从拣石子游戏探究怪题奇解
二、从拣石子游戏探究怪题奇解
(一)问题的缘起
刊载于1978年8月19日《参考消息》上的IMO-20试题印刷上的错误,使得其中第三题十分难解。全国各地掀起了一股研讨该题的热潮,从中学数学教师到大学数学教授,都从不同思路,用不同方法给出自己的解答,印出过多种解答材料。其中张国铮先生的正确解答发表最早。早在《中学数学教学》创刊之前,安徽师范大学数学系和函授部合编的《数学函授教学》就发表了张国铮先生给出的解答。后来,又是张老最先将龚升教授从美国寄来的IMO-20英文试题和解答翻译成汉语,在《数学函授教学》1979年第二期上发表,成为国内关于IMO-20试题解答的最早正确文献。
刊登在1978年8月19日《参考消息》上的I M O-20试题第三题:
设f, g:Z+→Z+严格递增函数,且f(Z+)∪g(Z+)=Z+, f(Z+)∩g(Z+)=Ø, g(n)=f(f(n))+1,求f(2ω)。这里Z+是正整数集合,Ø是空集。(8分,英国)
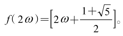
其中最后结论“求f(2ω)”是“求f(240)”的误写。但是这个错误,使一个函数求值的计算题,变成了求函数f(n)一般函数表达式的问题。其难度大大提高,对于一般中学数学教师,乃至于大学数学教授而言,都是个大难题。因为这两个函数的表达式十分古怪:

求其表达式,已超过中学生和大学生的数学水平。要求出这样的函数表达式,相当困难。安徽师范大学数学系当时的副主任张国铮先生,从数学家闵嗣鹤发表在《中国数学杂志》(《数学通报》前身)1951年第二期的《由拣石子得到的定理》一文中,得到启发,找到了它的第一个解答,并发表在1979年初出刊的安徽师范大学主编的《数学函授教学》上。
(二)二人玩的“拣石子”游戏
随意放两堆石子,甲乙二人轮流从中拣取,游戏规则如下:
1.二人轮流取,轮到谁取,必须取,不可以不取。
2.可以只从一堆中取,也可以同时从两堆中取。若只从一堆中取,随便取多少个(至少一个);若同时从两堆中取,也随便取多少个,但两堆要取一样多。
3.最后完全取光者为胜。
此游戏若有人知道诀窍,则先取者必胜。该诀窍是给对方留下“先输组”:(1, 2)(3, 5)(4, 7)(6,10)(8,13)(9,15)(11, 18)……(f(n), g(n))……
前20个“先输组”如表5-2-1所列:
表5-2-1

譬如,甲给乙留下了(1, 2),按规则,乙无法一次拿光。乙取后,留给甲的有四种可能:(0, 2)(1,1)(1, 0)(0,1)。于是,按规则,甲都可以一次拿光而得胜。
又如,甲给乙留下(3, 5),那么乙取后留给甲的,有11种可能:(0, 5)(1, 5)(2, 5)(3, 4)(3, 3)(3, 2)(3,1)(3, 0)(2, 4)(1, 3)(0, 2)。
于是,甲相应地应该给乙留下(0, 0)(1, 2)(2,1)(1, 2)(0, 0)(2,1)(2,1)(0,0)(2,1)(1, 2)(0,0)。就是说,或者甲直接获胜,或者留给乙“先输组”(2,1)或(1, 2),最后还是甲获胜。
若两人都知道诀窍,那么,只要一开始两堆石子数目不是“先输组”,那么谁先取谁获胜。
假定开始时两堆石子数是(a, b),又若a<b(a=b则可以一次拿光得胜),且(a, b)不是先输组。
(1)若a等于某个f(n), b>g(n),或等于某个g(n),那么都可以通过减少b或a,而给对方留下“先输组”(f(n), g(n))。
(2)若a等于某个f(n),而b<某个g(n),设b-a=n′<n,
则n′=b-a<n=g(n)-f(n)(这是函数f(n)、g(n)的性质)。
因为g(n′)-f(n′)=n′=b-a,所以a<a-f(n′)=b-g(n′),这个共同的差数,记为k(正整数)。这时,只要两边同取k个石子,留下的就是“先输组”:(f(n′), g(n′))。
(3)函数f(n), g(n)性质(证明略)。
令f(n)的值域F={f(n)}, g(n)的值域G={g(n)},则有:
1. f(n)与g(n)皆严格递增;
2. F∪G=Z+, F∩G=Ø;
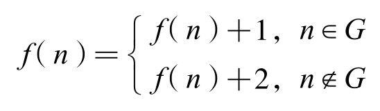
3. g(n)=f(n)+n;
4. g(n)=f(f(n))+1。
因为F∪G=Z+, F∩G=Ø,即函数f(n)、g(n)的值域之和,恰好完全覆盖了整个正整数集。故若(a, b)不是“先输组”,(1)(2)包括了所有情况。
这个游戏中的两个函数f(n), g(n)恰好就是IMO-20届第三题中的那个形式古怪的函数。
所以按照《参考消息》上错误印刷的问题,其答案就是

其实题目的原意只是求函数f(n)的一个值f(240)。用函数(f n)的一般表达式,反而不好计算。需要用该函数的性质g(n)=f(n)+n才方便计算。
1978年8月19日的《参考消息》之所以发生这样不该发生的错误,据说是因为当年IMO-20届数学竞赛在罗马尼亚首都布加勒斯特举行,当时正好有一个科技方面的中国代表团在该市访问。团员中有个数学爱好者,对此颇感兴趣,便在匆忙中将试题抄写下来,由于抄写的字迹潦草,把其中的结论“求f(240)”中的240写成2ω。而《参考消息》的编辑也没有认真核对,就很快见报了。无意中引发了一场不大不小的数学界“风波”。
本书作者之一胡炳生,当时也是研究此题解答的当事人。他求出了函数f(n)的一种递推表达式:

根据上述递推公式,从f(1)=1开始,便可以依次写出函数f(n)的值,然后,在其空格处依次填上函数g(n)的值,就可以得出所有函数值。
鉴于求函数表达式的难度太大,作者(胡炳生)曾经大胆猜测:题目印刷可能有错,题目的要求也许不是求函数f(n)的一般表达式,而是求它的一个值,例如求f(200)。认为2ω可能是200的误写。虽然没猜准具体函数求值,但是对题目要求结论的方向,倒是猜对了。
由于1978年8月19日的《参考消息》对IMO-20试题的印刷错误,带给了中国数学界关于国际数学竞赛的热情,并由此而兴起,历久不衰。这样看起来,这个错误在无意中,也未必不是做了一件有意义的好事情。