易拉罐中有数学
2025年09月26日
九、易拉罐中有数学
问题:现在到处可见的易拉罐(图5-9-1),为何大多设计成圆柱状,其长度和圆柱直径之比多大为好?
分析:易拉罐外形设计的合理性,与预定的优化标准有关。其一,在同样体积的要求下,以使用的包装材料是否节省来判断优劣;其二,以焊缝的长短为标准来判定优劣。现分别对两种情况进行讨论。

图5-9-1
1.节省包装材料。
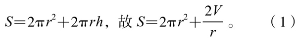
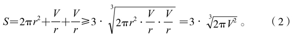
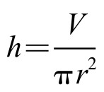
在体积V为定值的条件下,求圆柱体的表面积S最小值。
设圆柱体的高为h,底面半径为r。由V=πr2h,得。
又因为

由均值不等式知:

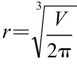
其中等号当且仅当,即
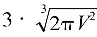
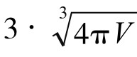
时取得。此时h=2r,表面积S有最小值min{S}=
。
即当圆柱体的高与底面直径相等时,表面积有最小值。
至于(1)式中右边的两项,为什么要在(2)式中分成三项,是因为要使这几项之积为常数,才能运用极值定理。
2.考虑缩短焊缝。
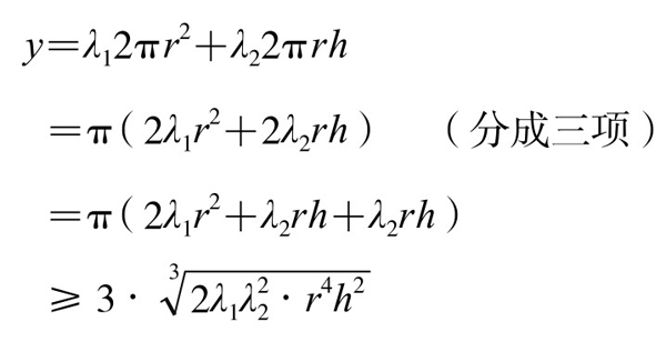
事实上,大多数易拉罐的外形不是等边圆柱体。为什么呢?这可能有两个原因:第一,易拉罐的底面与侧面所用的材料厚度不同,因此价格不同;第二,为使焊缝缩短。
先考虑第一个原因:
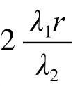
设底面材料单位面积价格,与侧面材料单位面积价格分别为λ1, λ2(λ1≠λ2),则做一个易拉罐的价格为

当且仅当2λ1r2=λ2rh,即h=时,等号成立。此时y取最小值,但是易拉罐的外观,已经不是等边圆柱了。
再考虑第二个原因:
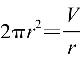
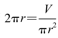
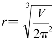
易拉罐焊缝,由上下两个圆和侧面一条直线构成,其长度为

当且仅当,即
时,取等号。此时L取最小值
,而易拉罐的高h=2πr,即它的高等于底面圆周长。这时易拉罐外形就成了长条形的圆柱形了。
可见以不同的标准,就会有不同的最佳设计方案。