7.2.3 分类结果确定及分析
依据最大隶属度原则,预设分类判定阈值λ=0.7,若待分类样本的隶属度函数φ(vi)>λ,则对该样本进行分类识别,且将样本归为φ(vi)值最大的那一类.每次识别完成后,将识别类加入训练样本集,并重新计算聚类中心,从而形成新的分类模式.
利用上面设计的分类器,取每类样本的前30个样本作为训练样本集,得到4个聚类中心:(0.712 305,0.164 326)、(0.606 750,0.220 935)、(0.307 802,0.110 198)、(1.004 579,0.365 064).程序如下:


取每类样本的十个样本作为识别样本,得到每个样本对各类的隶属度,见表7-5(其中1~10为羊、11~20为鼠、21~30为鸡、31~40为鸽).程序如下:


表7-5 每个样本对各类的隶属度

由以上数据可得,分类器对四种样品全血光谱数据的分类正确识别率见表7-6.
表7-6 分类器对四种样品全血光谱数据的分类正确识别率 %

可知,基于MATLAB程序设计的模糊模式分类器及隶属函数,对动物血液发射光谱的识别达到了令人满意的效果.
第7章练习题
1.1790—1990年间美国每隔10年的人口记录见表7-7.
表7-7 1790—1990年间美国每隔10年的人口记录 ×106
(https://www.daowen.com)
用以上数据检验马尔萨斯(Malthus)人口指数增长模型,根据检验结果进一步讨论马尔萨斯人口模型的改进,并利用至少两种模型来预测美国2010年的人口数量.
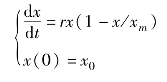
提示1:Malthus模型的基本假设是:人口的增长率为常数,记为r,记时刻t的人口为x(t)(即x(t)为模型的状态变量),且初始时刻的人口为x0,于是得到如下微分方程:
.
提示2:阻滞增长模型(或Logistic模型)由于资源、环境等因素对人口增长的阻滞作用,人口增长到一定数量后,增长率会下降.假设人口的增长率为x的减函数,如设r(x)=r(1-x/xm),其中r为固有增长率(x很小时),xm为人口容量(资源、环境能容纳的最大数量),于是得到如下微分方程:

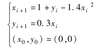
2.对于迭代方程

先编写求解方程的函数文件,然后调用该函数文件求30 000个点上的x、y,最后在所有的(xi,yi)坐标处标记一个点(不要连线)绘出图形,这种图形又称为埃农(Henon)引力线图,它将迭代出来的随机点吸引到一起,最后得出貌似连贯的引力线图.
3.有一周期为4π的正弦波上叠加了方差为0.1的正态分布的随机噪声的信号,用循环结构编制一个三点线性滑动平均的程序.
提示:①用0.1∗randn(1,n)产生方差为0.1的正态分布的随机噪声;②三点线性滑动平均就是依次取每三个相邻数的平均值作为新的数据,如x1(2)=(x(1)+x(2)+x(3))/3,x1(3)=(x(2)+x(3)+x(4))/3,….
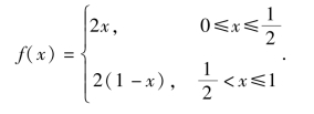
4.编写一段程序,能够把输入的摄氏温度转化成华氏温度,也能把华氏温度转换成摄氏温度,实现如图7-12所示的功能.

图7-12 习题4图
提示:摄氏温度=(华氏温度-32)×5/9.
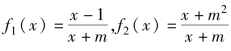
5.利用迭代思想解决问题:
(1)求出分式线性函数
的不动点,再编程判断它们的迭代序列是否收敛.
(2)下面函数的迭代是否会产生混沌?
