区域水盐运动的系统分析
就综合治理旱涝盐碱和提高农田水利用效率而言,区域水盐运动的主要内函指土壤水分和盐分、地下水水位和水质的动态和空间分布状况。这种水盐状况的演变是在气候(cl)、水文地质(hg)、地貌(gm)、土壤(sl)、农作物(植被)(vg)以及土地管理(人为因子)(lm)的综合影响下发展的。某一瞬间的区域水盐状况(RWS)可用下式表达:

式中 t及t-1指时间;
τ指从t-1到t时段。
对此式右项进行如下转换:

令 F(cl,hg,sl,vg,lm…)τ=F()τ
则
对2.1式,以环境因子、区域(空间)分布、系统分解三方面进行如下分析。
(一)环境因子分解
一般情形下,在农区区域水盐运动系统的环境因子可分为气候因子、地学综合体因子、土地管理(包括灌排条件、土地种植等)因子,据此把F()τ分解为:

令

则
其中C、G、L分别代表了区域水盐运动系统与气候因子、地学综合体、土地管理因子之间的函数。(2.7)式中C、L是随时间(t)变化的外部因子,G是在一定区域内相对稳定,不受时间(t)影响的因子。关系运算表明:地学综合体是区域水盐运动系统的基础,气候因子与土地管理因子的联合,通过地学综合体而作用于区域水盐运动系统,从而引起该系统状态的改变。
(二)空间因子分解
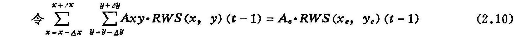
对区域水盐运动系统研究的最终目的,是要得知区域水盐状况的空间分布。可以假设平面由众多的“点”组成,如得知每一点的水盐状况,区域分布即可得出。对区域上某一点(x,y)如不考虑周围点对其影响,据(2.7)式可得:

而实际上,空间上点与点之间是相互关联的,见图2.5。
设空间步长为Δx,Δy,此时RWS(x,y)(t)应为:

(不包括(x,y)点)

图2.5 空间上某点(x,y)与周围点之间的关系

则

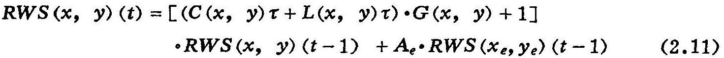
(2.11)式中,RWS(xe,ye)(t-1)代表(x,y)点的周围点水盐状况,Ae为周围点对(x,y)点的水盐状况的影响因子。
(2.11)式表明区域内某一点的水盐状况与此点的C、G、L因子,前期水盐状况与周围点的水盐状况有关。
设所研究的区域D,求出所有(x,y)∈D的RWS(x,y),则区域水盐状况的分布可用集合表达为:

(三)水盐运动系统的分解
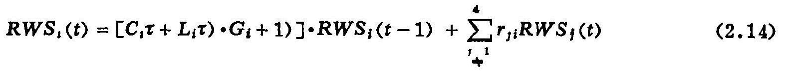
在半干旱、半湿润冲积平原区,如区域水盐动态主要考虑地下水水盐动态与土壤水盐动态,即区域水盐动态可用地下水水盐与土壤水盐这些状态变量进行表示。可用(2.13)式表示:

式中 RWS1:区域地下水水位(埋深);
RWS2:区域地下水水质;
RWS3:区域土壤水分;
RWS4:区域土壤盐分。
它们之间的相互关系见图2.6,如要求出某一个RWSi(i=1,2,3,4),则RWSj(j≠i)也应被考虑。即:


图2.6 RWS(x,y)中地下水盐子系统与土壤水盐子系统的关系
式中 rji:其它子系统对所考虑子系统的影响参数。
(2.14)式说明,某一子系统水盐状况与C、G、L及前期的水盐状况及其它子系统的水盐状况有关。
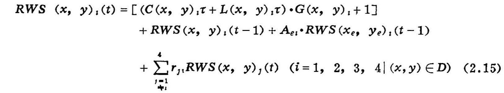
如考虑空间上一点某一子系统的水盐状况,则:

(2.15)式即为区域水盐运动系统变化概念性的基本状况方程。它表明,在区域上的某一点的某一子系统的水盐状况,是由下述三方面综合作用的结果:
(1)环境效应:气候、地学综合体、土地管理因子(人为因子);
(2)空间分布效应:周围点对此点的影响;
(3)系统内部效应:区域水盐运动系统中其它子系统对所考虑子系统的影响。
对(2.15)式具体分析,进行简化,就可建立起水盐运动系统预报的概念模型。