4.2.4 矩阵的逆
2026年01月14日
4.2.4 矩阵的逆
如果B∗A=A∗B=E,那么矩阵A的逆矩阵为B,那么,即一个矩阵和它的逆矩阵左乘或者右乘结果都是单位矩阵.易知,只有方阵才具有逆矩阵.MATLAB中可以通过函数inv求矩阵的逆.
矩阵的逆在求解线性方程组时是重要的,对于一般的给定线性方程组A∗X=b,其解就可以通过X=inv(A)b求得.
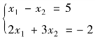
例4.3 求方阵
的逆矩阵,验证A与A-1是否是互逆的;求解线性方程组
.
解:

上述计算中可见A⋅B=B⋅A,即A⋅A-1=A-1⋅A,故A与A-1是互逆的.需要注意的是,对于严重病态的矩阵或奇异矩阵,inv求解时会出警告提示,因为这时候其逆矩阵本来就不存在,或者非常容易受扰动而使求解不精确,例如:(https://www.daowen.com)

如果矩阵A不是一个方阵,或者A是一个非满秩的方阵,矩阵A没有逆矩阵,但可以找到一个与A的转置矩阵同型的矩阵B,使得:
A⋅B⋅A=A
B⋅A⋅B=B
此时称矩阵B为矩阵A的伪逆,也称为广义逆矩阵.在MATLAB中,求一个矩阵伪逆的函数是pinv(A).例如,对上述A:
