农田土壤水动态动力学模型的预报
(一)土壤水分运动动力学基本方程
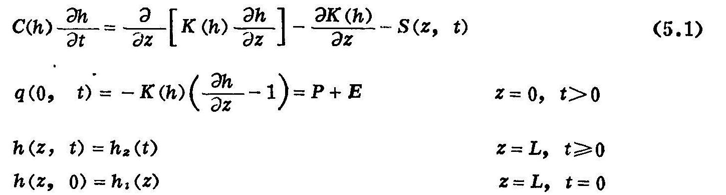
根据达西(Darcy)定律(1856)及连续方程(Richards,1931)原理,建立一维土壤水分运动的基本方程。在假定土壤、植物、大气等条件在平面上完全均一,并忽略温度、溶质差异的影响时,以土表为坐标原点、以土表向上为正的一维土壤水运动定解,问题可表达为:

式中 h:土壤水基质势,cm·H2O;K(h):土壤水非饱和导水率,cmd-1;C(h):比水容量,cm-1;t:时间;z:土表以下的土层深度,cm;S(z,t):根系吸水函数,cmd-1;h:初始土壤水基质势,cm·H2O;hz:下边界条件的土壤水基质势,cm·H2O;q(0,t):上边界的水分通量。
(二)土壤水运动动力学模型参数的确定
C(h):C(h)=dθ/dh,可以通过θ—h的关系曲线一水分特征曲线求出,试验土壤的水分物理性质见表5.3。
K(h):根据Jackson的1972年修改式计算。

式中 Ks:饱和导水率;
θ:与h相应的含水量;
i和j:下标;
m:θ的增量数。
P的取值在0.74-1.24之间,研究中取P=1。θ-h的关系曲线用3次样条插值法求出。S(z,t):应用Feddes等1978年的经验式计算。在水分充分供应条件下,作物的潜在蒸腾量TP是根系吸水率在全剖面中的积分,即:

表5.3 试验土壤的水分物理性质

在水分非充分供应条件下,作物的实际蒸腾量是各层根系吸水率的代数和。各层的根系吸水率又与各层的土壤含水量(或土壤基质势)有关,即:

式中 TP:作物潜在蒸腾量,mmd-1;
TPa:作物的实际蒸腾量,mmd-1;
Smax,i:根系最大吸水率,cm3cm-3d-1;
hi:在深度i层的根系密度,cm(根)cm-3(土);
m:土壤根层剖面分割的总次数;
Δzj:各个层次的厚度,cm。
a值与土壤水的基质势有关。(见图5·1)hi通过水分运动动力学模型的数值计算获得,试区冬小麦根系密度随深度与时间的变化而变化。(见表5.4)

图5.1 土壤水基质势h与a值的关系
表5.4 冬小麦根系密度的空间分布(1987) cm(根)cm-3(土)

q(0,t)为上边界的水分通量,是降雨量P与棵间蒸发量E的代数和,P用雨量筒测量或根据气象台站的预报;E采用E=E0(0.5148-0.0008h10)经验式求出;E0为用彭曼修正式计算的潜在蒸发量(mm);h10为10厘米深处土壤水的基质势(cm·H2O)
TP:作物的潜在蒸腾量,选用Rijtema(1965)的经验公式计算(从略)。在计算过程中,作物截留水量E1(mmd-1)应用下述经验公式(Rijtema,1965;Feddes等,1978)求得:

式中 P:降雨强度(mmd-1);
BDG:叶面积系数或地面覆盖度。
在曲周测报区内不同灌水方案条件下,小麦不同生育期的叶面积系数如表5.5。
表5.5 不同灌溉方案的小麦叶面积系数(BDG)

用六点差分格式将式(5.1)离散化,输入初始条件及有关参数,在模拟计算时,空间步长取10厘米,时间步长取0.1—0.5天(随上边界通量大小而变),田间实测的基质势与模拟结果对比见图5.2。

图5.2 土壤水基质势测定值与模拟计算值的比较
(三)麦田土壤水分动态的预报
根据土壤水动力学模型及有关参数,预报了麦田在不同灌溉条件下,灌水前后土壤水基质势在剖面上的变化,及50、100、200厘米处水分通量的动态过程,并以此分析了不同灌水量的有效供水天数,剖面各土层的水分收支状况,深层水对蒸散的补给作用以及灌水量和蒸散量的关系等。此外,还根据节水灌溉原则预报不同年型小麦的最佳灌溉计划。
1.麦田不同灌水量条件下土壤水基质势的预报 图5.3是根据1986年10月1日播种小麦时的初始土壤水基质势预报的。土壤剖面基质势随时间而变化,经检验表明与实测值基本一致。

图5.3 几个时段不同灌水量条件下基质势剖面的变化
从图中可以看出,早春土壤剖面含水量高,灌水100毫米及70毫米,均可使表层0—100厘米土层的基质势达到-100厘米水柱以上。如果以灌水后两天土壤基质势达到-250厘米水柱的深度,作为灌水入渗达到相当于田间持水量的有效补给的深度,以40—50厘米土层持续保持大于-250厘米水柱的天数,作为次灌水量的有效供水天数,则早春土壤含水量相当田间持水量的80%时供水,次灌水量的有效供水天数见表5.6。
表5.6 不同灌水量的有效入渗深度及有效供水天数 (1987.3.27)

几个时段不同灌水量条件下的基质势剖面表明,如以基质势-250厘米水柱作为土壤田间持水最大的临界指标,4月22日灌水50毫米后,40厘米土层的基质势在6天后就降至-250厘米水柱以下。5月17日灌水60毫米,因此时土壤蒸发和植物蒸腾加剧,40厘米土层的基质势在2天后就降至-250厘米水柱。
2.麦田不同灌水量条件下土壤水通量的预报 应用土壤水动力学模型,模拟计算了小麦在不同生育期、不同灌水量条件下通过50、100、200厘米土层处水分通量。根据模拟计算在两次灌水间,入渗和再分布过程的水分向下运动4天后即不明显,当入渗过程基本结束时,以通过上述各层的向下水量,计算土壤剖面各层的水分收入量。以水分向下运动基本结束至下次供水期间,通过上述各层的向上水量,计算土壤剖面各层的水分支出量。现将各时段各种灌水条件下的水分通量值及剖面的水分收入、支出量列于表5.7。
不同灌水条件下,土壤水向下通量的累计量和时间的关系见图5.4。小麦返青——拔节阶段,土壤的含水量较高,约占田间持水量的85%以上,此时灌水量愈大,通过一定土层的水量愈多,强度愈大,延续的时间也愈长。如灌水100毫米,通过200厘米土层的水量占灌水量的50%左右,有25%的灌水入渗补给地下水,而灌水量40毫米,只有35%的灌水通过200厘米土层,进入地下水的水量较少,且与潜水蒸发量相均衡。从图5.4还可看出灌水量愈大,通量随时间变化的曲线斜率愈陡,即入渗强度愈大。图5.5是同一地段在不同时段、不同灌水条件下土壤水向下通量的过程线。在不同时段,小麦根系发育不同,土壤干燥的程度不同,在不同的灌水条件下(50—70毫米),愈进入小麦生育的后期土壤水的通量愈小,入渗的深度愈浅。比较孕穗——挑旗和灌浆期,前者灌水50毫米,后者灌水60毫米,前者通过100厘米土层的通量有20.17毫米,而后者仅6.01毫米。因此,水分通量不仅和灌水量有关,而且和土壤含水量、作物的根系发育有关。

图5.4 同一时期,不同灌水量条件下累计向下水流量的变化(Q50下,Q100下,Q200下)
表5.7 小麦不同生育期供水在土壤中的运动和分配

本表通量值由龚元石计算,QPI为降雨入渗补给量,QE为潜水蒸发量,d为地下水深。收入量(0—50cm)=灌水量-Q50下,收入量(50-100cm)=Q50下-Q100下,以此类推。支出量(0-50cm)=Q50下,支出量(50-100cm)=Q50上-Q100下,以此类推。

