从中可以明显看出股价的低迷表现。2016年11月,公司裁员15%,同时解雇了从微软聘请来的公司总裁Anthony Bates。

图2.20 指数化价格变化:GoPro对比标普500指数

资料来源:Eagle Alpha(2018)。