区域水盐运动的概念性预报模型
预报模型包括:①分别建立预报区域地下水水位、水质、区域土壤水盐的模型;②对各个子模型进行综合,生成区域水盐运动系统预报模型。
建立各个子模型所要考虑的主要因子与各个子模型之间的关系作如下分析:
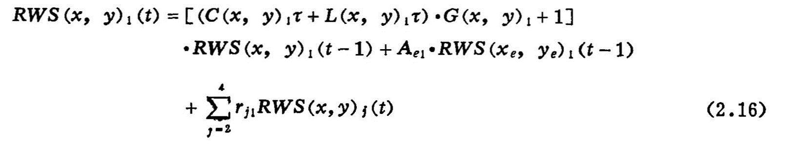
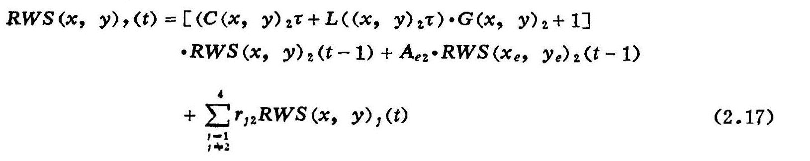
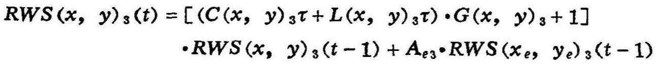
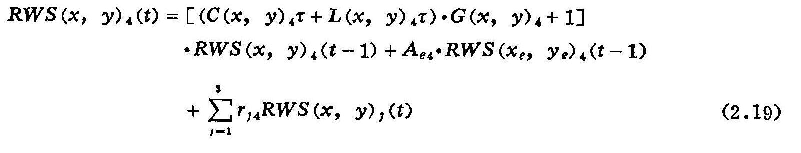
据(2.15)式,预报区域地下水水位、水质、土壤水、土壤盐分状况的基本方程可表达为:
(1)区域地下水水位(埋深)状况:

(2)区域地下水水质状况:

(3)区域土壤水状况:


(4)区域土壤盐状况:

从(2.16)—(2.19)式可知,要预知t时刻的RWS(x,y):除了环境因子与前期状况RWS(x,y)(t-1)外,还要知道同期其它子系统的相互关系。为使各子系统在求解时相对独立,作如下分析与简化:
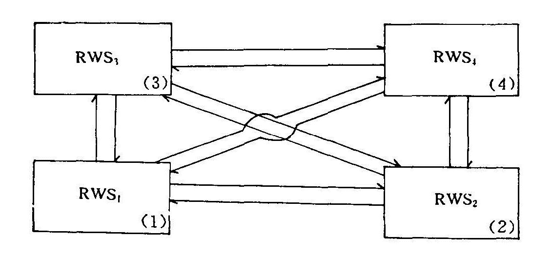
图2.7为RWS1之间的相互关系图。设RWS1、RWS2、RWS3、RWS4分别为地下水水位、地下水水质、土壤水分、土壤盐分,各子系统的代号为1、2、3、4。

图2.7 RWS1各子系统之间的关系
rij代表各子系统之间的关系,则这4个子系统之间的关系矩阵为:

其中r12代表地下水水位对地下水水质的影响,其余类推。
对(2.20)矩阵,据区域水盐运动规律,某些子系统对其它子系统的影响(如地下水水质对地下水水位、土壤水分的影响;土壤盐分对土壤水分与地下水水位的影响)可忽略不计,故此矩阵(2.20)可简化为:

(2.21)关系矩阵表明,在区域水盐运动系统中,地下水与土壤水的运动起着重要作用。这就是一般所谓“盐随水去(来)”的反映。进一步分析)土壤水对地下水水质的影响r32是通过土壤盐来联系的。即r32的影响过程为r34→r42。因此,r34的影响过程为r31—r14,而土体内盐分的增减只有通过与地下水的交换。略去中间过程,可把r32,r34视为零,这样矩阵(2.21)变成(2.22)矩阵:

(2.22)关系矩阵表明,在区域水盐运动系统中,地下水位对地下水水质(r12)、土壤水(r13)、土壤盐(r14)起着重要的作用。这与石元春(1985)所阐明的“潜水位可能是人为调节区域和土壤水盐运动中大可借助的一个重要‘杠杆’”相符合。这就促使在建立区域水盐动态系统预报模型时,应把地下水水位预报放在首位。然后再对地下水水质、土壤水、土壤盐作出预报。基于对(2.22)关系矩阵的分析,确定的系统预报模型中预报顺序如图2.8。

图2.8 区域水盐动态预报中,对各子系统预报的顺序示意
括号内数字为顺序号;→表示预报结果的流向。
据式(2.16)——(2.19)以及关系矩阵(2.22),建立起来的区域水盐动态系统预报的最终概念模型如下:
第一步,预报区域地下水水位(埋深)状况:

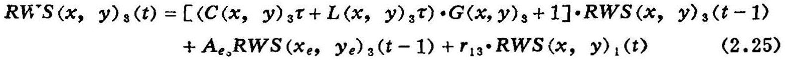
第二步,预报区域地下水水质状况:

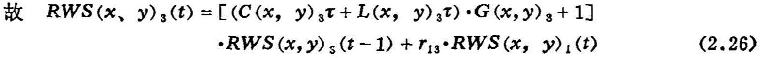
第三步,预报区域土壤水分状况:

在考虑区域问题时,由于土壤中水流的横向交换很小可忽略,即Ae3≈0

第四步,预报区域土壤盐分状况:
同样理由:取Ae4≈0,则:

(2.24)式至(2.27)式是利用系统分析方法所得出的概念模型。它为进一步建立定量化系统预报模型打下了理论基础,指出了建立定量化所需要兼顾的各方面内容。采取不同的方法途径就可建立起相应于(2.24)式至(2.27)式可求解的数学模型。
测报体系最终输出是要得到区域旱涝分布图和区域盐渍化程度图,根据得到的RWS(x,y):(t)与研究区内作物受害指标(即旱、涝、盐渍指标),就可得到所要求的结果。