图5.5 同一地段,不同生育时段、不同灌水量条件下累计向下水流量的变化(Q50下,Q100下,Q200下)
两次灌水期间向上通量累计随时间的变化过程线,表明了蒸散过程中深层水对根层的补给作用。从图5.6看出,当早春3月,大气蒸发力低,根系吸水量小,土壤含水量又高的条件下灌水,如E3区灌水70毫米,E2区灌水100毫米,各区通过50、100、200厘米土层的向上通量受较小水势梯度的控制,其速率和数量均较小。其后随气温和大气蒸发力的加强,基质势梯度的加大,水分向上运动的速率有所增加。随着大气蒸发力增大,根系吸水力加强,土壤含水量降低,于4月22日对不同小区灌水80、50、30毫米,从表5.7看出其通过50、100、200厘米土层的向下水量不同。但因剖面的水势梯度加大,深层的水分含量又较高,在深层土壤基质势大于-200厘米水柱条件下,向上的累计水量却基本接近,Q50上均约55毫米,Q100上均约40毫米。表明深层土壤水有向根系供水的能力,其供水强度可从累计向上水量与时间过程线的斜率看出。5月下旬以后,土壤强烈失水,根系的活力相应下降,通过100厘米土壤的向上水量既很少,其速率也下降。从通量与时间的过程线看出,其斜率较前期下降。
3.麦田不同年型最佳灌溉计划的预报 根据不同年型降雨量的预报,以及冬小麦不同生育期土壤水分亏缺指标(见表5.8)和土壤盐分危害的临界指标(见表5.9),依据下列原则确定最佳的灌水时间和数量。
(1)根据冬小麦的生物学调查,确定试区内冬小麦生长发育关键期的具体日期,并以关键需水期的前3—5天作为宜灌期,非关键期水分亏缺,不进行灌水。

图5.6 不同时段,蒸散过程中土壤水累计向上流量的变化(Q50上,Q100上,Q200上)
(2)以小麦播种的土壤水(盐)状况作为初始值,用水动力学模型模拟计算各时段(天)的土壤水(盐)状况,当土壤水(盐)达到表5.8、5.9的指标时,开始模拟灌水。
(3)当1米土体的土壤水基质势均达到-250cm·H2O和50厘米以上,土层的盐分小于危害的临界指标时停止灌水,并累计灌水用量。
模拟计算的程序按模型运行框图5.7进行,模拟计算可以输出每天各土层的土壤水基质势、土壤溶液浓度、通过各土层的水分通量及溶质通量,以及最佳灌水时间和最省灌水量等。现将曲周23年(1966—1988)不同年型的最佳灌溉计划列于表5.10。
表5.8 土壤水分亏缺的基质势指标h(cm·H2O)

注:越冬前h为20厘米深度处,其它各生育期h为40厘米深度处。
表5.9 土壤盐分危害指标C(mScm-1)

注:越冬前C为15厘米深度处,其它各生育期C为30厘米深度处。
表5.10 不同年型下小麦最佳灌溉方案的模拟计算(mm) (1966—1988)

23年模拟结果的统计分析表明,麦季内多年平均降雨量为136毫米,平均灌溉量为265毫米,平均灌溉次数为4次,冬小麦生长季内灌溉定额最大值为400毫米,最小值为170毫米。灌溉量的大小与麦季内降雨总量有关。
进一步的分析指出,由于冬小麦生长季内降雨分配不匀,即使生长期内降雨总量相近,但灌溉计划将是不同的。例如1978年麦季内降雨总量为91.3毫米,1980年为97.1毫米,1987年为97.1毫米,而这3年灌溉定额分别为330毫米、250毫米、210毫米。灌水次数分别为5次、4次、4次。

图5.7 节水灌溉模型运行框图