区域分布式土壤盐分均衡模型
2025年09月26日
二、区域分布式土壤盐分均衡模型
区域土壤盐分均衡模型的建模原理,同区域土壤水分建模原理相同。(见5.3节)对单位面积的1米土体来说,盐分贮量的增加与减少,主要由灌溉所带来的盐分、1米深度处向上补给的盐分以及向下淋洗的盐分所决定。
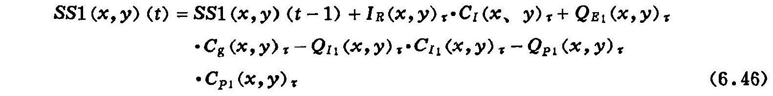
据所建立的区域土壤盐分概念模型(式2.27),对空间(x,y)处土壤盐分的变化,仅考虑由对流作用引起的,那么仿照5.3节对区域土壤水分分布式均衡建模的方法,可得出:

式中 IR、QE1、QI1、QP1:同式(5.12);
SS1:1米土体盐贮量(kgm-2);
Cr:灌溉水的浓度(gl-1);
Cg:地下水浓度(gl-1);
CI1:灌溉时在1米处的土壤溶液浓度(gl-1);
CP1:降雨时在1米处的土壤溶液浓度1(gl-1)
由于雨水中含盐量很低,式(6.46)中没有考虑降雨补给土壤的盐分。式中:
①CI(x,y)τ的确定,据测报区灌溉水质,取CI(x,y)τ为常数:
CI(x,y)τ=1.0(gl-1)
②CI1、Cp1的处理简化如下:
假定CI1=CP1=C1,并且C1与SS1有关。据1987年曲周测报区监测数据,得到SS1与C1的关系如6.47式所示:(它们之间的关系见图6.22)

式中 SS1:1米土体盐贮量,用kgm-2表示,转换时取土壤容重为1.4。
从(6.47)、(6.48)式可得:

由于SS1变化很小,预报时取:

图6.22 1米深度处土壤溶液浓度C1与1米土体盐分含量SS1(%)的关系

(计算时,时间间隔τ=5天)
③关于IR、QE1、QI1、QP1的确定方法,参照4.2节、5.3节中的有关内容。
那么,在确定出空间上每一点SS1(x,y)(t)后,区域土壤盐分在时刻t的状态即为:
